Книга Сделай сам. Все виды работ для домашнего мастера, страница 33 – Майкл Эдвардс

Авторы: А Б В Г Д Е Ж З И Й К Л М Н О П Р С Т У Ф Х Ч Ш Ы Э Ю Я
Книги: А Б В Г Д Е Ж З И Й К Л М Н О П Р С Т У Ф Х Ц Ч Ш Щ Ы Э Ю Я
Бесплатная онлайн библиотека LoveRead.in

Онлайн книга «Сделай сам. Все виды работ для домашнего мастера»

📃 Cтраница 33

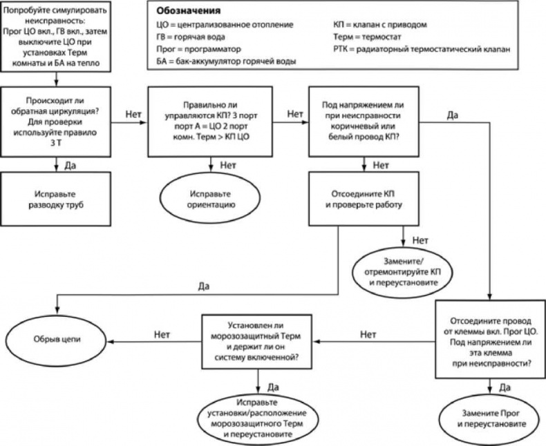
Программаторы и таймеры совместно с оснащенными собственными приводами клапанами и насосами направляют воду в те места, где она нужна, и целью всего этого является эффективность. Однако поскольку в системе централизованного отопления так много движущихся частей, что-то всегда может пойти — и часто идет — не так.

Иллюстрация к книге — Сделай сам. Все виды работ для домашнего мастера [i_048.jpg]

Рис. 8.5. Нет нагрева.

Иллюстрация к книге — Сделай сам. Все виды работ для домашнего мастера [i_049.jpg]

Рис. 8.6. Нет горячей воды.

Иллюстрация к книге — Сделай сам. Все виды работ для домашнего мастера [i_050.jpg]

Рис. 8.7. Горячая вода слишком горячая.

Иллюстрация к книге — Сделай сам. Все виды работ для домашнего мастера [i_051.jpg]

Рис. 8.8. Отопление работает слишком сильно.

Иллюстрация к книге — Сделай сам. Все виды работ для домашнего мастера [i_052.jpg]

Рис. 8.9. Горячая вода есть, когда она не требуется.

Иллюстрация к книге — Сделай сам. Все виды работ для домашнего мастера [i_053.jpg]

Рис. 8.10. Отопление есть, когда оно не требуется..


Даже если возможно определить неисправность по схемам на следующих страницах, может быть, и не стоит заниматься ремонтом самостоятельно. Однако диагностика очень часто бывает дорогой услугой от теплотехников, поэтому вы можете сэкономить приличную сумму.

Более подробный анализ неисправностей систем отопления и бойлеров, которые может определить, если уж не исправить, домашний мастер, можно найти в Интернете на специализированных сайтах на тему «Сделай сам».

На заметку

При сгибе трубы малого диаметра более чем на 100° используйте трубогиб, так как труба может легко получить излом.

Как мне согнуть медную трубу?

Все, кто пробовал это сделать, знают, что, когда вы пытаетесь согнуть трубу, она как бы складывается и сламывается внутрь. Этого можно избежать, если через трубу пропустить специальную трубогибную пружину. Такие пружины есть в продаже, и они позволяют гнуть трубы без изломов. После изгиба трубы пружина просто вынимается из нее.

Канализация

Есть два типа домашней сточной канализации — системы отвода загрязненных вод. Система отвода сточных вод из дома удаляет засоренные нечистотами воды из туалета, биде, ванны, раковины, мойки, посудомоечной машины и душа. Отвод поверхностных вод имеет дело с дождевой водой на вашем участке. В старых домах поверхностные воды часто заводятся в сточные воды дома. Но сточные воды дома никогда не направляются в дождевую канализацию.

Ключевой момент

Полный набор гибких стержней для прочистки канализации и защитную одежду можно брать напрокат.

Совет: подземные трубы

Все подземные канализационные трубы для отвода вод должны быть коричневого цвета, чтобы отличать их от других подземных труб.

Система отвода сточных вод

Когда производится спуск воды в туалете или слив воды из раковины и т. и., она сначала проходит через «сифон», который обычно имеет форму положенной на бок «Р» или «8». Такой сифон (водяной затвор) удерживает воду в изгибе «Р» или «8». Под некоторыми раковинами или поддонами душа ставят специальные сифоны, которые внешне не имеют такой формы, но их внутренняя конструкция служит той же цели. Цель таких водяных затворов — не выпускать вредные газы из канализации. Вода, находящаяся в Ц-изгибе сифона, не выпускает эти газы.

Как видно на рис. 8.11, при смыве туалета вода и нечистоты из унитаза «проталкиваются» напором через изгиб в трубу, которая выводит их через стену здания в магистральный канализационный коллектор. Эта труба называется стояком хозяйственно-фекальной канализации с вентиляционной частью. «Вентиляционная часть» в названии говорит о том, что труба выполняет две функции: как выпуск отходов, так и вывод — при содействии водяного затвора — вредных/зловонных газов вверх за пределы крыши. Все водяные затворы работают по этому принципу.

Иллюстрация к книге — Сделай сам. Все виды работ для домашнего мастера [i_054.jpg]

Рис. 8.11. Сантехника туалета.


Почему труба из туалета проходит через крышу?

Выпускные трубы туалета в доме выводят разные реально дурно пахнущие вещи! Эти запахи являются газами, и если им позволить как-то накапливаться под давлением, то это очень опасно. Поэтому газам нужно дать выход. Главная труба в туалете называется стояком хозяйственно-фекальной канализации с вентиляционной частью (стояк). Она выводит сточные воды и позволяет газам уходить выше всех окон вашего дома.

Когда стоки покинули ваш дом, они попадают в смотровой колодец, где могут подсоединяться другие трубы. Эти трубы могут выходить из других стоков вашего дома или из других соседних домов. Смотровые колодцы (камеры) устраиваются там, где соединяются две или более труб, а также где одна труба меняет направление. Это делается потому, что именно в этих местах наиболее вероятны засоры. Смотровые люки обеспечивают доступ к камере.

Ключевой момент

Ни в коем случае не спускайтесь в смотровой колодец без страхующего напарника наверху. Из-за испарений можно потерять сознание. Если вы спускаетесь в смотровой колодец, надевайте дыхательное оборудование.

Стояк также может на своем пути «собирать» трубы с других стоков, таких, как раковины и души. Эти выпускные трубы через просверленное в стояке отверстие присоединяются к нему посредством накладного патрубка. Накладной патрубок позволяет изолировать соединение с помощью резиновой прокладки. Такой патрубок легко устанавливается и является очень полезным сантехническим фитингом (переходником) для того домашнего мастера, который занимается оборудованием нового санузла или душа.

Иллюстрация к книге — Сделай сам. Все виды работ для домашнего мастера [i_055.jpg]

Рис. 8.12. Накладной патрубок.

Вход
Поиск по сайту
Ищем:
Календарь