Книга Механизм Вселенной: как законы науки управляют миром и как мы об этом узнали, страница 22 – Скотт Бембенек

Авторы: А Б В Г Д Е Ж З И Й К Л М Н О П Р С Т У Ф Х Ч Ш Ы Э Ю Я
Книги: А Б В Г Д Е Ж З И Й К Л М Н О П Р С Т У Ф Х Ц Ч Ш Щ Ы Э Ю Я
Бесплатная онлайн библиотека LoveRead.in

Онлайн книга «Механизм Вселенной: как законы науки управляют миром и как мы об этом узнали»

📃 Cтраница 22

Клаузиус понял, что в тепловом двигателе и конверсия, и кондукция происходят одновременно. Однако проводимость является здесь естественным процессом (переход тепла от горячего источника к холодному), в то время как преобразование – неестественный (преобразование тепла в работу). Клаузиус предположил, что в идеальном примере Карно с обратимым двигателем эти два процесса эквивалентны:

«…Эти два преобразования могут рассматриваться как явления одной природы. Таким образом, они оба являются эквивалентами друг друга» .

После разработки математических расчетов для новой теории Клаузиус вычисляет также то, что он назвал механическим эквивалентом тепла: значение эквивалентности для кондукции в предпочтительном направлении и значение эквивалентности для конверсии в непредпочтительном направлении . Благодаря впечатляющей физической интуиции и математическим познаниям он выяснил, что если тепловой двигатель Карно работает циклично, и общая сумма его значений эквивалентности равняется нулю! Действительно, это, возможно, был один из самых интересных нулей в истории физики. Позвольте мне объяснить.

Работа теплового двигателя Карно в цикле похожа на работу реального теплового двигателя, такого как в вашем автомобиле. В конце каждого цикла двигатель возвращается к своему исходному состоянию, или отправной точке, готовый начать весь процесс заново. Однако в теории Клаузиуса результат вычислений равнялся нулю, что было невероятно. А именно, это означало, что Клаузиус открыл новую физическую величину, связанную с механизмами тепла (конверсией и кондукцией). Не просто некоторую физическую величину, но совершенно особый тип физической величины, известный как функция состояния .

Функция состояния особенная, потому что ее значение зависит только от текущего состояния системы, а не от того, как система приобрела это состояние. Очень знакомая функция состояния – объем . Например, представьте, что вы наполняете водой стакан точно наполовину объема. Теперь представьте, как вы наполняете его полностью, а затем выливаете половину воды, вновь оставив стакан наполовину заполненным. Очевидно, даже при том, что мы достигли половины объема двумя различными способами, конечный результат одинаков.

Кроме того, значение любой функции состояния будет неизменным, если начальное и конечное состояния системы одинаковы – как если они находятся в цикле – независимо от способа, которым мы добираемся от начала до конца. Еще раз рассмотрим стакан воды. Даже при том, что мы получили половину объема двумя различными способами, между финальными объемами не было различия; они были одинаковыми – различие нулевое . Именно это и означал ноль Клаузиуса: некоторая неизвестная функция состояния, связанная с теплом, осталась неизменной в результате запуска двигателя Карно и окончания в том же состоянии. Но чем именно эта функция состояния была? И что она означала физически?

Противоположность энергии: энтропия

В 1854 году Клаузиус выявил новую функцию состояния, работая с тепловым двигателем Карно в цикле. Достаточно удивительным для того времени было то, что он не дал этой функции имя, но тем не менее все-таки определял ее как «тепло к температуре». Это могло бы быть, к примеру, процессом, при котором тепло покидает горячий резервуар, разделенным на температуру горячего резервуара, или теплом, переходящим в холодный резервуар, разделенным на температуру холодного резервуара. А именно:

q / T,

где q – это тепло, а T – температура в Кельвинах .

Вспомните, что в тепловом двигателе Карно (обратимом и идеализированном) единственное тепло, которое терялось при работе, попадало в холодный резервуар. Это необходимая потеря, которая нужна для использования теплового двигателя, и обойти это правило невозможно. Тем не менее тепловой двигатель Карно – все еще самый эффективный тепловой двигатель, хотя, конечно, мы знаем, что он существует только на бумаге; построить совершенно обратимый тепловой двигатель Карно вы не сможете.

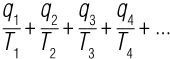
Реальный тепловой двигатель необратим – это означает, что у него есть другие процессы, которые объясняют потерю тепла и его рассеивание в окружающей среде, такие как механическое трение, потеря тепла посредством проводимости и других тепловых механизмов. В результате всех тех остальных процессов сумма значений эквивалентности Клаузиуса, которая равнялась нулю для обратимого процесса, всегда больше нуля для необратимого процесса. Оказывается, сумма Клаузиуса – не что иное, как сумма всех q/T, которые составляют процесс:

Иллюстрация к книге — Механизм Вселенной: как законы науки управляют миром и как мы об этом узнали [fb3_img_img_8fcf55ab-9d5b-5707-96ac-c25fb5bd080c.jpg]

Итак, это означает, что для обратимого процесса, протекающего циклично, у данного q/T есть другой q/T, который уравновешивает его, как партнер, если угодно, таким образом гарантируя, что общее количество для всех них будет нулем. Однако для необратимого процесса дело обстоит иначе; не у каждого q/T нет партнера, и в итоге получается остаток q/T (или некомпенсированное преобразование, как называл его Клаузиус), который делает сумму больше нуля – положительным значением . Природные процессы необратимы, поэтому у них иногда есть остаточное q/T, который способствует (добавляя это положительное значение к сумме) постоянному увеличению количества энтропии во Вселенной.

Особый тип необратимого процесса – спонтанный процесс. Спонтанный процесс протекает без какой-либо дополнительной помощи; он движется в предпочтительном направлении без приложения работы. Так, когда ваш кофе остывает (так как тепло из него уходит в окружающую среду); стакан разбивается после падения на землю (после того как выполнят работу, например, подтолкнув его к краю прилавка); кубики льда тают в вашем напитке – у этих и многих других спонтанных процессов есть положительное значение. Чем выше это значение, тем более «предпочтительным» является процесс и тем сильнее он увеличивает энтропию Вселенной.

Клаузиус сформулировал многие из своих идей в теории, выдвинутой в 1854 году, где он вводит новую переменную q/T, оставляя ее безымянной. Однако в 1865 году, после дальнейших размышлений, Клаузиус пишет:

«Я считаю, что лучше заимствовать названия важных величин из древних языков, чтобы их могли использовать без изменений во всех современных языках. Я предлагаю назвать величину S энтропией тела – от греческого слова, используемого для обозначения трансформации. Я намеренно создал слово «энтропия» таким образом, чтобы оно было максимально близким к слову «энергия»; так как две величины, обозначаемые этими словами, так близко связаны в своем физическом значении, что кажется нужным некоторое сходство и в их названиях».

Наконец, в 1865 году Клаузиус завершил свою работу, в которой первое и второе начала были сформулированы так:

Вход
Поиск по сайту
Ищем:
Календарь