Книга Как оценить бизнес по аналогии: Пособие по использованию сравнительных рыночных коэффициентов, страница 23 – Елена Чиркова

Авторы: А Б В Г Д Е Ж З И Й К Л М Н О П Р С Т У Ф Х Ч Ш Ы Э Ю Я
Книги: А Б В Г Д Е Ж З И Й К Л М Н О П Р С Т У Ф Х Ц Ч Ш Щ Ы Э Ю Я
Бесплатная онлайн библиотека LoveRead.in

Онлайн книга «Как оценить бизнес по аналогии: Пособие по использованию сравнительных рыночных коэффициентов»

📃 Cтраница 23

Чистый денежный поток от операционной деятельности отличается от чистой прибыли на величину амортизации и изменений в оборотном капитале, влияющих на денежный поток. Этот показатель интересен не столько тем, что в нем не учтена амортизация (подобные показатели существуют: это проанализированные выше P/CE и EV/EBITDA), сколько корректировкой на изменения оборотного капитала, которая может быть весьма существенной. Такие факторы, как быстрый рост и финансирование новых потребностей в оборотном капитале для поддержания этого роста (увеличение запасов сырья и материалов и др.), сокращение оборачиваемости запасов, увеличение сроков предоплаты за сырье, предоставление покупателю отсрочки по оплате готовой продукции, вызывают уменьшение денежных потоков от операционной деятельности, и наоборот. Таким образом, отличительная особенность мультипликатора, построенного на основе чистого денежного потока от операционной деятельности, заключается в том, что он учитывает в оценке потребности в финансировании оборотного капитала и эффективность управления им у различных компаний.

В свою очередь, чистый денежный поток отличается от чистого денежного потока от операционной деятельности на величину капитальных вложений и денежных потоков от финансовой деятельности (привлечение или выплата кредитов, привлечение акционерного капитала, выпуск акций, выплата дивидендов и т. п.). Поправка на инвестиции крайне важна, так как именно она позволяет провести корректное сравнение двух схожих компаний, если они имеют одинаковую выручку и прибыль, но одна из них, допустим, обладает новыми производственными мощностями, а другая – старыми и нуждается в их замене.

Например, у одной нефтяной компании месторождения могут быть старыми и сильно выработанными, поэтому без капиталовложений в разработку новых месторождений неизбежно произойдет падение добычи, тогда как другая может добывать нефть на только что введенных в эксплуатацию месторождениях и увеличивать добычу без существенных дополнительных затрат.

С другой стороны, привлечение финансирования или обратные операции (погашение крупных инвестиционных кредитов, выкуп акций) не являются регулярными событиями в жизни компании, и, если такие события в данном году имели место и существенно повлияли на значения показателя, это означает, что он сильно отличается от стандартного (в типичный год) и вряд ли хорош для целей сравнения с показателями других компаний.

Два показателя – чистый денежный поток компании и чистый денежный поток акционеров – в каком-то смысле аналогичны показателям посленалоговой операционной прибыли NOPLAT и чистой прибыли. Первая показывает прибыль до вычета процентов, т. е. прибыль, из которой осуществляются выплаты и кредиторам, и акционерам, а вторая – прибыль после уплаты процентов, т. е. источник выплат исключительно акционерам. Точно так же в случае денежного потока компании речь идет о чистом денежном потоке без учета расчетов по кредитам, тогда как в случае денежного потока акционеров – о той сумме денежного потока, которая остается после расчетов с кредиторами, т. е. после выплаты процентов и погашения основной суммы долга (!). Использование для построения мультипликатора чистого денежного потока компании в целом нивелирует разницу в источниках финансирования сравниваемых компаний (долг или акционерный капитал), так как позволяет сравнивать компании, как если бы 100 % финансирования осуществлялось за счет акционерного капитала. Второй показатель не обладает этим преимуществом, однако его знаменатель точнее отражает доходы, на которые могут претендовать акционеры компании. В этом смысле с ним может конкурировать только один мультипликатор, который мы рассмотрим в следующем разделе.

Между финансовыми аналитиками существуют расхождения во взглядах, в каком размере нужно вычитать капиталовложения для расчета чистого денежного потока. Одни вычитают все инвестиции компании. Другие – только капиталовложения для поддержания существующего бизнеса, игнорируя при этом капиталовложения для роста. Объяснение простое: если уж речь зашла о капиталовложениях для роста, то для оценки такой компании лучше всего использовать модель дисконтированных денежных потоков, ибо очень трудно сравнивать компании с разными инвестиционными программами в растущий или новый бизнес на основе статичных мультипликаторов. Я с этим полностью согласна, вопрос только в том, всегда ли аналитику удается выделить из общих капиталовложений те, которые идут на поддержание существующего бизнеса, на основе публичной информации.

5.6. Мультипликатор «цена/дивиденды»

Мультипликатор «цена/дивиденды» (Price/Dividends – P/DIV [51]) используется для так называемых дивидендных акций. Как правило, это акции крупных компаний со стабилизировавшимися операционными и финансовыми показателями [52], регулярно выплачивающих дивиденды. Дивидендные акции по-английски называют еще стоимостными (value), в противоположность акциям быстрорастущих компаний (growth stocks).

Основная критика показателя P/DIV сводится к тому, что доходы инвестора в акции формируются не только за счет дивидендных выплат, но и благодаря росту их курсовой стоимости. Чем выше текущие дивиденды, тем меньше средств остается для финансирования инвестиционных проектов и тем медленнее будут расти прибыль и дивиденды в будущем, и наоборот. Иными словами, высокие дивиденды текущего года не обязательно должны означать более высокую оценку акций. В среднем на длительном временном интервале зрелая компания выплачивает в виде дивидендов определенный (более или менее фиксированный) процент чистой прибыли. Усредненные дивидендные выплаты можно взять за основу для расчета стоимости компании. Именно поэтому использование показателя P/DIV представляется наиболее корректным для компаний, у которых бизнес стабилен и дивидендные выплаты тоже стабилизировались. Я говорю о плюсах и минусах показателя P/DIV в первом разделе главы 11, см. подробности там.

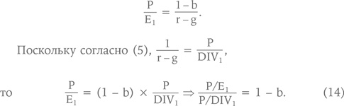
Сейчас же посмотрим, как связаны между собой мультипликаторы Р/Е и Р/DIV. Вспомним, что согласно формуле (6)

Иллюстрация к книге — Как оценить бизнес по аналогии: Пособие по использованию сравнительных рыночных коэффициентов [i_025.jpg]

Таким образом, если каждый год 50 % чистой прибыли выплачивается в виде дивидендов, то P/E будет в два раза ниже, чем P/DIV. Формулу Гордона можно трансформировать и для случая, когда ожидается, что первые n лет компания будет находиться в фазе быстрого роста, при этом темпы роста прибыли составят g0 и будут выплачиваться относительно низкие дивиденды DIV0, так как прибыль будет направляться на финансирование роста. Затем темпы роста замедлятся до gn < g0, а дивиденды увеличатся до DIVn > DIV0. В этом случае формула Гордона примет следующий вид:

Вход
Поиск по сайту
Ищем:
Календарь