Книга Загадки космоса. Планеты и экзопланеты, страница 14 – Андрей Мурачёв

Авторы: А Б В Г Д Е Ж З И Й К Л М Н О П Р С Т У Ф Х Ч Ш Ы Э Ю Я
Книги: А Б В Г Д Е Ж З И Й К Л М Н О П Р С Т У Ф Х Ц Ч Ш Щ Ы Э Ю Я
Бесплатная онлайн библиотека LoveRead.in

Онлайн книга «Загадки космоса. Планеты и экзопланеты»

📃 Cтраница 14
Иллюстрация к книге — Загадки космоса. Планеты и экзопланеты [i_033.jpg]

Конечно, выводы Кеплера распространялись только на Солнечную систему. Действительно, утверждать, что вокруг других звезд могут обращаться планеты и что законы, которым они подчиняются, совпадают с законами, действующими в нашей системе, было смертельно опасно: в воздухе еще пахло костром, на котором недавно сгорел Бруно. Кеплер не раз говорил о законе тяготения, который управляет движением планет. Но выразить этот закон в математической форме ему не удалось. Только к концу века Ньютон докажет, что особенности движения планет, сформулированные Кеплером, могут быть выведены из закона всеобщего тяготения.

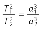
Первые два закона Кеплер вывел на основании данных о движении Марса, доставшихся ему от Тихо Браге. Не располагая достаточным математическим аппаратом, Кеплер скрупулезно пытался найти кривую, правильным образом описывающую орбиты планет. В конце концов он полностью отказался от эпициклов и эксцентриков и пришел к выводу, что Марс движется по эллиптической орбите. Эти два закона Кеплера впервые были опубликованы в книге «Новая астрономия» [22] в 1609 году. Позже он доказал, что все известные ему планеты подчиняются этим законам. В 1612 году император Рудольф II умер, и Кеплер покинул Прагу. Он перебрался в город Линц, в котором жил до самой смерти. Третий закон был опубликован Кеплером в 1619 году в книге «Гармония мира».

До конца жизни Кеплер не отрекся от своих юношеских представлений о Боге-геометре, и в последних сочинениях он вновь обращается к теме многогранников и делает ряд открытий. В книге «Гармония мира» он описывает свое представление об устройстве мира. Кеплер считал, что Земля имеет душу, и эта душа может чувствовать души других планет. Ученый посвятил много страниц описанию музыки, которую издают планеты, обращаясь по орбитам вокруг Солнца. По его представлениям, каждой планете соответствует своя нота, и чем дальше от Солнца находится планета, тем более низко эта нота звучит. Хотя Кеплер сетовал на то, что, скорее всего, красивой музыки планеты не рождают, он считал, что, возможно, в самом начале времен Бог наслаждался прекрасной симфонией.

Сегодня подобные идеи кажутся нам смешными, наивными и абсурдными. Но в оправдание можно сказать, что Кеплер жил в эпоху, когда научное мировоззрение только вставало на ноги, будучи пока лишь слабой альтернативой мистическому и религиозному взгляду на мир. Еще не было уверенности в существовании неких общих для всех явлений природы законов. И как минимум поэтому нужно отдать должное мужеству Кеплера.

Как я уже упоминал, молодой Кеплер отправил один экземпляр своей книги «Тайны мироздания» Галилео Галилею. Более серьезного научного авторитета в те времена не существовало. Один из покровителей Галилея писал о нем: «Земля не знала такого гения со времен Аристотеля». Научные достижения Галилея огромны, и даже скромное упоминание о каждом из них займет много страниц.

Галилей родился в 1564 году. Его отцом был видный в то время теоретик музыки Винченцо Галилей, прославившийся тем, что разработал и провел эксперимент, демонстрировавший связь между натяжением струн и создаваемыми ими тонами. Эксперименты Винченцо Галилея можно считать отправной точкой современной акустики, которая началась как приложение к теории музыки, а затем превратилась в самостоятельный раздел физики. Именно от своего отца Галилей перенял максиму «эксперимент – учитель всего»25.

Поступив в Пизанский университет и проучившись там четыре года, Галилей больше не мог оплачивать свое обучение из-за финансовых проблем и вернулся во Флоренцию без степени. Однако его первая научная работа «Маленькие гидростатические весы», написанная в 1586 году, способствовала его знакомству с маркизом Гвидобальдо дель Монте, ставшим ему другом и покровителем. Тремя годами позже тот помог Галилею получить кафедру математики в том же Пизанском университете, который он так и не окончил. Дель Монте также познакомил Галилея с его будущим покровителем, герцогом Фердинандо I Медичи. В 1592 году Галилею предложили должность в Университете Падуи, и он перебрался преподавать (в том числе и птолемееву астрономию) туда. Годы пребывания в этом университете стали самыми плодотворными для Галилея. Тогда же произошло заочное знакомство Кеплера и Галилея.

Область научных интересов Галилея была обширной, но именно после взрыва сверхновой 1604 года он начал более активно заниматься астрономией. Долгое время он не относился всерьез к кеплеровским моделям орбит планет. А увидевшую свет в 1609 году «Новую астрономию» даже не читал и наотрез отказывался верить в эллиптические орбиты.

В это время в астрономии тихо совершилась еще одна революция: в голландском городе Мидделбург то ли производитель очков Ганс Липперсгей, то ли его коллега Захарий Янсен (сейчас уже неизвестно, кто из них на самом деле был первым) изобрел некое оптическое устройство, которое увеличивало далекие предметы. В 1609 году Галилей, услышав о создании «голландских очков для перспективы», но не имея возможности увидеть их, сам конструирует за несколько дней такое же устройство с 20-кратным увеличением (в будущем такие устройства назовут телескопами). С его помощью Галилей и начал изучать небо.

Впервые в истории человек смог увидеть в ночном небе больше, чем ему было дано природой. В 1610 году в книге «Звездный вестник» Галилей публикует описания того, что ему открылось. Книга расходится мгновенно, вся образованная Европа зачитывается ею, а Галилей становится самым знаменитым ученым Европы.

Открытия Галилея оказываются действительно изумительными. Благодаря телескопу он определяет, что Луна имеет несферическую форму и разнообразный рельеф, схожий с земным, а также, и это самое удивительное, что светит она не своим, а отраженным солнечным светом. Галилей исследует пятна на Солнце, доказывает, что оно вращается, а еще открывает четыре спутника Юпитера (это Ио, Европа, Ганимед и Каллисто). Кроме того, Галилей обнаруживает фазы Венеры. Это означает, что она вращается вокруг Солнца и ее свет не собственный, а отраженный солнечный.

Все это говорит о том, что мир небес подвержен изменениям со временем, он не идеален и не статичен, а значит, между нашим подлунным миром и космосом нет разницы: и тот и другой состоят из одной и той же материи и управляются одними и теми же законами. Открытия Галилея окончательно разрушили господствовавшую астрономическую парадигму, оставшуюся со времен античности.

Став значимой фигурой, Галилей открыто начинает поддерживать Коперника, от его былой робости и страха не остается и следа. И все же, к сожалению, у Галилея на руках не было неоспоримых доказательств истинности гелиоцентризма. Более того, факты указывали на то, что Земля неподвижна.

Например, неминуемым следствием гелиоцентризма является годичный звездный параллакс – изменение в течение года взаимного положения звезд, обусловленное тем, что наблюдатель вместе с Землей двигается вокруг Солнца и смотрит на небо из разных точек земной орбиты. Чем дальше находится звезда, тем меньше будет ее параллакс. Но его сложно определить. Звездный свет, видимый с Земли, подвержен влиянию сезонных колебаний температуры и влажности воздуха, к тому же картинку смазывает дрожание атмосферы. Все это мешает провести высокоточные наблюдения.

Вход
Поиск по сайту
Ищем:
Календарь