Книга Как победить бессонницу? Здоровый сон за 6 недель, страница 11 – София Черкасова

Авторы: А Б В Г Д Е Ж З И Й К Л М Н О П Р С Т У Ф Х Ч Ш Ы Э Ю Я
Книги: А Б В Г Д Е Ж З И Й К Л М Н О П Р С Т У Ф Х Ц Ч Ш Щ Ы Э Ю Я
Бесплатная онлайн библиотека LoveRead.in

Онлайн книга «Как победить бессонницу? Здоровый сон за 6 недель»

📃 Cтраница 11

И ещё одна стартовая задача. Программа когнитивно-поведенческой терапии бессонницы — это не лечение в привычном понимании слова, а скорее тренинг: обучение тому, как хорошо спать. Во время любого обучения всегда оцениваются исходные точки, с которых начинается работа. Это позволяет объективно увидеть изменения, прогресс. Вы тоже будете это делать, заполняя дневник сна каждый день на протяжении программы. На этой неделе мы обучим вас ведению дневника сна — и вы начнёте его вести.

Пока это всё. Первая неделя определённо дастся вам очень легко!

Физиология сна
Как устроен сон?

На первый взгляд сон — состояние пассивное. С некоторого расстояния даже нельзя понять, жив спящий человек или нет. Однако на самом деле сон — это очень динамичный, сложный и строго структурированный процесс.

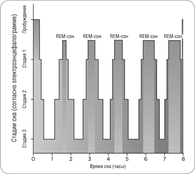
На протяжении ночи мы преодолеваем 4–6 циклов сна, каждый длительностью около полутора часов. Цикл представляет собой постоянную последовательность стадий:

первая стадия медленного сна — кратковременное состояние дрёмы, очень поверхностный сон. Если разбудить человека в этот период, он, как правило, говорит, что ещё не спал;

вторая стадия медленного сна — так называемая базовая стадия, которая обычно занимает половину продолжительности цикла;

третья стадия медленного сна — глубокий сон, или дельта-сон. Называется так за счёт большого количества дельта-волн, отмечающихся на электроэнцефалограмме в этот период. Раньше дельта-сон разделялся на третью и четвёртую стадии, но сейчас их объединили в одну за счёт общей функции. Именно во время глубокого медленного сна происходят основные процессы восстановления физических ресурсов организма, секреция важных гормонов. В этой фазе отмечается максимальное расслабление мускулатуры, замедление сердечного ритма и снижение артериального давления;

REM-сон (rapid eye movement) — сон с быстрыми движениями глаз. Эта стадия сопровождается движениями глаз под закрытыми веками и появлением сновидений. Мозг активно перерабатывает накопившуюся за день информацию, анализирует и сортирует её: важное запоминает, второстепенное забывает. Недаром говорят, что утро вечера мудренее. В эту стадию формируется долговременная память и происходит адаптация человека к окружающей среде. Так как мозг активно работает, то в REM-фазе развивается «вегетативная буря»: учащается дыхание и сердцебиение, повышается артериальное давление.

На протяжении ночного сна мозг последовательно проходит все стадии цикла, затем пробуждается на короткое время (здоровый человек эти пробуждения, как правило, не запоминает), и наступает следующий цикл.

Иллюстрация к книге — Как победить бессонницу? Здоровый сон за 6 недель [i_013.jpg]

Смена стадий и циклов сна


Интересно, что в первой половине ночи более длительны стадии медленного сна, отвечающие за физические ресурсы организма, а во второй части удлиняется быстрый сон, выполняющий информационную функцию. То есть сначала организм восстанавливает самое необходимое — обеспечивает нашу биологическую возможность существовать на следующий день. А «второстепенными» для жизнедеятельности вещами — памятью, эмоциональным состоянием — занимается потом. Кстати, это уже отсылка к основной теме этой книги — бессоннице. Когда человеку не хватает сна, эмоциональное состояние страдает гораздо больше, чем физическое. Почему? Даже недосыпая, физические ресурсы организм худо-бедно успевает восполнить, а вот память, эмоции, работоспособность в норму привести уже не удаётся. Поэтому сама по себе бессонница не так страшна, как кажется… Мы ещё вернемся к разговору об этом.

Зачем мы спим?

Ни одно млекопитающее, в том числе человек, не способно обходиться без сна. При нашем уровне организации нервной системы мы просто не можем эксплуатировать её бесконечно, да и весь организм нуждается в периодической «перезагрузке». Сон восстанавливает наши физические ресурсы и выполняет информационную функцию (отвечает за память, высшую нервную деятельность).

Мозг в это время проводит важную работу, а иногда (в период REM-сна) он даже находится в ещё более активном состоянии, чем при бодрствовании. Он, если можно так выразиться, вообще никогда не спит: просто днём и ночью занимается разными видами деятельности.

Если днём мозг воспринимает внешние раздражители и реагирует на них, то ночью он переключается на внутреннюю работу. При этом происходит:

• сканирование всех органов на предмет нарушения их функций;

• восстановление поврежденных тканей, клеток и их частей;

• «подзарядка» и подготовка к использованию источников энергии;

• активация процессов синтеза, анаболизма в организме;

• сортировка воспоминаний и консолидация памяти (пополнение копилки долговременной памяти основными событиями прошедшего дня и избавление от второстепенных);

• закрепление приобретённых физических и умственных навыков и умений;

• активация иммунитета;

• «чистка» эмоционального фона, обновление восприятия действительности;

• создание новых связей между нейронами головного мозга, что необходимо для полноценных функций психики и нервной деятельности.

Этот перечень очень грубо отражает основные задачи сна: на самом деле во сне происходят тысячи процессов, нехарактерных для периода бодрствования. Не вполне понятно, почему именно во сне стимулируется выделение некоторых гормонов, отчего ночью pH организма смещается в сторону более кислых значений или по какой причине только в состоянии медленного сна сам головной мозг очищается от большей части продуктов жизнедеятельности.

Одно несомненно: если не давать человеку нормально спать, это со временем вызывает многочисленные нарушения здоровья, а полное лишение сна может угрожать жизни. Заменить сон ничем нельзя, он жизненно необходим.

Сон должен быть полноценным

Чтобы человек хорошо себя чувствовал и ощущал полное удовлетворение сном, сон должен быть достаточной продолжительности и достаточного качества. Только в этом случае реализуются все его функции. Бессонница, вынужденное недосыпание и «модный» в настоящее время полифазный сон — всё это ситуации, которые вызывают плохое самочувствие и проблемы со здоровьем.

Сколько надо спать?

Потребность во сне — индивидуальная, генетически определённая величина, как рост или размер ноги. Она «предсказана» каждому человеку ещё до рождения. По достижении взрослого возраста потребность во сне устанавливается на довольно стабильном значении, которое сохраняется почти неизменным на протяжении дальнейшей жизни.

Национальный фонд сна США даёт следующие средние величины возрастных норм сна:

Вход
Поиск по сайту
Ищем:
Календарь