Книга Код убеждения. Как нейромаркетинг повышает продажи, эффективность рекламных кампаний и конверсию сайта, страница 65 – Патрик Ренвуазе, Кристоф Морен

Авторы: А Б В Г Д Е Ж З И Й К Л М Н О П Р С Т У Ф Х Ч Ш Ы Э Ю Я
Книги: А Б В Г Д Е Ж З И Й К Л М Н О П Р С Т У Ф Х Ц Ч Ш Щ Ы Э Ю Я
Бесплатная онлайн библиотека LoveRead.in

Онлайн книга «Код убеждения. Как нейромаркетинг повышает продажи, эффективность рекламных кампаний и конверсию сайта»

📃 Cтраница 65

Когда между словами и тоном голоса возникает расхождение, слушатель начинает теряться [239]. Представьте, что один из ваших близких признается вам в любви громким и хриплым голосом. К чему мы ведем: чтобы передать грусть, используйте монотонный голос, а для демонстрации радости используйте более высокие тона.

Кроме того, обратите внимание, что в некоторых странах, таких как Япония или Филиппины, люди обращают еще больше внимания на тон, а не на смысл слов, чем мы в США [240]. Однако люди, не владеющие языком в достаточной степени, редко улавливают подобные тональные различия.


Использование правильного языка тела

Я говорю на двух языках: тела и английском.

Мэй Уэст

Как утверждает доктор Дэвид Гивенс, директор Центра по изучению невербальных коммуникаций, «когда мы говорим (или слушаем), наше внимание сосредоточено на словах, а не на языке тела. Однако наши мысли проявляются и там и там. Пока мы заняты сознательным обдумыванием нашей речи, бессознательное работает против нас».

Возьмем распространенный победный жест: вскинутые над головой руки. Маргарет Кинг, директор Центра культурных исследований в Филадельфии, утверждает: «Высоко поднятая рука выражает триумф, это очень древний жест. Я уверена, что он возник после удачной охоты, на которой удалось выследить и поймать добычу. Мы до сих пор используем язык тела, поскольку наш мозг давным-давно привык работать подобным образом, еще когда мы только становились людьми». По сути, наши жесты управляются первичным мозгом, поэтому неудивительно, что они являются обычной формой общения в животном мире.

Мимика

Американский язык жестов требует хорошей мимики.

Найл Ди Марко, американский актер

Пол Экман, о котором мы уже вкратце упоминали в этой книге, является общепризнанным специалистом по человеческим эмоциям и мимике: он описал более 8000 возможных лицевых выражений [241]. Экман также разработал систему для измерения испытываемых эмоций, которая основана на изменениях различных контрольных точек человеческого лица. Например, на рис. 8.31 показано счастье.

Иллюстрация к книге — Код убеждения. Как нейромаркетинг повышает продажи, эффективность рекламных кампаний и конверсию сайта [i_106.jpg]

Рис. 8.31. Кодирование мимики


Некоторые наши эмоции на самом деле относятся к микроэмоциям и появляются всего на 1/25 секунды. Эти выражения имеют большое значение, поскольку их невозможно скрыть – они выявляют эмоциональное состояние вашего слушателя, включая потенциальные тактики обмана. Экман показал, что улыбки меняют электромагнитную активность мозга [242]. По сути, эффект мимики настолько силен, что мозг всегда будет реагировать на движения бровей, век и челюстей, даже если перед вами будет стоять робот [243].

Во время попыток продемонстрировать связь первичного мозга и распознавания лиц Цао и Ли Чан выделили отдельные кластеры нейронов, которые срабатывают только на определенные лицевые параметры. Они обнаружили, что для распознавания лицевых выражений мозг задействует 205 нейронов из двух отдельных областей. Исследователи провели тест, в котором они показали обезьянам несколько изображений лиц, а затем воссоздали эти изображения при помощи декодирования паттернов импульсов среди нужных нейронов: получившиеся изображения были практически идентичны тем, которые демонстрировались приматам [244].

Это объясняет, почему приматы и люди настолько хорошо различают миллионы лиц, обходясь при этом меньшим количеством нейронов, требующихся для выполнения этой задачи.

Как надо использовать мимику

⇨ Отзеркаливайте все выражения, чтобы установить взаимопонимание с аудиторией… за исключением злости.

⇨ Улыбайтесь! Улыбайтесь естественно: специалисты называют это улыбкой Дюшена. Как утверждает Экман, основное различие между настоящей и фальшивой улыбкой заключается в расширении круговой мышцы глаза.

⇨ Расслабьте ваши лицевые мышцы (все 43). Во-первых, для того, чтобы улыбнуться, требуется меньше сокращений мышц, чем для того, чтобы нахмуриться, так что вы не перетрудитесь. Во-вторых, благодаря зеркальным нейронам в мозге вашей аудитории, вы сможете передать собравшимся свою улыбку, если будете улыбаться достаточно долго. Штрак, Мартин и Штеппер (1988) из Университета Мангейма (Германия) показали, что мимика человека влияет на его аффективную реакцию. Исследователи провели эксперименты, в которых они показывали людям мультфильмы и просили оценить, насколько им было смешно. Половине участников выдали карандаши и попросили зажать их между зубами, чтобы мышцы лица образовывали улыбку; как итог, участники, которых заставляли имитировать улыбку, посчитали мультфильм более смешным.

Как не надо использовать мимику

⇨ Избегайте фальшивых улыбок, поскольку первичный мозг ваших слушателей сразу определяет – зачастую бессознательно – ложный характер вашей эмоции и перестает вам доверять. Лучше не улыбаться совсем, чем провоцировать отрицательные реакции.

Специалисты по убеждению используют мышцы вокруг глаз и ограничивают движения скул, избегая фальшивых эмоций и создавая улыбку Дюшена. Тренируйтесь!

Рукопожатие

Нейробиологи из Института Вейцмана (Израиль) обнаружили, что человеческое рукопожатие служит средством для обмена социальными химическими сигналами между оппонентами. После рукопожатия люди часто подносят руку к области носа и нюхают ее. Этот жест является эволюционировавшей потребностью в информации о человеке, с которым произошел обмен рукопожатиями, пришедшей на смену социально неуместной процедуре обнюхивания [245].

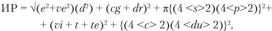
В 2010 году, в рамках новой кампании в Великобритании, компания Chevrolet обратилась к Джоффри Битти, профессору психологии, с просьбой определить лучшее рукопожатие: идеальное рукопожатие (ИР) для «убеждения и успокоения клиентов». Битти предложил следующую формулу:

Иллюстрация к книге — Код убеждения. Как нейромаркетинг повышает продажи, эффективность рекламных кампаний и конверсию сайта [i_107.jpg]

где:

(е) зрительный контакт (1 = нет; 5 = прямой);

(ve) вербальное приветствие (1 = абсолютно неприемлемое; 5 = полностью приемлемое);

(d) улыбка Дюшена – улыбка глазами и ртом плюс симметрия обеих сторон лица и медленное затухание (1 = абсолютно фальшивая улыбка; 5 = идеальная улыбка Дюшена);

(cg) полнота обхвата (1 = абсолютно неполный; 5 = полный);

(dr) сухость ладони (1 = влажная; 5 = сухая);

(s) сила (1 = слабо; 5 = сильно);

Вход
Поиск по сайту
Ищем:
Календарь