Онлайн книга «Биология для тех, кто хочет понять и простить самку богомола»
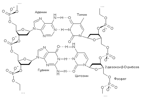
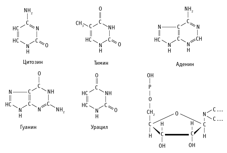
![]() ДНК включает в себя четыре вида азотистых оснований – аденин (A), гуанин (G), тимин (T) и цитозин (C). Всего четыре, но их комбинация дает невообразимое количество вариантов. ![]() Азотистые основания в составе ДНК Вся информация о любом организме закодирована при помощи четырех «букв», четырех азотистых оснований – A, G, T и C. Лишь у некоторых организмов, в виде исключения, в составе ДНК может встречаться пятый тип азотистого основания – урацил (U). В человеческой ДНК урацила нет, но он содержится в нашей РНК вместо тимина, которого в РНК нет. ![]() Фрагмент молекулы ДНК. Крупными латинскими буквами обозначены азотистые основания. Т – тимин, С – цитозин, А – аденин и G – гуанин. У клеток-эукариот, которые имеют ядро, ДНК линейная и находится в ядре, а у безъядерных прокариот ДНК кольцевая и находится в цитоплазме. Молекула ДНК образована двумя полинуклеотидными цепями, спирально закрученными друг около друга и вместе вокруг воображаемой оси, т. е. она представляет собой двойную спираль. Исключение составляют одинарные ДНК некоторых ДНК-содержащих вирусов. Вирусы имеют крайне простое строение и наследственной информации у них мало, потому и ДНК у вирусов небольшая, не нуждающаяся в сложной двухцепочечной упаковке. А многие вирусы вообще обходятся без ДНК, их наследственная информация заключена в более мелких молекулах РНК. ![]() Схематическое изображение фрагмента молекулы ДНК Диаметр двойной спирали ДНК составляет 2 нанометра, расстояние между соседними нуклеотидами – 0,34 нанометра, на один оборот спирали приходится 10 пар нуклеотидов. Длина молекулы может достигать нескольких сантиметров и иметь молекулярный вес, исчисляемый десятками и сотнями миллионов единиц. Суммарная длина ДНК ядра одной клетки человека составляет около 2 метров! Молекулы ДНК – самые крупные из органических молекул. Расположение нуклеотидов в двух парных цепях молекулы ДНК строго определенное: против аденина одной цепи в другой цепи всегда располагается тимин, а против гуанина – всегда цитозин. Между аденином и тимином возникают две водородные связи, между гуанином и цитозином – три водородные связи. Закономерность, согласно которой нуклеотиды разных цепей ДНК строго упорядоченно располагаются (аденин – тимин, гуанин – цитозин) и избирательно соединяются друг с другом, называется принципом комплементарности. ![]() Фрагмент молекулы ДНК: Т – тимин, А – аденин, Г – гуанин, Ц – цитозин, точками показаны водородные связи. Из принципа комплементарности следует, что последовательность нуклеотидов одной цепи определяет последовательность нуклеотидов другой. Функцией ДНК является хранение и передача наследственной информации. Все организмы на нашей планете разные (за исключением клонов) [36] и ДНК у всех тоже разные. Двух полностью схожих молекул ДНК в природе не существует (за исключением ДНК тех же клонов). На этой индивидуальности и основана генетическая криминалистика и судебно-медицинская генетика – любого человека можно со стопроцентной точностью идентифицировать по его ДНК. Точно так же, как и по отпечаткам пальцев, но с отпечатками еще возможны оплошности, а вот с ДНК никаких оплошностей быть не может, это личный уникальный единственный и неповторимый код организма. Молекулы ДНК обладают способностью к репликации, то есть – к самовоспроизведению, самокопированию. Клетки размножаются делением и каждая из двух дочерних клеток непременно должна получить от материнской полную копию наследственной информации. Репликация – это главное свойство молекулы ДНК. Новая цепь синтезируется по матрице, в роли которой выступает старая цепь. Процесс проходит с участием ряда ферментов. Одни ферменты «расплетают» двойные цепи ДНК на две одинарные, другие разрезают ДНК на фрагменты, делая процесс копирования более удобным, третьи сшивают эти фрагменты, а самые главные ферменты, называемые ДНК-полимеразами, собирают мономеры в новые цепи. Мы уже говорили о том, что участок молекулы ДНК (а также некоторых РНК), содержащий информацию об одном отдельном белке, то есть – об одном признаке организма, называют геном. [37] Система записи наследственной информации в виде последовательности нуклеотидов в молекулах нуклеиновых кислот, называют генетическим кодом. Дискретной единицей генетического кода, кодирующей включение в полипептидную цепь одной аминокислоты, является кодон. Кодоны состоят из трех соседних нуклеотидов. Каждый кодон соответствует определенной аминокислоте, входящей в состав белков. Каждой аминокислоте соответствует не один, а несколько кодонов, ведь аминокислот 20, а 4 разновидности нуклеотидов дают 64 тройных комбинации. Поскольку нуклеотиды на схемах обозначают буквами, кодоны выглядят как сочетания трех букв. ![]() Фрагмент таблицы кодонов Посмотрите на фрагмент молекулы матричной РНК, изображенный в буквенном виде. АУГГУУГЦУААУЦУУАУГАГААГГУГЦГЦАГГГГГГАААГАУАААААААУАЦУГАУГГЦАГГГАААГАУАААААААУАЦУГАУГГЦАГГГГГГАУГГУУГЦУААУЦУУАУГАГААГГУГЦГЦАГГГГГГАААГАУАААААААУАЦУГАУГГЦАГГГ… Глаза разбегаются в разные стороны, верно? А это же всего лишь небольшой фрагментик. Если начать читать кодоны с буквы А, то первой аминокислотой будет метионин, второй – валин, третьей – аланин… И так далее. Если же пропустить букву А и начать читать кодоны с буквы У, второй по счету, то первой аминокислотой будет триптофан, второй – лейцин, и третьей – тоже лейцин… Замена всего одной аминокислоты на другую в молекуле гемоглобина приводит к развитию тяжелого заболевания. Страшно представить последствия синтеза совершенно другого белка вместо заданного. А если такое будет повторяться на разных матрицах… Ужас-ужас-ужас! |
![Иллюстрация к книге — Биология для тех, кто хочет понять и простить самку богомола [i_055.jpg] Иллюстрация к книге — Биология для тех, кто хочет понять и простить самку богомола [i_055.jpg]](img/book_covers/090/90220/i_055.jpg)
![Иллюстрация к книге — Биология для тех, кто хочет понять и простить самку богомола [i_056.jpg] Иллюстрация к книге — Биология для тех, кто хочет понять и простить самку богомола [i_056.jpg]](img/book_covers/090/90220/i_056.jpg)
![Иллюстрация к книге — Биология для тех, кто хочет понять и простить самку богомола [i_057.jpg] Иллюстрация к книге — Биология для тех, кто хочет понять и простить самку богомола [i_057.jpg]](img/book_covers/090/90220/i_057.jpg)
![Иллюстрация к книге — Биология для тех, кто хочет понять и простить самку богомола [i_058.jpg] Иллюстрация к книге — Биология для тех, кто хочет понять и простить самку богомола [i_058.jpg]](img/book_covers/090/90220/i_058.jpg)
![Иллюстрация к книге — Биология для тех, кто хочет понять и простить самку богомола [i_059.jpg] Иллюстрация к книге — Биология для тех, кто хочет понять и простить самку богомола [i_059.jpg]](img/book_covers/090/90220/i_059.jpg)
![Иллюстрация к книге — Биология для тех, кто хочет понять и простить самку богомола [i_060.jpg] Иллюстрация к книге — Биология для тех, кто хочет понять и простить самку богомола [i_060.jpg]](img/book_covers/090/90220/i_060.jpg)