Книга Мозг и его потребности. От питания до признания, страница 82 – Вячеслав Дубынин

Авторы: А Б В Г Д Е Ж З И Й К Л М Н О П Р С Т У Ф Х Ч Ш Ы Э Ю Я
Книги: А Б В Г Д Е Ж З И Й К Л М Н О П Р С Т У Ф Х Ц Ч Ш Щ Ы Э Ю Я
Бесплатная онлайн библиотека LoveRead.in

Онлайн книга «Мозг и его потребности. От питания до признания»

📃 Cтраница 82
Иллюстрация к книге — Мозг и его потребности. От питания до признания [i_026.jpg]

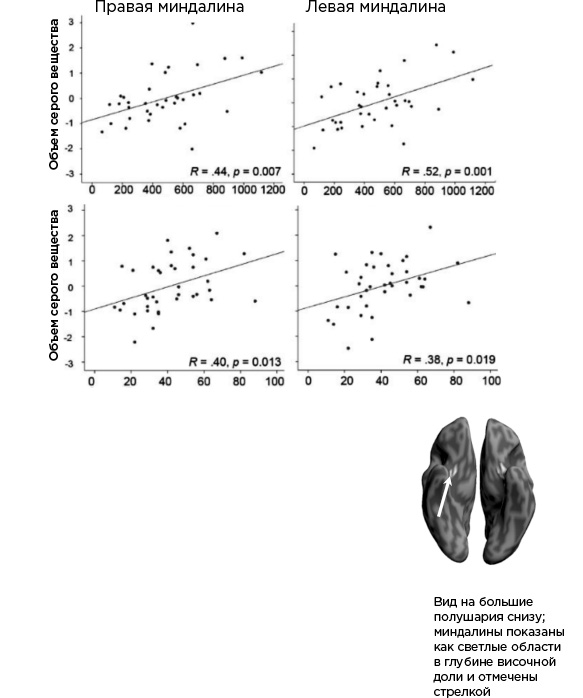
Рис. 9.2. Связь между размерами миндалины и социальной активностью человека (по R. von der Heide с соавт., 2014). Для правой и левой миндалины показаны значимые корреляции между объемом серого вещества (grey matter volume) и количеством друзей в «Фейсбуке» (верхние графики), а также числом Данбара[ [44] ] (количество постоянных социальных связей, которые поддерживает человек; нижние графики). Каждая точка на графиках – конкретный испытуемый


Миндалина очень мощно активируется, когда мы видим или слышим (или обоняем) различные проявления эмоций. С ней связаны зеркальные нейроны, которые переносят на нас эмоции, испытываемые другим человеком. Например, зеркальные нейроны работают, если врач представляет себя на месте пациента. Здесь же, в миндалине, находятся клетки, которые активируются, если подражание доставляет нам удовольствие. Подражать вожаку стаи очень значимо, это важный источник положительных эмоций. Если подчиненной особи удалось сделать то же самое, что и вожаку, то, соответственно, у этой особи в мозге выделился дофамин и вызвал позитивные переживания.

Установление социальной справедливости в сообществах

Миндалина очень значима для выстраивания глобальной иерархии, она отслеживает не только отношения «вожак – подчиненный», но и взаимодействие между равными особями. В больших стаях часто встречаются ситуации, когда десять павианов или мартышек примерно одинаковы по своему статусу. Миндалина следит, чтобы мартышка вашего статуса не получила слишком много. Можно называть это завистью, а можно – социальной справедливостью в отношениях с равными по рангу.

В книге приматолога Франса де Вааля описан очень показательный эксперимент с двумя равными по рангу в стае обезьянками-капуцинами (видеозапись данного опыта вы без труда найдете в интернете). Оба капуцина обучены выполнять одно и то же задание, причем животные находятся в соседних клетках и прекрасно видят, что делает сосед. Исследователь кладет жетон-камешек с наружной стороны клетки рядом с решеткой. Капуцин должен взять этот камешек и отдать ученому, за что получает немного еды (то есть идет «обмен» жетона на пищу). Если обезьянке, сидящей в правой клетке, в награду давать виноградину, а той, которая находится в левой клетке, – кусочек огурца, то у второго капуцина очень быстро начнется истерика. В первый раз он, конечно, возьмет огурец, даже откусит его. И с недоумением посмотрит на соседа, который ест виноград. Если во второй раз дать обезьянке в левой клетке огурец, то овощ будет выкинут наружу. А на третий раз капуцин устроит бунт, будет трясти клетку и возмущенно кричать. Так он протестует против нарушения справедливости.

Мозг отслеживает подобные ситуации, и, судя по всему, они направленно детектируются нейронами миндалины.

Многие философы и психологи были абсолютно уверены, что представление о равенстве и братстве свойственно только человеку и возникло не раньше времен Великой французской революции. Но даже такие небольшие обезьянки, как капуцины, демонстрируют понимание справедливости.

Что уж говорить о шимпанзе – они порой даже готовы отказаться от винограда (да-да, именно так; справедливость плюс эмпатия), если сосед получает всего лишь огурец!

Однако, если в распределение труда и награды вмешивается иерархия, тут все меняется, и ни о какой справедливости речи не идет. В одном из экспериментов четыре вороны некоторое время находились в общей вольере, и у них выстроился порядок клевания. Далее ворон обучили для получения пищи нажимать рычаг – давали небольшие порции еды только после совершения правильного действия. Что произошло спустя некоторое время? Обнаружилось, что в этом небольшом сообществе больше всех нажатий совершает самая низкоранговая особь, а меньше всех – доминант: 80 % против 2 %. При этом, конечно, низкоранговая птица не получает львиную долю еды, а лишь 30–35 % корма. «Заработанной» ею пищей пользуются другие вороны, присваивая по 20–25 %, хотя доминант нажатий почти не совершает. Вот такая «эксплуатация» низкоранговых (как правило, молодых) особей.

Аналогичного рода эффекты, демонстрирующие, как на представление о справедливости накладывается социальная иерархия, выявляются также в опытах на крысах и, конечно, на обезьянах. Разделение труда в сообществах – очень важный фактор, это позволяет стае функционировать более эффективно. Разделение труда можно видеть и у грызунов – голых землекопов, бобров (кто-то валит деревья, кто-то строит плотину).

В стаях с временными вожаками, без четкой иерархии и явного разделения функций, например в мигрирующих оленьих стадах или стаях диких гусей, которые летят в Лапландию, огромное значение имеет подражание наиболее опытному члену сообщества. В этом случае работают зеркальные нейроны, и с их помощью на вожака (часто это пожилая самка) ориентируются все остальные особи.

В иерархически организованной стае все гораздо сложнее. Происходит выстраивание нескольких степеней подчинения, и чем больше и сложнее стаи, тем четче разделение труда и тем более ритуализированы отношения между подчиненными и вышестоящими. К примеру, стая павианов в боевом порядке идет по саванне. На них может напасть леопард или лев, и нужно быть готовыми ко всему. Поэтому мощные молодые самцы идут по краям, самки с детенышами – в центре. Впереди стаи – разведчики, это, как правило, пожилые опытные самцы. Такой «поход» очень хорошо организован и сконфигурирован.

В обезьяньих стаях вожаками, как правило, являются самцы. У самок существует параллельная иерархия, которая связана с тем, насколько близка овуляция, беременна ли эта самка, кормит ли она детеныша грудью. В случае беременности или наличия детеныша статус самки повышается. Статус самок, с которыми спаривается вожак, самый высокий.

Примером сложных обезьяньих стай являются сообщества гелад. Это павианоподобные крупные мартышки, которые живут в Эфиопии на высокогорных плоских территориях и питаются злаками. В стае примерно 50 членов, они бредут по равнине, разыскивая и собирая пищу. У гелад очень четкое разделение труда. Члены сообщества разделяются на часовых, разведчиков и собирателей. Различные стаи движутся по равнине недалеко друг от друга. Иногда несколько сотен гелад могут идти в одном направлении. Конечно, у них устанавливаются очень интересные отношения и внутри стаи, и между стаями. Именно на геладах показано, как, например, пожилой, но опытный и заслуживший уважение самец долго сохраняет власть, несмотря на притязания молодых и нахальных.

Влияние серотонина и МАО на статус особи в стае

Мы уже знаем, что для агрессии и социального взаимодействия очень значима миндалина и разнообразные ее повреждения приводят к тому, что активно-оборонительное поведение и стремление к лидерству ослабевают. То же самое делают вещества, которые усиливают активность системы серотонина. Один из классиков нейрофизиологии, испанец Хосе Дельгадо[ [45] ], установил, что выключение центров агрессии приводит к быстрой потере статуса, и такие же эффекты вызывает введение агонистов серотонина.

Вход
Поиск по сайту
Ищем:
Календарь