Онлайн книга «Чистая архитектура. Искусство разработки программного обеспечения»
|
И снова, исправить эту проблему можно, разделив код, предназначенный для обслуживания разных акторов. Решения
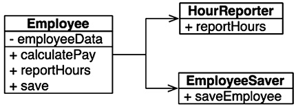
Существует много решений этой проблемы. Но каждое связано с перемещением функций в разные классы. Наиболее очевидным, пожалуй, является решение, связанное с отделением данных от функций. Три класса, как показано на рис. 7.3, используют общие данные EmployeeData — простую структуру без методов. Каждый класс включает только исходный код для конкретной функции. Эти три класса никак не зависят друг от друга. То есть любое непреднамеренное дублирование исключено. Недостаток такого решения — разработчик теперь должен создавать экземпляры трех классов и следить за ними. Эта проблема часто решается применением шаблона проектирования «Фасад» (Facade), как показано на рис. 7.4. Класс EmployeeFacade содержит очень немного кода и отвечает за создание экземпляров трех классов и делегирование вызовов методов. ![]() Рис. 7.3. Три класса, не зависящих друг от друга ![]() Рис. 7.4. Шаблон «Фасад» Некоторые разработчики предпочитают держать наиболее важные бизнес-правила как можно ближе к данным. Это можно сделать, сохранив важные методы в оригинальном классе Employee, и затем использовать этот класс как фасад для низкоуровневых функций (рис. 7.5). ![]() Рис. 7.5. Наиболее важные методы остаются в оригинальном классе Employee и используются как фасад для низкоуровневых функций Вы можете возразить против такого решения на том основании, что каждый класс содержит только одну функцию. Однако в реальности такое едва ли возможно. Количество функций, необходимых для расчета зарплаты, создания отчета или сохранения данных, наверняка будет больше в любом случае. Каждый из таких классов может иметь также много приватных методов. Каждый такой класс, содержащий подобное семейство методов, образует свою область видимости. Вне этой области никто не знает о существовании приватных членов семейства. Заключение
Принцип единственной ответственности (Single Responsibility Principle; SRP) касается функций и классов, но он проявляется в разных формах на еще двух более высоких уровнях. На уровне компонентов он превращается в принцип согласованного изменения (Common Closure Principle; CCP), а на архитектурном уровне — в принцип оси изменения (Axis of Change), отвечающий за создание архитектурных границ. Все эти идеи мы обсудим в последующих главах. Глава 8. Принцип открытости/закрытости
![]() Принцип открытости/закрытости (Open-Closed Principle; OCP) был сформулирован Бертраном Мейером в 1988 году. [23] Он гласит: Программные сущности должны быть открыты для расширения и закрыты для изменения. Иными словами, должна иметься возможность расширять поведение программных сущностей без их изменения. Это одна из основных причин, почему мы изучаем архитектуру программного обеспечения. Очевидно, если простое расширение требований ведет к значительным изменениям в программном обеспечении, значит, архитекторы этой программной системы потерпели сокрушительное фиаско. Большинство студентов, изучающих проектирование программного обеспечения, признают принцип OCP как руководство по проектированию классов и модулей. Но на уровне архитектурных компонентов этот принцип приобретает еще большую значимость. Увидеть это поможет простой мысленный эксперимент. Мысленный эксперимент
Представьте, что у нас есть финансовая сводка. Содержимое страницы прокручивается, и отрицательные значения выводятся красным цветом. Теперь допустим, что заинтересованные лица попросили нас представить ту же информацию в виде отчета, распечатанного на черно-белом принтере. Отчет должен быть разбит на страницы, включать соответствующие верхний и нижний колонтитулы на каждой странице и колонку меток. Отрицательные значения должны заключаться в круглые скобки. Очевидно, что для этого придется написать новый код. Но как много старого кода придется изменить? В программном обеспечении с хорошо проработанной архитектурой таких изменений должно быть очень немного. В идеале их вообще не должно быть. Как? Правильно разделяя сущности, которые изменяются по разным причинам (принцип единственной ответственности), и затем правильно организуя зависимости между этими сущностями (принцип инверсии зависимостей). Применяя принцип единственной ответственности, можно прийти к потоку данных, изображенному на рис. 8.1. Некоторая процедура анализирует финансовые данные и производит данные для отчета, которые затем форматируются двумя процедурами формирования отчетов. ![]() Рис. 8.1. Результат применения принципа единственной ответственности Самое важное, что нужно понять, — в данном примере в создание отчета вовлечены две отдельные ответственности: вычисление данных для отчета и представление этих данных в форме веб-отчета или распечатанного отчета. Сделав такое разделение, мы должны организовать зависимости в исходном коде так, чтобы изменения в одной из ответственностей не вызывали необходимости изменений в другой. Кроме того, новая организация должна гарантировать возможность расширения поведения без отмены изменений. Этого можно добиться, выделив процессы в классы, а классы в компоненты, ограниченные двойными линиями на рис. 8.2. Компонент в левом верхнем углу на этом рисунке — контроллер. В правом верхнем углу — интерактор, или посредник. В правом нижнем углу — база данных. Наконец, в левом нижнем углу изображены четыре компонента — презентаторы и представления. |
![Иллюстрация к книге — Чистая архитектура. Искусство разработки программного обеспечения [i_027.jpg] Иллюстрация к книге — Чистая архитектура. Искусство разработки программного обеспечения [i_027.jpg]](img/book_covers/088/88325/i_027.jpg)
![Иллюстрация к книге — Чистая архитектура. Искусство разработки программного обеспечения [i_028.jpg] Иллюстрация к книге — Чистая архитектура. Искусство разработки программного обеспечения [i_028.jpg]](img/book_covers/088/88325/i_028.jpg)
![Иллюстрация к книге — Чистая архитектура. Искусство разработки программного обеспечения [i_029.jpg] Иллюстрация к книге — Чистая архитектура. Искусство разработки программного обеспечения [i_029.jpg]](img/book_covers/088/88325/i_029.jpg)
![Иллюстрация к книге — Чистая архитектура. Искусство разработки программного обеспечения [i_030.jpg] Иллюстрация к книге — Чистая архитектура. Искусство разработки программного обеспечения [i_030.jpg]](img/book_covers/088/88325/i_030.jpg)
![Иллюстрация к книге — Чистая архитектура. Искусство разработки программного обеспечения [i_031.jpg] Иллюстрация к книге — Чистая архитектура. Искусство разработки программного обеспечения [i_031.jpg]](img/book_covers/088/88325/i_031.jpg)