Книга Фейнмановские лекции по физике. Современная наука о природе, страница 28 – Ричард Фейнман

Авторы: А Б В Г Д Е Ж З И Й К Л М Н О П Р С Т У Ф Х Ч Ш Ы Э Ю Я
Книги: А Б В Г Д Е Ж З И Й К Л М Н О П Р С Т У Ф Х Ц Ч Ш Щ Ы Э Ю Я
Бесплатная онлайн библиотека LoveRead.in

Онлайн книга «Фейнмановские лекции по физике. Современная наука о природе»

📃 Cтраница 28
Иллюстрация к книге — Фейнмановские лекции по физике. Современная наука о природе [i_040.jpg]

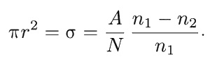
Фиг. 5.10. Воображаемая пластинка углерода толщиной 1 см при сильном увеличении (если бы были видны только ядра атомов).


Вероятность того, что очень малая частица столкнется с ядром, равна отношению площади, занимаемой ядрами (черные точки), к общей площади рисунка. Пусть над областью с площадью А по всей толщине пластинки находится N атомов (разумеется, каждый с одним ядром). Тогда доля площади, закрытая ядрами, будет равна Nσ/A. Пусть теперь число частиц в нашем пучке до пластинки будет равно n1, а после нее равно n2; тогда доля частиц, не прошедших через пластинку, будет (n1n2)/n1,что должно быть равно доле площади, занимаемой ядрами. Радиус же ядер вычисляется из равенства [5]

Иллюстрация к книге — Фейнмановские лекции по физике. Современная наука о природе [i_041.jpg]

Из таких экспериментов мы находим, что радиусы ядер лежат в пределах от 1 10−15 до 6 10−15 м. Кстати, единица длины 10−15 м называется ферми в честь Энрико Ферми (1901–1958).

Что можно ожидать в области еще меньших расстояний? Можно ли их измерять? На этот вопрос пока еще нет ответа. Может быть, именно здесь, в каком-то изменении понятия пространства или измерения на малых расстояниях, кроется разгадка тайны ядерных сил.

Несколько слов о стандарте длины. Разумно в качестве стандарта использовать какую-то естественную единицу длины, например радиус Земли или некоторую его долю. Именно таким образом возник метр. Первоначально он определялся как (π/2) 10−7 доля радиуса Земли. Однако такое определение нельзя считать ни особенно точным, ни удобным. Поэтому в течение долгого времени по международному соглашению в качестве эталона метра принималась длина между двумя метками, сделанными на особом брусе, который хранится в специальной лаборатории во Франции. Только много позднее поняли, что и такое определение метра не столь уж точно, как это необходимо, и не так уж универсально и постоянно, как этого хотелось бы. Поэтому сейчас принят новый стандарт длины как некоторое заранее установленное число длин волн определенной спектральной линии.

* * *

Результаты измерения расстояний и времени зависят от наблюдателя. Два наблюдателя, движущиеся друг относительно друга, измеряя один и тот же предмет или длительность одного и того же процесса, получат разные значения, хотя, казалось бы, мерили одно и то же. Расстояния и интервалы времени в зависимости от системы координат (т. е. системы отсчета), в которой производят измерения, имеют различную величину. В последующих главах мы будем более подробно разбирать этот вопрос.

Законы природы не позволяют выполнять абсолютно точные измерения расстояний или интервалов времени. Мы уже упоминали ранее, что ошибка в определении положения предмета не может быть меньше, чем

Δx = hp,

где h – малая величина, называемая «постоянной Планка», а Δp – ошибка в измерении импульса (массы, умноженной на скорость) этого предмета. Как уже говорилось, эта неопределенность в измерении положения связана с волновой природой частиц.

Относительность пространства и времени приводит к тому, что измерения интервалов времени также не могут быть точнее, чем

Δt = hE,

где ΔE – ошибка в измерении энергии того процесса, продолжительностью которого мы интересуемся. Чтобы знать более точно, когда что-то произошло, мы вынуждены довольствоваться тем, что меньше знаем, чтó же именно произошло, поскольку наши знания об энергии, участвующей в процессе, будут менее точными. Эта неопределенность времени, так же как и неопределенность положения, связана с волновой природой вещества.

Глава 6
Вероятность

Истинная логика нашего мира – это подсчет вероятностей.

Джемс Кларк Максвелл

Вероятность и правдоподобие. Флуктуации. Случайные блуждания. Распределение вероятностей. Принцип неопределенности

§ 1. Вероятность и правдоподобие

«Вероятность», или «шанс», – это слово вы слышите почти ежедневно. Вот по радио передают прогноз погоды на завтра: «Вероятно, будет дождь». Вы можете сказать: «У меня мало шансов дожить до ста лет». Ученые тоже часто употребляют эти слова. Сейсмолога интересует вопрос: какова вероятность того, что в следующем году в Южной Калифорнии произойдет землетрясение такой-то силы? Физик может спросить: с какой вероятностью этот счетчик Гейгера зарегистрирует двадцать импульсов в последующие десять секунд? Дипломата или государственного деятеля волнует вопрос: каковы шансы этого кандидата быть избранным президентом? Ну а вас, конечно, интересует: есть ли шансы что-либо понять в этой главе?

Под вероятностью мы понимаем что-то вроде предположения или догадки. Но почему и когда мы гадаем? Это делается тогда, когда мы хотим вынести какое-то заключение или вывод, но не имеем достаточно информации или знаний, чтобы сделать вполне определенное заключение. Вот и приходится гадать: может быть, так, а может быть, и не так, но больше похоже на то, что именно так. Очень часто мы гадаем, когда нужно принять какое-то решение, например: «Брать ли мне сегодня с собой плащ или не стоит?»; «На какую силу землетрясения должен я рассчитывать проектируемое здание?»; «Нужно ли мне делать более надежную защиту?»; «Следует ли мне менять свою позицию в предстоящих международных переговорах?»; «Идти ли мне сегодня на лекцию?»

Иногда мы строим догадки потому, что хотим при ограниченности своих знаний сказать как можно больше о данной ситуации. В сущности, ведь любое обобщение носит характер догадки. Любая физическая теория – это своего рода догадка. Но догадки тоже бывают разные: хорошие и плохие, близкие и далекие. Тому, как делать наилучшие догадки, учит нас теория вероятностей. Язык вероятностей позволяет нам количественно говорить о таких ситуациях, когда исход весьма и весьма неопределенен, но о котором все же в среднем можно что-то сказать.

Давайте рассмотрим классический пример с подбрасыванием монеты. Если монета «честная», то мы не можем знать наверняка, какой стороной она упадет. Однако мы предчувствуем, что при большом числе бросаний число выпадений «орла» и «решки» должно быть приблизительно одинаковым. В этом случае говорят: вероятность выпадения «орла» равна половине.

Вход
Поиск по сайту
Ищем:
Календарь