Книга Первые три минуты, страница 40 – Стивен Вайнберг

Авторы: А Б В Г Д Е Ж З И Й К Л М Н О П Р С Т У Ф Х Ч Ш Ы Э Ю Я
Книги: А Б В Г Д Е Ж З И Й К Л М Н О П Р С Т У Ф Х Ц Ч Ш Щ Ы Э Ю Я
Бесплатная онлайн библиотека LoveRead.in

Онлайн книга «Первые три минуты»

📃 Cтраница 40

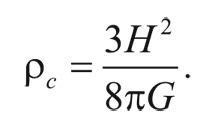
Другими словами, плотность должна равняться:

Иллюстрация к книге — Первые три минуты [i_035.jpg]

Это и есть критическая плотность. (Хотя мы получили этот результат в рамках ньютоновской физики, он применим и тогда, когда вещество во Вселенной обладает релятивистскими скоростями. Под ρ в таком случае понимается полная плотность энергии, деленная на с 2.)

Например, если взять общепринятое сегодня значение постоянной Хаббла (15 км/с на миллион световых лет), то, учитывая, что в световом годе 9,46 × 1012 километров, получим:

Иллюстрация к книге — Первые три минуты [i_036.jpg]

В одном грамме содержится 6,02 × 1023 нуклонов. Соответственно это значение критической плотности соответствует 2,7 × 10–6 нуклонам на кубический сантиметр, или 0,0027 частицы на литр.

Заметка 3. Оценки времени расширения

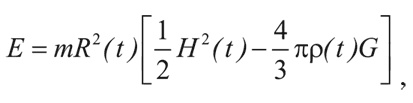
Рассмотрим теперь, как параметры Вселенной меняются со временем. Допустим, в момент времени t типичная галактика массой m находится на расстоянии R(t) от произвольно выбранного центра – например, от нашей Галактики. В предыдущей заметке мы показали, что полная (кинетическая и потенциальная) энергия такой галактики равна:

Иллюстрация к книге — Первые три минуты [i_037.jpg]

где H(t) и ρ(t) – значения постоянной Хаббла и плотности вещества во Вселенной в момент времени t. Эта величина является постоянной. Однако мы скоро увидим, что ρ(t) при R(t)0 растет не медленнее, чем 1/R3(t), поэтому ρ(t) R2(t) растет не медленнее, чем 1/R(t), когда R(t) стремится к нулю. Чтобы результирующая энергия оставалась постоянной, два слагаемых в скобках должны быть почти равны. В итоге при R(t)0 имеем:

Иллюстрация к книге — Первые три минуты [i_038.jpg]

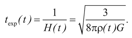
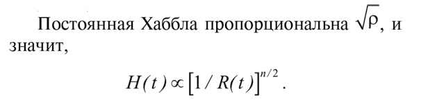
Характерное время расширения Вселенной есть величина, обратная постоянной Хаббла, т. е.:

Иллюстрация к книге — Первые три минуты [i_039.jpg]

Например, в момент первого стоп-кадра в главе 5 плотность составляла 3,8 миллиарда грамм на кубический сантиметр. Таким образом, время расширения равнялось:

Иллюстрация к книге — Первые три минуты [i_040.jpg]

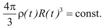
Зададимся вопросом: как ρ(t) зависит от R(t)? Если основной вклад в плотность вносят нуклоны (материально-доминированная стадия), то полная масса внутри сопутствующей сферы радиуса R(t) пропорциональна количеству нуклонов внутри этой сферы и, следовательно, не меняется:

Иллюстрация к книге — Первые три минуты [i_041.jpg]

Следовательно, ρ(t) обратно пропорциональна R(t)3:

Иллюстрация к книге — Первые три минуты [i_042.jpg]

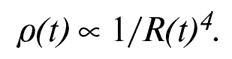
(Символ ∝ означает «пропорциональна».) Если же в плотности преобладает плотность (массовая) излучения (полученная из плотности энергии делением на скорость света в квадрате), что соответствует радиационно-доминированной эпохе, то p(t) пропорциональна четвертной степени температуры. Но температура меняется как 1/R(t), а значит, ρ(t) обратно пропорциональна R(t)4:

Иллюстрация к книге — Первые три минуты [i_043.jpg]

Чтобы одновременно учесть как материально-, так и радиационно-доминированную стадию, запишем этот результат в следующей форме:

Иллюстрация к книге — Первые три минуты [i_044.jpg]

Попутно заметим, что ρ(t), как и следовало ожидать, действительно расходится не медленнее, чем 1/R(t)3 при R(t) → 0.

Иллюстрация к книге — Первые три минуты [i_045.jpg]

Но скорость типичной галактики тогда равна:

Иллюстрация к книге — Первые три минуты [i_046.jpg]

Из дифференциального исчисления хорошо известно, что если скорость пропорциональна какой-либо степени расстояния, то время, необходимое для перемещения из одной точки в другую, пропорционально изменению отношения расстояния к скорости. Говоря более точно, если V пропорциональна R(t)1–n/2, то промежуток времени

Иллюстрация к книге — Первые три минуты [i_047.jpg]

Таким образом, каково бы ни было значение n, истекшее время пропорционально разности обратных корней из плотности.

Например, после аннигиляции электронов и позитронов в течение всей радиационно-доминированной эпохи плотность энергии имеет следующий вид (см. математическую заметку 6 на с. 249):

Иллюстрация к книге — Первые три минуты [i_048.jpg]

Кроме того, в последнем выражении п = 4. Таким образом, Вселенная охлаждается от 100 до 10 миллионов градусов за:

Иллюстрация к книге — Первые три минуты [i_049.jpg]

Полученный общий результат более прозрачно можно сформулировать так: промежуток времени, за который плотность падает до ρ (с величины, много большей, чем ρ), равен:

Иллюстрация к книге — Первые три минуты [i_050.jpg]

(Если ρ(t2) > ρ(t1), то вторым членом в формуле для t1 – t2 можно пренебречь.) Например, при температуре 3000 K массовая плотность фотонов и нейтрино равнялась:

ρ = 1,22 × 10–35 × [3000]4 г/см3 = 9,9 × 10¯22 г/см3.

Это настолько мало по сравнению с плотностью при 108 K (или 107 K, или 106 K), что время, за которое Вселенная охладится от очень высоких температур, царивших в первые мгновения ее жизни, до 3000 K, можно рассчитать (положив n = 4) следующим образом:

Вход
Поиск по сайту
Ищем:
Календарь