Книга Книга, которую читают все, страница 75 – Бернард Вербер

Авторы: А Б В Г Д Е Ж З И Й К Л М Н О П Р С Т У Ф Х Ч Ш Ы Э Ю Я
Книги: А Б В Г Д Е Ж З И Й К Л М Н О П Р С Т У Ф Х Ц Ч Ш Щ Ы Э Ю Я
Бесплатная онлайн библиотека LoveRead.in

Онлайн книга «Книга, которую читают все»

📃 Cтраница 75

У женщин, напротив, первая менструация будет появляться все раньше, а наступление менопаузы отодвинется к более позднему времени. То есть раздвинутся границы репродуктивного возраста. Вероятно, мы станем более сладострастными, чтобы этот долгий период не казался таким скучным…

Мужчины станут более женственными. В охотничьих племенах разница между женскими и мужскими лицами весьма существенна, а в нашем обществе уже сейчас заметно большое сходство женского и мужского черепов. Будущее принадлежит гермафродиту и женщине-ребенку. Два этих эстетических образа, кстати, становятся канонами красоты, их все более широко пропагандирует мода, кинематограф и популярная музыка.

301. 1 + 1 = 3

Это значит, что слияние талантов превосходит их простое сложение. Это значит, что управляющий Вселенной союз мужчины и женщины, малого и большого, высокого и низкого дает рождение чему-то, что отличается и от первого, и от второго, и превосходит их.

1 + 1 = 3

В этом уравнении выражена вера в то, что наши дети обязательно будут лучше нас. То есть вера в будущее человечества. Завтрашний человек будет лучше сегодняшнего.

Кроме того, уравнение «1 + 1 = 3» означает еще и веру в то, что коллективность и социальная сплоченность являются лучшим способом возвыситься над нашей животной составляющей.

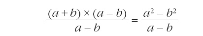
При этом уравнение «1 + 1 = 3» может смутить многих, кто скажет, что этот философский принцип математически неверен и оттого ничего не стоит. Ну что ж, проверим.


Известно, что

(a + b) × (a – b) = a2ab + ba – b2.

В правой части – ab и +ba взаимно уничтожаются, и получается

(a + b) × (a – b) = a2b2.


Поделим оба выражения на (a – b):

Иллюстрация к книге — Книга, которую читают все [i_307.jpg]

Упростим выражение в правой части:

Предположим, что 

Иллюстрация к книге — Книга, которую читают все [i_308.jpg]
равно 1.

Получаем

Иллюстрация к книге — Книга, которую читают все [i_309.jpg]

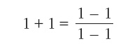
Предположим, что a = b= 1. Мы получаем

Иллюстрация к книге — Книга, которую читают все [i_310.jpg]

Так как неизвестное у нас по-прежнему равно 1, получаем


1 + 1 = 1


Если к обеим частям уравнения прибавить по 1, получаем


3 = 2,


или


3 = 1 + 1


Некоторые сторонники Декарта заметят, что 1–1 было равно нулю, а делить на ноль нельзя. На это можно возразить, что это запрещено именно потому, что деление на ноль дает бесконечность, а это понятие трудно использовать в математике. Но мы-то с вами не ограничены математическими правилами и можем позволить себе использовать и бесконечность.

В этом случае 1 + 1 равно не только 3, но и бесконечности. И начинается сближение математики с философией и квантовой физикой.

302. Бактерия

Так зовут нашего самого древнего прапра-прапрадедушку. Это также и название органической структуры, которая царствовала на Земле дольше всех и совершенно безраздельно.

Иллюстрация к книге — Книга, которую читают все [i_311.jpg]

Если нашей планете примерно пять миллиардов лет, то первая бактерия, архебактерия, появилась на ней три с половиной миллиарда лет назад. Около двух миллиардов лет архебактерия и ее варианты «резвились» на Земле в полном одиночестве. Они боролись друг с другом, ели друг друга, воспроизводились. Сколько эпопей, сколько драм, сколько историй со счастливым концом из жизни бактерий навсегда остались неизвестными для нас, более поздних обитателей земной коры…

В сердце каждого человека дремлет бактерия.

Закончились три четверти времени до нашего появления на Земле (четверть в тишине, две четверти – с бактериями в качестве единственных обитателей), и вот возникает первая клетка с ядром. Это была настоящая революция. До тех пор гены разгуливали по клетке, как им заблагорассудится. Теперь они объединились в ядро, и, наконец, появилась логичная программа.

От бактерий произошла эволюционировавшая ветвь: голубые водоросли. В отличие от своих предков, они любят кислород, солнечный свет, у них есть будущее.

Теперь дело идет быстрее.

Голубые водоросли производят все более и более сложные формы жизни. Двести пятьдесят миллионов лет назад появляются насекомые. Люди, сильно припоздав, показались всего три миллиона лет назад.

Что же касается не сумевших эволюционировать бактерий, они так до сих пор и не выносят кислорода. И прячутся в глубинах земли, воды и даже нашего кишечника.

303. Строить и контактировать

Любая форма жизни только этим и занимается: строит и контактирует. С самого начала в глубине каждой клетки происходят два этих движения. ДНК строит, РНК контактирует.

ДНК (дезоксирибонуклеиновая кислота) включает в себя одновременно и идентификационную карточку, и память, и план построения клетки. Она состоит из смеси четырех химических элементов (четырех азотсодержащих основ), которые можно символизировать начальными буквами их названий. А (аденин), Т (тимин), Г (гуанин), Ц (цитозин). АТГЦ, словно колода из четырех карт. Можно как угодно смешивать червы, трефы, пики и бубны, все равно это целая колода.

Но играют двумя руками. Любому ряду комбинаций карт АТГЦ соответствует параллельный ряд, подчиняющийся определенным правилам. А объединяется только с Т, Г – только с Ц.

То есть верхнему ряду ГЦЦЦААТГГ соответствует ЦГТТТТАЦЦ. Каждый ген – это химическое соединение, состоящее из многих тысяч А, Т, Г, Ц. Это его богатство, его код, библиотека знаний, которые его характеризуют. Цвет ваших глаз – карий или синий – зависит от комбинации АТГЦ.

Все наши свойства – это АТГЦ. Их много. Интересная деталь: если размотать ДНК одной из наших клеток, получится нить, длина которой равна расстоянию от Земли до Луны, умноженному на 16 000.

Иллюстрация к книге — Книга, которую читают все [i_312.jpg]

Клетка становится сложной, она способна хранить информацию. Но зачем нужна эта информация, если ее нельзя передать? И появляется способность «контактировать». Сообщения, посылаемые клеткой, похожи на клетки ДНК, но их химический состав все-таки иной. Они называются «посланцы РНК» (рибонуклеиновой кислоты). Эти волокна РНК почти идентичны дезоксирибонуклеиновой кислоте (сахар в РНК – рибоза, но одна из азотсодержащих основ другая). Меняется всего одна буква. Вместо Т – У (урацил). То есть ДНК типа ГЦЦЦААТГГ соответствует РНК ГЦЦЦААУГГ.

Вход
Поиск по сайту
Ищем:
Календарь