Книга Воспоминание о будущем, страница 81 – Михаил Хазин

Авторы: А Б В Г Д Е Ж З И Й К Л М Н О П Р С Т У Ф Х Ч Ш Ы Э Ю Я
Книги: А Б В Г Д Е Ж З И Й К Л М Н О П Р С Т У Ф Х Ц Ч Ш Щ Ы Э Ю Я
Бесплатная онлайн библиотека LoveRead.in

Онлайн книга «Воспоминание о будущем»

📃 Cтраница 81

Серьезный вклад в легенду о повышении производительности труда внесла и государственная статистика. В этом месте я на время прерву описание ситуации, сделанное в начале 2000-х годов, т. е. задолго до начала кризиса 2008 г., напомню, что в книге 2003 г. «Закат империи доллара и конец “Pax Americana”», из которой и взят этот отрывок, вопросу статистических искажений посвящена целая глава, поэтому здесь я его специально обсуждать не буду. Проблема, безусловно, имеет место, причем к настоящему моменту она только усилилась. Но уже в приведенном описании почти двадцатилетней давности подробно описываются моменты, которые показывают, как именно создавались структурные дисбалансы в ситуации подхода к четвертому ПЭК-кризису, в своей острой форме начавшемуся в 2008 г. А теперь вернемся к описанию 2002 г.

Все описанные выше эффекты не могли не привести к появлению серьезных структурных дисбалансов в экономике США. Поскольку поток инвестиций и кредитов был вполне реален, а прибыли оказались далеко не столь велики, как хотелось (в ряде отраслей новой экономики – отсутствовали вовсе), то встает вопрос о том, как созданный за последние 15 лет сектор новой экономики будет существовать не в тепличных, а реальных экономических условиях.

Так как переоценка новой экономики является одним из основных дисбалансов, приведших к спаду американские рынки, имеет смысл провести сопоставительный анализ входящих и выходящих потоков новой экономики. При этом под новой экономикой мы в этом исследовании имели в виду совокупность информационно-технических отраслей экономики США, а также оптовую и розничную торговлю (поскольку именно в ней к этому моменту информационные технологии сыграли наиболее яркую роль).

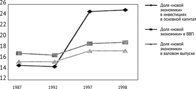
В качестве выходящих потоков можно рассмотреть вклад новой экономики в ВВП и в валовой выпуск, а в качестве потоков входящих – его долю в инвестициях в основной капитал. Следует обратить внимание на то, что долю новой экономики в ВВП и в валовом выпуске имеет смысл сравнивать именно с ее долей в инвестициях, а не в валовом производственном потреблении. Дело в том, что проекты, связанные с внедрением информационных технологий, требуют очень больших капиталовложений для своего запуска, и поэтому основная масса расходов на информационные технологии – это не текущее производственное потребление, а инвестиционные расходы, которые должны дать отдачу только по прошествии некоторого времени.

Для проведения данного анализа использовались данные межотраслевого баланса экономики США за 1987, 1992, 1997 и 1998 гг., а также ежегодные статистические данные по ВВП, валовому выпуску и инвестициям в основной капитал. Анализ межотраслевого баланса и анализ статистических данных неплохо дополняют друг друга. Данные межотраслевого баланса более адекватно передают интересующую нас информацию, поскольку они точно обозначают, какие ресурсы вложены в каждый вид продукции новой экономики, каков его объем в ВВП и в валовом выпуске. Данные статистических таблиц из системы национальных счетов отражают необходимую информацию менее адекватно, так как в них приводятся данные по всей отрасли, а не только по интересующей нас продукции, – однако из этих таблиц, в отличие от межотраслевого баланса, можно получить данные за каждый год и, таким образом, составить более полную картину динамики индикаторов доли новой экономики.

Примечание. С момента, когда были проведены указанные исследования, в США несколько раз изменилась методика статистического анализа и данные были пересмотрены назад, в соответствии с этими методиками. По этой причине повторить эти исследования, скорее всего, будет достаточно затруднительно.

Анализ данных межотраслевого баланса дает весьма интересные результаты. За 1987-1998 гг. доля инвестиций в продукцию новой экономики увеличилась в 1,68 раза, с 15 % до 25 % от общего объема государственных и частных инвестиций в основной капитал. В это же время доля аналогичной продукции в ВВП, рассчитанном методом конечного использования, увеличилась незначительно, с 17 % в 1987 г. до 19 % в 1998 г. (т. е. в 1,11 раза), также как и ее доля в валовом выпуске – с 16 до 18 % (в 1,13 раза) (рис. 33).

При более детальном рассмотрении становится видно, что увеличение общей доли инвестиций в продукцию новой экономики произошло главным образом за счет увеличения доли инвестиций в «компьютерные услуги и обработку данных» (Computer and data processing services). Сюда же относятся программирование и услуги компьютерных консультантов. Доля этого вида продукции в инвестициях увеличилась на 10,577 процентных пунктов – с 0,001 % в 1987 г. до 10,578 % в 1998 г. (для других видов продукции новой экономики изменения их долей в инвестициях не превышали ± 0,4 процентного пункта).

Иллюстрация к книге — Воспоминание о будущем [i_033.jpg]

Рис. 33. Доля «новой экономики» в инвестициях, ВВП и валовом выпуске (для «новой экономики» «исходящий» поток (выпуск) был значительно меньше «входящего» (инвестиции)). Рассчитано по данным межотраслевого баланса США


При этом доля продукции новой экономики в ВВП возросла на 1,92 процентных пунктов (с 17,29 % до 19,21 %) – причем снова в основном за счет увеличения доли компьютерных услуг и обработки данных (на 2,25 процентных пункта, с 0,24 % в 1987 г. до 2,49 % в 1998 г.). Аналогичная картина наблюдается при анализе изменения доли продукции новой экономики в валовом выпуске – она увеличилась с 1987 по 1998 гг. на 2,08 процентных пункта, в то время как доля компьютерных услуг и обработки данных увеличилась на 1,56 процентных пунктов.

Следует обратить внимание на то, что доля данного вида продукции в инвестициях составляла в 1998 г. более 10 %, в то время как его доля в ВВП и в валовом выпуске – на уровне 2 %. Похожая ситуация наблюдается для вида продукции «компьютеры и офисное оборудование» – в 1998 г. доля инвестиций в эту продукцию составляла 4,18 %, а доля в ВВП – 0,60 %. Однако для компьютеров и офисного оборудования такая ситуация наблюдалась еще в 1987 г., в то время как для компьютерных услуг и обработки данных она сложилась только в последние годы (т. е. в начале 90-х. – М. Х.).

Похожие результаты получились при аналогичной работе с ежегодными статистическими данными по ВВП, валовому выпуску и структуре инвестиций в основной капитал. Расчеты показывают, что с 1987 по 2000 гг. доля в ВВП отраслей, производящих информационно-технологические продукты и услуги, увеличилась в 1,1 раза – с 26,02 % в 1987 г. до 28,7 % в 2000 г.

Подобная же картина – с динамикой доли этих отраслей в валовом выпуске, которая увеличилась в 1,12 раз, с 24,55 % в 1987 г. до 27,52 % в 2000 г. А вот доля инвестиций в информационнотехнологическое оборудование и программное обеспечение в частных инвестициях в основной капитал увеличилась в 1,44 раза – в 1987 г. она составила 18,81 %, а в 2000 г. – 27,15 %.

Как и в анализе межотраслевого баланса, данные расчеты показывают, что изменение веса новой экономики происходит за счет программирования и различных компьютерных услуг. Доля в ВВП отрасли «деловые услуги» (куда входят обозначенные продукты) увеличилась в 1,89 раза, доля этой отрасли в валовом выпуске – в 2,08 раза, а доля инвестиций в программное обеспечение – в 2,56 раза.

Вход
Поиск по сайту
Ищем:
Календарь