Онлайн книга «Как работает мозг»
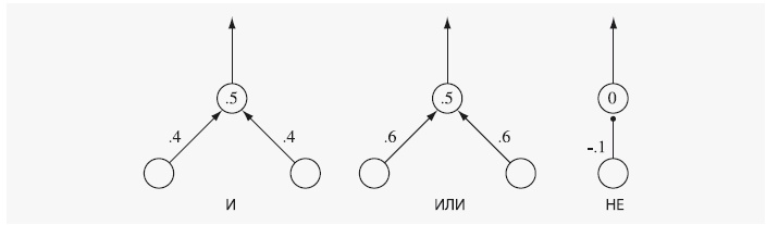
![]() Предположим, что каждый из модельных нейронов отображает простое суждение. Мини-сети можно соединить между собой таким образом, чтобы выход одной сети поступал на вход другой, с целью оценить истинность сложного суждения. Например, нейронная сеть может оценивать суждение {[(X жует жвачку) и (у X раздвоенные копыта)] или [(у X есть плавники) и (у X есть чешуя)]}, суммирующее признаки, которыми должно обладать животное, чтобы оно считалось кошерным. Собственно, если сеть модельных нейронов соединить с любым видом расширяемой памяти (например, с рулоном бумаги, над которой размещены штамп и ластик), то получится машина Тьюринга, полноценный компьютер. И все же абсолютно непрактичным было бы представлять суждения или даже составляющие их концепты в виде логических вентилей, независимо от того, из чего состоят эти логические вентили – из нейронов или из полупроводников. Проблема в том, что каждый концепт и каждое суждение в этом случае должно быть заранее встроенным в виде отдельного узла. На деле и компьютер и мозг представляют концепты в виде моделей действий, совершаемых над совокупностями единиц. Простой пример – скромный байт, который в каждом компьютере используется для репрезентации буквенноцифровых символов. Форма репрезентации буквы В – 01000010, где каждая цифра (бит) соответствует одному из крохотных кусочков кремния, выложенных в ряд. Второй и восьмой кусочек заряжены, что соответствует единицам, а остальные – не заряжены, что соответствует нулям. Построить байт можно и из модельных нейронов, при этом схема распознавания шаблона буквы В будет организована по принципу простой нейронной сети: ![]() Несложно представить, что эта сеть – одна из составляющих частей демона. Если нижний ряд модельных нейронов присоединить к краткосрочной памяти, то верхний нейрон будет определять, содержатся ли в краткосрочной памяти экземпляры символа В. А на странице 118 изображена сеть той части демона, которая записывает в память символ В [109]. Мы уже на пути к тому, чтобы создать из модельных нейронов условную цифровую вычислительную машину; но давайте немного отклонимся от курса и сделаем более биоморфный компьютер. Во-первых, мы можем сделать так, чтобы наши модельные нейроны следовали не классической логике, а нечеткой логике. Во многих сферах у людей нет однозначных убеждений касательно того, истинно данное суждение или ложно. Бывает так, что о предмете сложно сказать, принадлежит он к данной категории или нет, скорее можно говорить о том, что он более удачный или менее удачный пример данной категории. Возьмем категорию «овощи». Большинство людей согласятся с тем, что сельдерей – это полноценный овощ, а чеснок – не очень хороший пример. ![]() А если верить администрации президента Рейгана, пытавшейся оправдать урезанное финансирование школьного питания, овощем можно считать даже кетчуп (хотя после обрушившейся на эту программу критики администрация была вынуждена признать, что кетчуп – не очень хороший пример). На концептуальном уровне мы воздерживаемся от однозначных заявлений о том, является ли данный предмет овощем или нет, и предпочитаем говорить, что этот предмет – более удачный или менее удачный пример овоща. На механическом уровне мы уже не утверждаем, что узел, представляющий «овощность», должен быть включен или выключен, а допускаем варьирование значения, которое может составлять от 0 (для камня) и 0,1 (для кетчупа) до 0,4 (для чеснока) и 1,0 (для сельдерея). Мы можем также отказаться от произвольно выбранного кода, связывающего каждый концепт с бессмысленной последовательностью битов. Пусть каждый бит сам представляет какой-нибудь элемент концепта. Скажем, один будет представлять зеленый цвет, другой – наличие листьев, третий – хрусткость, и так далее. Каждый из этих узлов, представляющих свойства овощей, может быть присоединен с небольшим значением веса к самому узлу, представляющему овощ. Другие узлы, представляющие характеристики, которых у овощей нет (такие, как «магнитный» или «мобильный»), могут быть присоединены с отрицательными значениями веса. На концептуальном уровне чем больше качеств овоща есть у данного предмета, тем более удачным примером овоща является этот предмет. На механическом уровне чем больше узлов качеств овоща срабатывают, тем выше уровень активации узла, представляющего овощ. ![]() Как только мы разрешим сети быть неточной, она сможет представлять разные степени очевидности и вероятности событий и принимать статистические решения. Предположим, что каждый узел сети представляет какую-то одну улику, доказывающую причастность дворецкого к преступлению (отпечатки пальцев на ноже, любовные письма, адресованные жене убитого, и так далее). Предположим, что верхний узел представляет вывод о том, что это сделал дворецкий. На концептуальном уровне чем больше у нас улик, указывающих на то, что убийство мог совершить дворецкий, тем выше будет вероятность того, что это действительно сделал дворецкий. На механическом уровне чем больше у нас возбужденных узлов, обозначающих улики, тем выше будет уровень активации узла принятия решения. В сети мы можем реализовать различные статистические процедуры, сконструировав узел принятия решения таким образом, чтобы интегрировать в него вводы разными способами. Например, узел принятия решения может быть пороговым, как в случае со схемами четкой логики; это позволило бы принимать решение только тогда, когда вес доказательств превышал бы критическое значение (как принято говорить, когда вина доказана «вне всяких разумных сомнений»). Либо активность узла принятия решения может увеличиваться постепенно; степень уверенности с первыми немногочисленными уликами будет повышаться медленно, затем будет быстро нарастать по мере поступления все большего и большего их количества и выравниваться на этапе снижающегося эффекта. Именно эти два типа узлов предпочитают использовать разработчики нейронных сетей. Мы же можем экспериментировать еще больше, вдохновляясь тем фактом, что в случае нейронов, в отличие от кремниевых процессоров, связи обходятся дешево. Почему бы не соединить каждый узел с другим узлом? Такая сеть сможет воплощать не только знание о том, что зеленый цвет означает «овощность», а хрусткость подразумевает «овощность», но и что зеленый цвет подразумевает хрусткость, хрусткость означает наличие листьев, наличие листьев означает отсутствие мобильности, и так далее: Здесь начинают происходить интереснейшие вещи. Сеть начинает напоминать мыслительные процессы в голове человека, чего нельзя сказать о слабо соединенных сетях. По этой причине психологи и исследователи искусственного интеллекта используют сети, в которых все соединено со всем, для моделирования самых разных примеров распознавания простых шаблонов. Созданы сети для распознавания линий, из которых состоят буквы; букв, из которых состоят слова; частей тела, из которых состоят животные, предметов мебели, из которых состоит интерьер комнаты. Зачастую при этом отказываются от узла принятия решений, ведется исчисление только корреляций свойств. Эти сети, называемые иногда блоками автоматического ассоциативного установления соединений, или автоассоциативными сетями, имеют пять привлекательных особенностей. |
![Иллюстрация к книге — Как работает мозг [img_19.jpg] Иллюстрация к книге — Как работает мозг [img_19.jpg]](img/book_covers/084/84475/img_19.jpg)
![Иллюстрация к книге — Как работает мозг [img_20.jpg] Иллюстрация к книге — Как работает мозг [img_20.jpg]](img/book_covers/084/84475/img_20.jpg)
![Иллюстрация к книге — Как работает мозг [img_21.jpg] Иллюстрация к книге — Как работает мозг [img_21.jpg]](img/book_covers/084/84475/img_21.jpg)
![Иллюстрация к книге — Как работает мозг [img_22.jpg] Иллюстрация к книге — Как работает мозг [img_22.jpg]](img/book_covers/084/84475/img_22.jpg)