Онлайн книга «Малая энциклопедия трейдера»
|
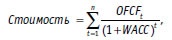
DCF-анализ — более сложная модификация оценки на основе дисконтированной прибыли. Пожалуй, это лучший на сегодня метод оценки стоимости акций. И хотя он также не гарантирует абсолютной точности, а тем более прибыли, при правильном применении он неплохо предсказывает будущее котировок конкретных акций на основе сравнения справедливой стоимости с рыночной ценой. Мы не будем подробно останавливаться на этом методе, так как для качественного проведения оценки (а тут нужно действовать либо качественно, либо никак) он требует от вас не только драгоценного времени, но и ряда нестандартных данных, которые достаточно сложно получить или интерпретировать. Так что если вы не хотите слишком углубляться в эти проблемы, то можете смело пропустить этот пункт. Однако обязательно возьмите на заметку, что все аналитики инвестиционных банков и компаний свои рекомендации по акциям основывают именно на DCF-анализе. И если не хотите оказаться безоружным в этой борьбе против акул бизнеса, вам надо знать их приемы и приемчики. Все-таки многие аналитики представляют селл-сайд (sell-side) сторону бизнеса: их задача распиарить акцию и продать. И вам часто будут представлять компанию с лучшей стороны, подчеркивая плюсы и прикрывая минусы. Если аналитик хочет преподнести компанию в лучшем свете, то он начинает играть цифрами в DCF-модели. Как? Да очень легко! Самый простой способ — это занизить WACC. Но к этому прибегают в крайнем случае, так как профессионалу неадекватный для конкретной страны, отрасли и компании уровень ставки дисконтирования сразу бросится в глаза. Итак, если вы все-таки согласились совершить над собой усилие, то пройдем краткий курс проведения DCF-анализа, которого будет вполне достаточно для практического использования. ![]() где OFCFt (Operating Free Cash Flow) — чистый денежный поток от операционной деятельности компании в период времени t; WACC (Weighted Average Cost of Capital) — средняя стоимость капитала, здесь используется в качестве ставки дисконтирования. OFCF рассчитывается следующим образом: ![]() где EBIT = чистая прибыль + финансовые затраты + налог на прибыль; TR (Tax Rate) — ставка налога на прибыль. Учитывается в расчетах WACC, если проценты по заемному капиталу исключаются из налогооблагаемой прибыли; D (Depreciation) — амортизация; CapEx (Capital Expenditures) — капитальные вложения/затраты; ΔWC (Change in Working Capital) — изменение рабочего капитала; ΔOA (Change in Other Assets) — изменение других активов. WACC определяется по формуле: ![]() где ΔE — удельный вес собственного капитала; ΔD — удельный вес заемного капитала; RF — безрисковая ставка государственного долга для страны, в которой находится бизнес-актив; CR — валютный риск, если валюта, в которой получена операционная прибыль от владения бизнес-активом, отличается от валюты, в которой считается RF; Pr — премия за риск владения активом (для акций, как правило, 7.5%); %D — стоимость заемного капитала для конкретного инвестора. Гораздо сложнее распознать завышенные уровни будущих денежных потоков — за счет заниженных капексов (капвложений) и игры с изменениями рабочего капитала и других активов. Особенно странно видеть, если амортизация оказывается больше капвложений, что указывает на закладываемое компанией или аналитиком недоинвестирование расширения своей деятельности. Также компании и аналитики любят завышать будущие показатели прибыли, особенно в долгосрочной перспективе. Итак, что же мы видим. Во-первых, у нас нет данных о планируемых компанией капитальных вложениях, и вряд ли они могут быть. Нам также весьма сложно прогнозировать изменения рабочего капитала и прочих активов. Прогноз прибыли и других финансовых показателей без глубокого знания и понимания компании и отрасли, в которой она работает, тоже весьма затруднителен. Так что оставим проведение DCF-анализа квалифицированным аналитикам. Но по крайней мере теперь у вас будет возможность их перепроверить. Например, если вы видите большие капвложения, следует запросить объяснение источников финансирования этих вложений. 1.6.4. Мультипликаторы Никакого отношения мультипликаторы к мультфильмам не имеют, но они очень полезны для проведения сравнительного анализа различных предприятий и выявления таким образом недооцененных и переоцененных акций. С одной стороны, в мультипликаторах используется рыночная цена, а с другой — различные финансовые или натуральные показатели. Инвестора в акции, как правило, интересуют: 1) прибыльные компании. От подобных компаний инвестор ожидает высокую рентабельность деятельности, намного выше среднерыночной. Прибыльные компании легче всего найти при помощи мультипликаторов, которые построены на основе различных показателей прибыли. Тем более что таких в семействе мультипликаторов большинство; 2) недооцененные компании. Обычно самые недооцененные компании продает государство в ходе приватизации. Также цена акций падает ниже их справедливой стоимости в периоды кризисов, локальных или глобальных. Инвесторы разбираются в причинах кризисов и в случае их устранения вступают в игру и скупают недооцененные акции. Как правило, компании из развивающихся стран являются недооцененными. Недооцененные компании можно найти при помощи мультипликаторов, построенных на основе натуральных показателей; 3) быстрорастущие компании. Инвестор ожидает от компании быстрого роста выручки, процентов на 30% в год и более, а также увеличения доли рынка или ее сохранения, если компания — единоличный лидер. На завершающей фазе роста быстрорастущая компания должна показать еще более быстрый рост прибыли — количество (доля рынка) переходит в качество (прибыль). Как правило, это компании «новой экономики». Быстрорастущие компании обычно выглядят дорогими по сравнению с прибыльными, поэтому мультипликаторы прибыли скорее будут мешать поиску подобных компаний, если, конечно же, не использовать их наоборот. Но я бы не рекомендовал поступать так. Гораздо эффективнее для поиска быстрорастущих компаний использовать не мультипликаторы, а данные о темпах роста основных финансовых показателей — в первую очередь чистого дохода и активов. При этом быстрорастущие компании, как правило, принадлежат к быстрорастущим секторам экономики. Если же вы видите подобную компанию в стагнирующем или хотя бы стабильном секторе, то не исключено, что она ведет неоправданно рискованную игру. |
![Иллюстрация к книге — Малая энциклопедия трейдера [img_63.jpg] Иллюстрация к книге — Малая энциклопедия трейдера [img_63.jpg]](img/book_covers/086/86554/img_63.jpg)
![Иллюстрация к книге — Малая энциклопедия трейдера [img_64.jpg] Иллюстрация к книге — Малая энциклопедия трейдера [img_64.jpg]](img/book_covers/086/86554/img_64.jpg)
![Иллюстрация к книге — Малая энциклопедия трейдера [img_65.jpg] Иллюстрация к книге — Малая энциклопедия трейдера [img_65.jpg]](img/book_covers/086/86554/img_65.jpg)