Онлайн книга «Почему небо темное. Как устроена Вселенная»
|
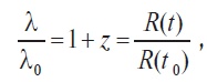
Рис. 25. Модель расширения Вселенной в виде раздувающегося воздушного шарика. При раздувании шара расстояния между галактиками увеличиваются, хотя сами галактики остаются неподвижными по отношению к сопутствующей, расширяющейся вместе с шариком, системе координат (вертикальные и горизонтальные линии на шарах). Размеры самих галактик также не меняются в ходе расширения Вселенной (рисунок из статьи Линевивера и Дэвис (2005)) Другая наглядная модель расширения Вселенной — это кусок обыкновенного теста с вкрапленными в него изюминками. По мере разбухания теста изюминки (галактики) начинают удаляться друг от друга, однако по отношению к окружающему тесту (пространству) изюминки никуда не двигаются. Отсутствует и центр расширения — если не рассматривать области вблизи границы куска, то «разбегание» изюминок можно обнаружить в каждой точке теста. По-другому представил себе расширяющуюся Вселенную американский художник Джосайя Мак-Илхени (рис. 26). В его скульптуре (!), вдохновленной беседами с известным космологом Девидом Вайнбергом, сам момент начала космологического расширения скрыт центральной алюминиевой сферой. Эта сфера изображает так называемую поверхность последнего рассеяния (см. следующий параграф), из которой в разных направлениях торчат стержни. Стержни — это не траектории частиц, это визуализация времени: длина стержней служит мерой времени, прошедшего после начала расширения. Стержни имеют разную длину, и их концах закреплены стеклянные диски, изображающие галактики и их скопления, а также лампочки (квазары). При продвижении от центра скульптуры к ее краям происходит эволюция свойств космических объектов — растут размеры галактик и скоплений, появляются эллиптические галактики (стеклянные шарики), яркость и частота встречаемости лампочек меняются в соответствии с наблюдаемой эволюцией свойств квазаров. Стоя возле этой скульптуры, можно читать лекции по космологии и эволюции галактик! ![]() Рис. 26. «An End to Modernity» — скульптура, иллюстрирующая эволюцию нашей Вселенной (©Мак-Илхени 2005). Photo courtesy the artist Collection Tate Modern, London, United Kingdom Вернемся снова к расширению Вселенной. При описании обычного взрыва мы можем говорить о скорости разлета его продуктов по отношению, например, к центру взрыва. В случае расширения Вселенной на больших — космологических — расстояниях понятия скорости и расстояния теряют свою однозначность, становятся модельно зависимыми. Поэтому для описания расширения астрономы используют величину, легко определяемую из наблюдений, — красное смещение (z) в спектрах галактик. ![]() Рис. 27. Формирование красного смещения (λ0 — длина волны, испущенная удаляющимся из-за расширения Вселенной источником; λ — длина волны этого же объекта при наблюдениях с Земли) В рамках стандартных представлений красное смещение возникает из-за расширения Вселенной — в процессе распространения в расширяющемся пространстве длины волн фотонов непрерывно растут (рис. 27). Этот рост пропорционален так называемому масштабному фактору R (t), который характеризует изменение со временем (t) пространственных расстоянии в однородно расширяющейся Вселенной: ![]() где R (t) — масштабный фактор в настоящую эпоху, а R (t0) — значение этого фактора в более раннюю эпоху t0, когда был испущен регистрируемый в настоящее время фотон. Несколько числовых примеров. Как видно из приведенной выше формулы, красному смещению, равному 1, соответствует отношение масштабных факторов, равное 2, что означает, что при z = 1 расстояния между несвязанными гравитационно объектами были в 2 раза меньше. Кроме того, длина волны излучения, распространяющегося от галактики с z = 1, увеличилась к настоящему времени в 2 раза. По сравнению с эпохой, когда z было равно 9, расстояния увеличились в 10 раз, в 10 раз увеличились и длины волн детектируемого на Земле излучения. Связь между временем и красным смещением нелинейная, и зависит от принятой модели Вселенной. Так, в рамках современных представлений нашей эпохе (z = 0) соответствует время после начала космологического расширения, равное примерно 14 млрд лет. Возраст Вселенной при z = 1 равен примерно 6 млрд лет, то есть нас от той эпохи отделяют почти 8 млрд лет. К z = 9 — примерно на этом красном смещении сейчас наблюдаются самые далекие галактики — Вселенная расширялась лишь около 500 млн лет. Раньше в научно-популярной литературе было принято характеризовать далекие квазары и галактики скоростью, с которой они удаляются от нас. Например, рассказывая об удаленном квазаре, авторы, чтобы поразить воображение читателя, писали, что он удаляется от нас со скоростью, составляющей 90 % скорости света. Для расчета скорости, как правило, использовали релятивистскую, то есть полученную в рамках специальной теории относительности, формулу для эффекта Доплера. Такой подход, конечно, не верен. Во-первых, эта формула применима лишь для отклонений от глобального космологического расширения (например, для описания пекулярных, вызванных взаимодействием друг с другом, скоростей галактик) и она не подходит для описания глобального расширения. В случае расширяющейся Вселенной связь между z и скоростью выражается более сложным образом, чем по формуле для эффекта Доплера. Во-вторых, как обычно считается, увеличение длин волн при космологическом расширении — это вообще не эффект Доплера в его классическом понимании. Остановлюсь на последнем утверждении чуть подробнее. Обычный, знакомый со школы, эффект Доплера — это изменение длины волны фотона, излученного источником, движущимся в обычном пространстве, в «жесткой» системе координат. При этом скорость фотона по отношению и к источнику излучения, и к наблюдателю равна скорости света и, кроме того, с испущенным фотоном по пути до наблюдателя ничего не происходит. В расширяющемся пространстве фотон движется со скоростью света относительно той точки, в которой он находится, но из-за глобального расширения каждая такая точка непрерывно удаляется от наблюдателя. Изменение длины волны фотона происходит непрерывно на протяжении всего пути до наблюдателя (рис. 27), так что итоговое красное смещение является кумулятивным эффектом. Можно, упрощая, сказать, что в обычном эффекте Доплера объекты перемещаются в пространстве, а при формировании космологического красного смещения объекты никуда не двигаются, а расширяется само пространство между ними, включая распространяющееся в нем излучение. В относительно небольших областях пространства, в которых расширение происходит с малыми относительными скоростями (Δz ≤ 0.1), связь космологического z и скорости совпадает с формулой для классического эффекта Доплера. Поэтому в астрономии и возникла отчасти неудачная традиция оперировать скоростями удаления галактик, что имеет смысл лишь для v << c, и для простоты говорить о красном смещении как об эффекте Доплера. Корректнее этот эффект называть, скажем, космологическим эффектом Доплера [15]. |
![Иллюстрация к книге — Почему небо темное. Как устроена Вселенная [i_030.jpg] Иллюстрация к книге — Почему небо темное. Как устроена Вселенная [i_030.jpg]](img/book_covers/084/84980/i_030.jpg)
![Иллюстрация к книге — Почему небо темное. Как устроена Вселенная [i_031.jpg] Иллюстрация к книге — Почему небо темное. Как устроена Вселенная [i_031.jpg]](img/book_covers/084/84980/i_031.jpg)
![Иллюстрация к книге — Почему небо темное. Как устроена Вселенная [i_032.jpg] Иллюстрация к книге — Почему небо темное. Как устроена Вселенная [i_032.jpg]](img/book_covers/084/84980/i_032.jpg)