Книга Почему небо темное. Как устроена Вселенная, страница 30 – Владимир Решетников

Авторы: А Б В Г Д Е Ж З И Й К Л М Н О П Р С Т У Ф Х Ч Ш Ы Э Ю Я
Книги: А Б В Г Д Е Ж З И Й К Л М Н О П Р С Т У Ф Х Ц Ч Ш Щ Ы Э Ю Я
Бесплатная онлайн библиотека LoveRead.in

Онлайн книга «Почему небо темное. Как устроена Вселенная»

📃 Cтраница 30

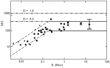
Теперь обсудим, сколько небарионного вещества во Вселенной. На рис. 36 суммированы результаты измерения отношения масса — светимость для галактик и их систем в зависимости от размера системы. На самых больших масштабах масса оценена на основе анализа крупномасштабных движений галактик, индуцированных гравитационным влиянием скоплений и сверхскоплений галактик, на меньших масштабах использованы динамические, а также найденные по наблюдениям горячего газа оценки масс скоплений и групп. На рисунке видно, что масса, приходящаяся на единицу светимости, сначала растет, а затем на масштабах ≥ 102 кпк выходит на плато. Выход на плато означает, что при увеличении масштаба усреднения во Вселенной не появляется значительного количества дополнительной скрытой массы.


Иллюстрация к книге — Почему небо темное. Как устроена Вселенная [i_041.jpg]

Рис. 36. Зависимость отношения масса-светимость в голубом фильтре от масштаба (Бакал 2000)

Эти (рис. 36), а также другие подобные данные привели в 1990-х годах к выводу, что полная плотность массы вещества Вселенной составляет примерно 20–30 % от значения критической плотности. Но, как мы только что выяснили, барионного вещества во Вселенной всего лишь около 4.5 %. Следовательно, то, что дополняет плотность барионов до Ω ~ 0.2–0.3, — это небарионная скрытая масса, которой должно быть примерно в 5 раз больше, чем обычного вещества. Таким образом, используя разные методы и подходы, мы получили, что в нашей Вселенной очень много темной материи. Эта материя неоднородна — есть барионная скрытая масса, о природе которой можно строить вполне определенные предположения, но еще больше небарионной, о которой мало что известно. Однако мало — не значит ничего. Частицы небарионной темной материи сейчас очень активно ищут, строят наземные экспериментальные установки, проводят космические эксперименты. Дело в том, что свойствами таких частиц (они должны быть относительно массивными и слабо взаимодействовать с барионами) обладают гипотетические элементарные частицы, появляющиеся в некоторых расширениях Стандартной модели. Один из самых популярных кандидатов в частицы темной материи так и называется — слабовзаимодействующие массивные частицы или WIMPs (weakly interacting massive particles). Открытие частиц темной материи станет одним из наиболее громких и ожидаемых открытий начала XXI века.

2.6. Расширение с ускорением

Астрофизика напоминает следствие по делу, в котором все улики лишь косвенные.

Станислав Лем

В 1990-х годах сложилась довольно странная картина — хорошо видимые всем звезды оказались лишь небольшим «придатком» к таинственной скрытой массе, дающей основной вклад в плотность Вселенной, а полная, наблюдаемая по ее гравитационному влиянию, плотность вещества Вселенной (Ω = 0.2–0.3) в несколько раз меньше критической плотности. Однако обнаруженные примерно в это же время флуктуации реликтового излучения свидетельствовали, что полная плотность Вселенной должна быть близка к критической, то есть Ω = 1 (раздел 2.4). Еще одна парадоксальная вещь — возраст Вселенной для Ω = 0.2–0.3 получался равным примерно 11–12 млрд лет, что вступало в противоречие с возрастом старейших объектов нашей Галактики (например, шаровых скоплений).

Низкая наблюдаемая плотность Вселенной противоречила и взглядам многих теоретиков-космологов, активно развивающих представление об инфляции — особой стадии ранней эволюции Вселенной, в ходе которой она чрезвычайно быстро (за время ~10-34 с) и сильно (в ~1043 раз) расширилась. По окончании инфляции Вселенная разогрелась до очень высокой температуры, после чего наступила эпоха горячего Большого взрыва. Инфляция позволяла решить ряд проблем стандартной фридмановской космологии и, кроме того, она предсказывала, что средняя плотность Вселенной с большой точностью должна быть равна критической. Когда Алан Гут — один из создателей теории инфляции — узнал, что наблюдения свидетельствуют об Ω = 0.2–0.3, он заявил, что рано или поздно все устаканится и наблюдатели обязательно получат Ω = 1.

Каков же выход из этой ситуации? Что же пропущено во Вселенной? Из наблюдений было ясно, что это что-то не скучивается на масштабах скоплений галактик и ниже, иначе оно, подобно темной материи, было бы обнаружено по своему гравитационному влиянию. Значит, это что-то не является темной материей, и, с другой стороны, чтобы добрать плотность Вселенной до Ω = 1, этого что-то должно быть очень много — больше, чем темной материи и, естественно, гораздо больше, чем барионного вещества.

Если оглянуться на историю космологии, еще в 1917 году Эйнштейн через обобщение уравнений ОТО ввел во Вселенную некую новую сущность (раздел 2.1). Речь идет о его Λ-члене или о космологической постоянной, введение которой было равносильно признанию существования во Вселенной среды, создающей не притяжение, а отталкивание. Эта среда обладает энергией и плотностью и в принципе может давать заметный вклад в полную плотность Вселенной. Сам Эйнштейн, узнав о результатах Фридмана и Хаббла, от этого обобщения своих уравнений гравитации отказался, признав его, по свидетельству Гамова, своей самой большой ошибкой. (Вспомним, что он ввел этот член лишь для того, чтобы сделать свою модель Вселенной стационарной.) Но, как это иногда бывает, даже ошибки гениев могут оказаться важными достижениями науки.

В 1990-х годах несколько ученых попытались реанимировать Λ-член. Впрочем, о нем никогда, по сути, и не забывали, но он в качестве своего рода курьеза оставался на периферии внимания физиков. В 1995 году американские астрофизики Иеремия Острайкер и Пол Стейнхардт проанализировали разнообразные наблюдательные факты о Вселенной — оценки ее плотности, возраста объектов, реликтовое излучение — и пришли к выводу, что все они согласуются с ненулевой космологической постоянной, вклад которой в плотность Вселенной ΩΛ = 0.65±0.1. Суммарная плотность Вселенной таким образом получается близкой к 1, что и требуется инфляцией и данными о реликтовом излучении. К относительно большой оценке величины космологической постоянной пришел на рубеже 1990-х годов и Стивен Вайнберг. Он воспользовался антропными соображениями (см. раздел 2.8) и заключил, что наблюдаемые свойства нашей Вселенной свидетельствуют о том, что вклад космологической постоянной может заметно превышать плотность обычной материи.

Были и другие исследователи, обсуждавшие возможность ненулевой космологической постоянной, но эти работы не привлекли в то время особого интереса. Тем большей неожиданностью для большинства физиков стало открытие в 1998 году двумя группами исследователей ускоренного расширения Вселенной, означавшего, что Λ > 0.

Формальная история этого открытия началась в 1988 году, когда под руководством Сола Перлмуттера (рис. 37) и Карла Пеннипакера в Национальной лаборатории Лоуренса в Беркли (США) была создана группа (ее сокращенное название SCP — Supernova Cosmology Project), основной целью которой было определение космологических параметров Вселенной по наблюдениям далеких сверхновых типа Ia (см. раздел 2.2) [24].

Вход
Поиск по сайту
Ищем:
Календарь