Книга Против часовой стрелки, страница 62 – Полина Лосева

Авторы: А Б В Г Д Е Ж З И Й К Л М Н О П Р С Т У Ф Х Ч Ш Ы Э Ю Я
Книги: А Б В Г Д Е Ж З И Й К Л М Н О П Р С Т У Ф Х Ц Ч Ш Щ Ы Э Ю Я
Бесплатная онлайн библиотека LoveRead.in

Онлайн книга «Против часовой стрелки»

📃 Cтраница 62

Как правило, для анализа длины теломер берут лейкоциты (белые кровяные тельца, иммунные клетки) из венозной крови – это самый дешевый и нетравматичный метод. Затем подсчитывают [397] количество теломерных повторов в клетке и делят на количество хромосом; получается усредненная длина теломер. Во многих исследованиях эта средняя длина коррелировала [398] с риском умереть, поэтому ее часто используют как показатель старения. Например, в медицинских работах могут учитывать [399] длину теломер наравне с другими симптомами болезни, чтобы скорректировать лечение.

Длина теломер неплохо вписывается [400] в классические критерии маркера биологического возраста. Она коррелирует со смертностью и риском развития возрастных болезней. Она отражает внутренние причины, а не следствия старения. Ее легко измерить, не навредив пациенту, а способ измерения достаточно дешевый. Наконец, ее можно применять для оценки возраста и у других организмов. Несмотря на то что у мышей теломеры гораздо длиннее, чем у людей, и лучше сохраняются в течение жизни, с возрастом они тоже становятся короче.

Тем не менее вера в предсказательную силу теломер постепенно сходит на нет. Например, потому что неясно, насколько длина теломер в лейкоцитах отражает состояние хромосом во всех остальных клетках тела. Клетки крови и их предшественники регулярно делятся, поэтому логично, что их теломеры сокращаются, но как быть с медленно обновляющимися тканями и с клетками, которые не размножаются вообще? В некоторых исследованиях длина теломер оказалась разной [401] даже у близкородственных типов иммунных клеток.

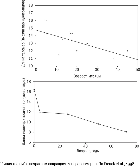
Более того, мы до сих пор не знаем, насколько сильно отличается [402] этот параметр у разных людей. Известно, например, что у женщин теломеры длиннее, чем у мужчин, а у людей европейского происхождения они короче, чем у африканцев. Размер теломер зависит [403] от возраста родителей: чем старше у человека отец, тем длиннее его хромосомы, а с матерями все наоборот. Поэтому ребенок может унаследовать от родителей набор теломер разной длины, но в условиях эксперимента исследователь все равно сможет вычислить только среднее значение. Отсюда большой разброс [404] в оценках: в теломерах взрослых людей в разных работах насчитывали от 5 000 до 10 000 нуклеотидов, а "оптимальное" значение определить сложно. В такой ситуации кажется более разумным измерять не абсолютное значение длины теломер у человека, а динамику ее изменения.

Но и динамические измерения порой дают совсем неожиданные результаты. Скорость укорочения теломер может меняться [405] с возрастом, по крайней мере в лейкоцитах крови. У маленьких детей они теряют около 10 % длины в год, затем в возрасте четырех лет их длина стабилизируется, а затем снова начинает медленно сокращаться. А в некоторых [406] случаях длина теломер может даже возрастать, в том числе [407] и у людей, например у пожилых [408] после 75 лет.

Иллюстрация к книге — Против часовой стрелки [i_077.jpg]

В 2019 году NASA опубликовало [409] итоги своего близнецового эксперимента. Два брата-близнеца – один на орбите, другой на Земле – в течение почти целого года находились под пристальным вниманием врачей и ученых. Все это время у них собирали образцы биоматериала, чтобы оценить, как долгое пребывание в космосе влияет на физиологию человека. Помимо прочих параметров, у близнецов измеряли длину теломер в лейкоцитах. У "земного" близнеца за прошедший год теломеры, как и следовало ожидать, стали короче. А вот у его космического брата они изменялись не так линейно. К моменту возвращения на Землю они, наоборот, удлинились почти на 15 %, а после приземления в течение двух дней снова укоротились и стали в итоге меньше, чем были до отправления в космос.

Некоторые исследователи считают такие результаты артефактом эксперимента. Дело в том, что погрешность измерения теломер колеблется от 1,5 до 9,5 %, в зависимости от лаборатории и метода. При средней длине теломер в 7000 нуклеотидов в год человек теряет примерно 20–45 нуклеотидов. Таким образом, погрешность может составлять до 685 нуклеотидов, поэтому иногда может казаться, что теломеры растут из года в год.

Кроме того, за время эксперимента может измениться и состав ткани. Любые методы измеряют лишь среднюю длину теломер в клетках (как правило, лейкоцитов). Это значит, что и стволовые, и сенесцентные клетки вносят какой-то вклад в эту величину. И чем больше молодых клеток по отношению к старым находится в крови в данный момент, тем выше средняя длина теломер. Поэтому то, что кажется на первый взгляд омоложением отдельных клеток, может оказаться обновлением ткани в целом.

Вход
Поиск по сайту
Ищем:
Календарь