Онлайн книга «Малая энциклопедия трейдера»
|
Ключевыми принципами, на которых строится система O/T, являются следующие предположения: если мы видим тренд, это не значит, что этот тренд продолжится дальше; на сильном тренде первый сигнал осцилляторов обязательно будет преждевременным, поэтому необходимо дождаться второго сигнала; сигналы осцилляторов поступают реже, но они сильнее, чем тренд, хотя и краткосрочнее; сигналы осцилляторов и трендов подтверждаются системой только при их одновременном поступлении на трех разных временных промежутках (5, 10 и 15 минут). Процесс анализа динамики рыночных котировок в торговой системе O/T происходит следующим образом. Во-первых, определяется направление действующего краткосрочного тренда. Здесь важно помнить, что большинство сигналов краткосрочных трендов поступают поздно. Поэтому простой линейной экстраполяции — сейчас было повышение, значит, позже будет рост — не получится. Для решения этой задачи используется метод скользящих средних и описанного выше трендового индикатора Канат. Во-вторых, производится квалификация состояния рынка. Рынок может находиться в пяти различных фазах — бычий тренд, медвежий тренд, перекупленность, перепроданность или неопределенность. Осцилляторы (в программе используются три индикатора — RSI, Momentum, Stochastic) достаточно точно определят состояния перекупленности и перепроданности на рынке. Результатом работы механической торговой системы будут следующие сигналы — buy, sell и 0, последний соответствует отсутствию значимых сигналов. Каждому сигналу присваивается вероятность его исполнения. Эта величина несет информацию о силе подаваемого сигнала. Благодаря этому каждый трейдер получает возможность самостоятельно установить границы реакции МТС на поступающие сигналы. Так, трейдер, склонный к риску, поставит как можно более высокую чувствительность системы O/T на подаваемые ею сигналы, а более осторожный — понизит границу реакции МТС как можно больше. Естественно, высокие значения силы подаваемых сигналов бывают очень редко, но они более качественны и надежны. Агрессивный трейдер может попытаться действовать на основании каждого сигнала, что неизбежно увеличит количество убыточных сделок. В помощь трейдеру система O/T показывает также цель движения цены (ЦЦ — Target Price). ЦЦ рассчитывается по нормативным значениям осцилляторов, соответствующим для RSI и Stochastic, равных 50, а для Momentum — 0. Здесь используется гипотеза о том, что возврат осциллятора к своему среднему значению соответствует «нормальному» значению цены. Если подан сигнал покупки и ЦЦ заметно выше, чем текущая цена, то покупайте с закрытием позиции на уровне ЦЦ. Если на сигнале покупки ЦЦ находится ниже, чем текущая цена, то следует покупать по цене, максимально приближенной к ЦЦ. Если подан сигнал продажи и ЦЦ значимо ниже, чем текущая цена, то продавайте с закрытием позиции на уровне ЦЦ. Если на сигнале продажи ЦЦ находится выше, чем текущая цена, то рекомендуется совершить сделку по цене, максимально приближенной к ЦЦ. А теперь рассмотрим математику расчетов в системе O/T. Сигналы осцилляторов, определяющие качественное состояние рынка считаются определяющими только при одновременном их поступлении ото всех трех рассматриваемых индикаторов на всех трех временных промежутках времени — правило «3×3». Тем самым снижается риск преждевременности сигнала, его краткосрочности и случайности. Основным назначением сигналов трендовых индикаторов является определение действующей динамики цены в период отсутствия сигналов осцилляторов. Как правило, на сильном движении цены сигналы тренда будут противоречить сигналам осцилляторов. В программе заложен приоритет сигналов осцилляторов, так как они подаются после подъема или падения цены в анализируемый промежуток времени на заранее определенную величину. Практика показывает, что после поступления сигналов осцилляторов либо движение тренда приостанавливается (как правило, на 15–30 минут), либо рынок корректируется. Покупка/продажа в продолжение тренда будет в этот период нежелательна. По прошествии некоторого времени, когда рынок привыкнет к новому уровню цен, движение может продолжиться, и появится возможность сыграть по тренду. Но этого может и не быть. Диалоговое окно МТС O/T показано в табл. 2.17. Таблица 1.17. Диалоговое окно МТС O/T
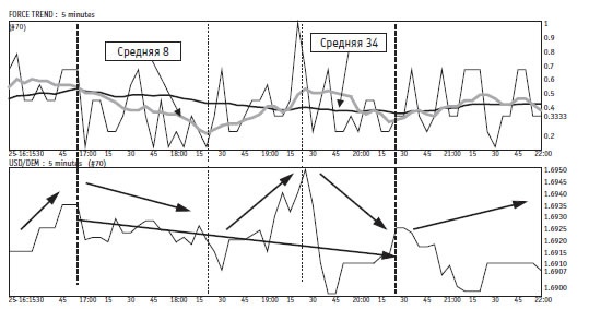
Здесь представлены девять курсовых соотношений — четыре основные валютные пары и пять кросс-курсов. В двух колонках под заголовком «TREND» отображаются результаты расчетов программы O/T — направление тренда и его сила. В следующих трех колонках под заголовком «OSCILLATOR» показаны результаты расчета осцилляторов — подаваемый сигнал (UP или DOWN — вверх или вниз соответственно), его сила (FORCE) и цель движения по осциллятору (GOAL). Заключительными и самыми интересными будут последние две колонки под заголовком «RECOMMENDATION» — рекомендации покупки или продажи для соответствующей валюты (BUY или SELL) и сила (вероятность положительного исхода рекомендаций). Следует отметить, что все рекомендации проверяются на соответствие текущих котировок курса значению цели движения цены по осциллятору. Внизу находится результирующая строка, показывающая из множества рекомендаций самую сильную и наиболее вероятную для получения прибыли. По результатам практической проверки МТС O/T можно отметить следующие моменты: сигналы осцилляторов надежнее, поэтому имеют приоритет над сигналами трендов; сигналы трендов имеют потенциал опаздывать, поэтому их использование рекомендуется в сочетании с ЦЦ, как это было описано ранее; успешность сигналов осцилляторов колеблется в интервале от 80 до 95% в зависимости от силы долгосрочного дневного тренда; вероятность исполнения сигналов трендов в силу своей частоты колеблется от 55 до 75%; поданный осциллятором сигнал на покупку (продажу) принимается к рекомендации только при наличии отрицательной (положительной) разницы между текущей ценой и целью движения цены по осциллятору (как правило, принимается от 10 до 20 пунктов). Эта разница дает нам основание надеяться на получение аналогичной прибыли; поданный трендом сигнал на покупку (продажу) принимается к рекомендации только при наличии положительной (отрицательной) разницы между текущей ценой и целью движения цены по осциллятору. На рис. 2.144–2.146 представлено графическое воспроизведение основных сигналов программы O/T — сила тренда, цель цены, сила осциллятора. ![]() Рис. 2.144. Сила тренда ![]() |
![Иллюстрация к книге — Малая энциклопедия трейдера [img_320.jpg] Иллюстрация к книге — Малая энциклопедия трейдера [img_320.jpg]](img/book_covers/086/86554/img_320.jpg)
![Иллюстрация к книге — Малая энциклопедия трейдера [img_321.jpg] Иллюстрация к книге — Малая энциклопедия трейдера [img_321.jpg]](img/book_covers/086/86554/img_321.jpg)
![Иллюстрация к книге — Малая энциклопедия трейдера [img_322.jpg] Иллюстрация к книге — Малая энциклопедия трейдера [img_322.jpg]](img/book_covers/086/86554/img_322.jpg)