Онлайн книга «Как инвестировать, если в кармане меньше миллиона»
|
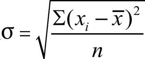
Также вам стоит знать, что такое среднеквадратическое отклонение — это мера того, насколько широко разбросаны точки данных относительно их среднего значения. Показывает абсолютное отклонение измеренных значений от среднего арифметического. Среднее квадратическое отклонение: ![]() Если нужно посчитать в Excel, наберите функцию СТАНДОТКЛОН(число 1, число 2…). А теперь еще немного вспомним математику и теорию вероятности. Нас интересует еще одно понятие — это закон нормального распределения или, по-другому, 3δ. Он показывает вероятность отклонения от среднего значения и выражается в процентной вероятности события. Как правило, все наиболее вероятные события (99,73 %) укладываются в 3δ. Наглядно это выглядит так: ![]() Как вы теперь понимаете, между средним квадратическим отклонением (СКО) и риском существует прямая взаимозависимость: чем больше СКО, тем больше риск в этом активе. Давайте посмотрим на отклонения основных классов активов. Приведу пример из книги У. Бернстайна «Разумное распределение активов»: • денежный рынок: 2–3 %; • краткосрочные облигации: 3–5 %; • долгосрочные облигации: 6–8 %; • акции компаний США: 10–25 %; • акции иностранных компаний: 15–25 %; • акции развивающихся рынков: 25–35 %. Нужно учитывать соотношение риска и доходности. Это отношение среднегодовой доходности к среднеквадратическому отклонению: чем больше этот коэффициент, тем для нас, как инвесторов, лучше. Вот так выглядит распределение основных активов на графике: ![]() Состав сбалансированного портфеля: ![]() Это портфель от Morningstar, мы к нему еще вернемся и разберем более подробно. Пока просто посмотрите на значения риска и доходности. Тут простые усредненные данные для вашего понимания основ. Значения «Доходность/Риск для активов»: • акции малых компаний США: 0,298; • акции крупных компаний США: 0,466; • акции компаний вне США: 0,362; • сбалансированный портфель: 0,698; • долгосрочные государственные облигации: 0,598; • 5-летние гарантийные инструменты: 1,613; • 30-дневные казначейские векселя: 1,219. Я поясню, что показывают эти данные. Для начала нужно понимать, что если значения коэффициента Доходность/Риск выше 1, то при инвестировании в этот инструмент вероятность получить прибыль практически гарантирована с точки зрения рыночных рисков и исторических данных. Далее, обратите внимание на значения у сбалансированного портфеля и у долгосрочных государственных облигаций США. Получается, что инвестиции в портфель лучше простого инвестирования в облигации. А если сравнивать значения портфеля с акциями разных типов, то разница в риске очевидна, а доходность акции не намного выше. Поэтому составлять портфели выгодно в первую очередь с позиции риска. Для достижения результатов следует идти на разумный риск и не складывать все яйца в одну корзину. Если в истории еще не происходило кардинальных событий с этими активами, то это еще не значит, что они не могут случиться в будущем, так что даже самые надежные активы могут давать сбои. Инвесторы должны быть готовы к риску и падениям на рынке, это традиционные явления, которые случаются регулярно. Наоборот, вы должны радоваться новому падению, так как у вас появилась возможность покупать акции дешевле, что и следует делать. Вот несколько цитат великих инвесторов на эту тему: «Падение фондового рынка — столь же обычное явление, как январская метель в Колорадо. Если вы готовы к нему, оно не может причинить вам вреда. Падение — прекрасная возможность дешево купить акции, которые сбрасывают пугливые инвесторы, опасаясь бури». Питер Линч
«Вам не следует выходить на рынок акций до тех пор, пока вы не сможете наблюдать за падением своих акций на 50 % без паники». Уоррен Баффет
Есть большая разница в том, на какой временной период вы инвестируете. Портфельные инвесторы не гадают и не выбирают оптимальную точку для создания портфеля. Самое лучшее время — это прямо сейчас. Не скажу, что мне очень нравится такой подход, но для простых людей, которые ничего не хотят знать о рынке, это вполне разумное решение. Если на рынке наблюдается большой обвал — это время точно является самым лучшим для создания такого портфеля. Помните про потерянное десятилетие — так говорили о рынке США после кризиса 2008 года. А ранее, в 2000 году, случился крах доткомов. Так вот, если бы вы купили акции в 2009 году после пика кризиса, то вы бы в короткий срок получили это десятилетие в подарок. Поэтому вам стоит любить падения рынка и докупаться, когда они происходят. Посмотрим среднегодовое отклонение основных активов при сроке инвестирования в 20 лет на интервале 1926–2009 годов. Видим весьма любопытную картину: минимальная доходность компаний с небольшой капитализацией выше максимальной доходности казначейских билетов. Да и в целом акции всегда имеют положительную доходность на длинном интервале. ![]() В долгосрочной перспективе акции всегда приносят прибыли намного больше, чем все другие активы, но для получения такой прибыли акциями нужно владеть долго. В 2008 году Уоррен Баффет заключил спор с хедж-фондом Protégé Partners LCC. Глава Berkshire Hathaway Уоррен Баффет поставил 1 млн долларов на то, что американский биржевой индекс S&P 500 в предстоящее десятилетие выступит лучше индекса хедж-фондов, если в показатели последних будут включены комиссионные сборы с инвесторов. Правда, стоит отметить, что время он выбрал очень удачное, потому что рынок будет расти после сильного падения и того самого потерянного десятилетия. Но это не отменяет того факта, что хедж-фонды с активным управлением постоянно проигрывают рынку на длительном интервале. |
![Иллюстрация к книге — Как инвестировать, если в кармане меньше миллиона [i_115.jpg] Иллюстрация к книге — Как инвестировать, если в кармане меньше миллиона [i_115.jpg]](img/book_covers/090/90848/i_115.jpg)
![Иллюстрация к книге — Как инвестировать, если в кармане меньше миллиона [i_116.jpg] Иллюстрация к книге — Как инвестировать, если в кармане меньше миллиона [i_116.jpg]](img/book_covers/090/90848/i_116.jpg)
![Иллюстрация к книге — Как инвестировать, если в кармане меньше миллиона [i_117.jpg] Иллюстрация к книге — Как инвестировать, если в кармане меньше миллиона [i_117.jpg]](img/book_covers/090/90848/i_117.jpg)
![Иллюстрация к книге — Как инвестировать, если в кармане меньше миллиона [i_118.jpg] Иллюстрация к книге — Как инвестировать, если в кармане меньше миллиона [i_118.jpg]](img/book_covers/090/90848/i_118.jpg)
![Иллюстрация к книге — Как инвестировать, если в кармане меньше миллиона [i_119.jpg] Иллюстрация к книге — Как инвестировать, если в кармане меньше миллиона [i_119.jpg]](img/book_covers/090/90848/i_119.jpg)