Онлайн книга «История древней Японии»
|
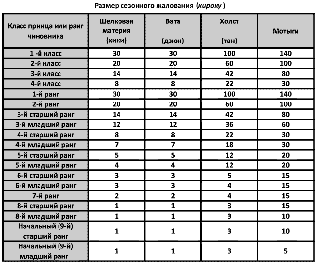
В первом случае это были «статуциональные» границы, которые отделяли «высших сановников» — кугё: (1-3-й ранги) от остального придворного чиновничества (4-5-й ранги), а также придворное чиновничество вообще (1-5-й ранги) от остального чиновничества (такое же разграничение существовало и в Китае). Во втором же случае это была «функциональная» граница, отделявшая реальных чиновников от «кандидатов» на включение в корпус чиновничества. В Китае подобного разделения не существовало, и, по всей видимости, оно непосредственно связано с традиционными для Японии институтами ранжирования (в частности, с установленной в 684–685 гг. «системой восьми кабанэ»), которые повлияли на окончательную форму и структуру чиновничьих рангов в Японии. Каждому рангу соответствовала определенная должность в государственном аппарате. Такое соответствие было установлено уже кодексом «Тайхо:рё:», в котором было перечислено 437 должностей для ранговых лиц. С дальнейшим развитием государственных институтов появилась необходимость учреждения новых должностей, не нашедших отражения в материалах кодекса «Тайхо:рё». В результате к концу VIII в. в государственном аппарате существовало около тысячи официальных должностей для ранговых лиц, не учтенных кодексом «Тайхо:рё:» («рё:-но гайкан»). В отличие от персонального ранга должность определяла место чиновника в чиновно-должностной иерархии и указывала, что занимающий ее чиновник выполняет конкретные функции в государственном аппарате. Другими словами, если ранг только показывал принадлежность к корпусу чиновничества, то должность подтверждала его «социальную востребованность», а следовательно, именно должность (а не ранг) была основным показателем функционирования конкретного чиновника в государственном аппарате. Интересно, что в Японии даже при таком количестве должностей существовала сравнительно большая группа чиновников, которые имели ранг (порой даже очень высокий), но не занимали никакой должности в государственном аппарате. Такое положение заставляет предположить, что в Японии между пожалованием ранга и назначением на должность существовало определенное несоответствие. Пожалования рангами осуществлялись регулярно, и очень часто не учитывалось, существуют ли на этот момент вакантные должности или нет, что в результате приводило к неоправданному разрастанию ранжированного чиновничества и увеличению количества чиновников, не обеспеченных должностью (санкан). Кроме персональных рангов и должностей, кодекс «Тайхо:рё:» упоминает и «почетные» или «наградные ранги» (кунъи). Как и в танском Китае, в Японии существовало 12 разрядов «почетных рангов», при этом каждый разряд соответствовал определенному «основному» рангу. Например, первый разряд «почетного ранга» приравнивался к 3-му старшему рангу, а двенадцатый — 8-му младшему рангу нижней ступени. Первоначально «почетные ранги» жаловались преимущественно за военные заслуги, как то было и в танском Китае. Повышение «почетного ранга» производилось в соответствии с определенными кодексом правилами: в зависимости от высоты разряда кунъи для получения более высокого «почетного ранга» требовалось от одной до трех боевых заслуг. Однако начиная с правления Сё:му кунъи стали представлять собой нечто вроде «специальных рангов», которыми награждали как гражданских, так и военных чиновников. На основании каких критериев жаловались «почетные ранги» с периода правления Сё:му, остается неясным. Согласно законодательным сводам, для принцев существовала отдельная система градации. Было предусмотрено четыре класса (хон), принадлежность к которым непосредственно зависела от степени родства с императорским родом. Классы, предусмотренные для принцев, напоминали чиновничьи ранги, ибо именно в соответствии с классом должно было производиться назначение на те или иные должности в государственном аппарате. Таким образом, корпус чиновничества обладал сложной и крайне иерархичной структурой. Чиновничество было стратифицировано гораздо четче, чем любое другое сословие. Социальный разрыв между высшим и низшим чиновничеством был не меньше, а, скорее всего, больше, нежели разрыв между представителями высшей и низшей прослойки любого другого сословия. Выполняя свои профессиональные функции, чиновники и принцы получали экономические льготы и правовые преимущества соответственно рангам и классам. Экономические льготы, дифференцированные по рангам, заключались в правах на получение определенного количества земли («ранговые поля» — идэн), дворов в кормление (дзикифу), рангового жалования (ироку), сезонного жалования (кироку, выдавалось дважды в год — во 2-ю и 8-ю луну) и правам на допустимое количество личных слуг (сидзин). ![]() ![]() ![]() Кроме того, параллельно с экономическими льготами, дифференцированными по рангам, существовали и экономические привилегии на получение определенного количества полей (сикибундэн), дворов в кормление и количества слуг в зависимости от должности. ![]() Правовые привилегии, дифференцированные по рангам, заключались, во-первых, в праве на соискание должности соответствующего ранга в административном аппарате; во-вторых, в праве на постройку гробниц определенного размера; в-третьих, в праве на смягчение наказания в случае совершения чиновником уголовного преступления и, наконец, в праве предоставления «теневых рангов» своим сыновьям и внукам. Система «теневых рангов» (онъи) была введена по образцу практиковавшейся в танском Китае. Ее сущность заключалась в следующем. Чиновники 1-5-го рангов, в зависимости от высоты своего собственного ранга и заслуг перед государством, могли «отбрасывать тень своего положения» на своих сыновей и внуков и предоставлять им ранги без всякой аттестации и «проверки заслуг». Теневой ранг предоставлялся при рождении и автоматически конвертировался в «настоящий» при достижении совершеннолетия (21 год). Такая система способствовала бюрократизации родоплеменной аристократии, представители которой служили при дворе, и заметно ограничивала проникновение в среду придворного чиновничества представителей провинциальных родов и потомков переселенцев с материка. ![]() Наконец, еще одной специфической привилегией представителей аристократии столичного района, обладавших рангами, было владение ими родовыми буддийскими храмами (удзидэра). Для провинциального чиновничества существовала своя иерархия из 20 «внешних рангов» (гайи), в соответствии с которой функционировала и чиновно-должностная система. |
![Иллюстрация к книге — История древней Японии [i_034.jpg] Иллюстрация к книге — История древней Японии [i_034.jpg]](img/book_covers/090/90796/i_034.jpg)
![Иллюстрация к книге — История древней Японии [i_035.jpg] Иллюстрация к книге — История древней Японии [i_035.jpg]](img/book_covers/090/90796/i_035.jpg)
![Иллюстрация к книге — История древней Японии [i_036.jpg] Иллюстрация к книге — История древней Японии [i_036.jpg]](img/book_covers/090/90796/i_036.jpg)
![Иллюстрация к книге — История древней Японии [i_037.jpg] Иллюстрация к книге — История древней Японии [i_037.jpg]](img/book_covers/090/90796/i_037.jpg)
![Иллюстрация к книге — История древней Японии [i_038.jpg] Иллюстрация к книге — История древней Японии [i_038.jpg]](img/book_covers/090/90796/i_038.jpg)