Книга Насосы интуиции и другие инструменты мышления, страница 28 – Дэниел К. Деннетт

Авторы: А Б В Г Д Е Ж З И Й К Л М Н О П Р С Т У Ф Х Ч Ш Ы Э Ю Я
Книги: А Б В Г Д Е Ж З И Й К Л М Н О П Р С Т У Ф Х Ц Ч Ш Щ Ы Э Ю Я
Бесплатная онлайн библиотека LoveRead.in

Онлайн книга «Насосы интуиции и другие инструменты мышления»

📃 Cтраница 28

Блестящую идею создания регистровой машины на заре компьютерной эры предложил логик Хао Ван (1957), между прочим, студент Курта Гёделя и философ. Это изящный инструмент мышления, который вам стоит иметь в своем наборе. Он далеко не так известен, как должен бы [28]. Регистровая машина – это идеализированный, воображаемый компьютер (который вполне можно сконструировать), состоящий из некоторого (конечного) числа регистров и блока обработки данных.

Регистры – это ячейки памяти, каждая из которых имеет уникальный адрес (регистр 1, регистр 2, регистр 3 и так далее) и может содержать одно целое число (0, 1, 2, 3…). Каждый регистр можно представить в виде большого ящика, содержащего произвольное количество бобов, от 0 до …, вне зависимости от размеров ящика. Обычно мы считаем, что в ящике может содержаться любое целое число, поэтому ящики, само собой, должны быть бесконечно большими. Для наших целей подойдут и просто очень большие ящики.

Блок обработки данных имеет всего три простых компетенции, три “инструкции”, которым он может “следовать” пошагово, выполняя одну зараз. Любая последовательность этих инструкций представляет собой программу, и каждой инструкции присвоен номер, чтобы ее идентифицировать. Инструкции таковы:

Конец работы. Машина может остановиться или выключиться.


Инкремент регистра n (прибавить 1 к содержимому регистра n; положить один боб в ящик n) и переход на следующий шаг, шаг m.


Декремент регистра n (отнять 1 от содержимого регистра n; вынуть один боб из ящика n) и переход на следующий шаг, шаг m.

Инструкция “декремент” работает точно так же, как инструкция “инкремент”, но между ними есть одно принципиально важное различие: что делать, если в регистре n содержится число 0? Машина не может отнять 1 от этого содержимого (в регистрах не могут содержаться отрицательные числа; боб из пустого ящика не вынуть), поэтому, оказавшись в безвыходном положении, машина должна сделать “переход”. Иными словами, она должна обратиться к другому фрагменту программы, чтобы получить следующую инструкцию. В связи с этим каждая инструкция “декремент” должна определять, к какому фрагменту программы обращаться, если в текущий момент в регистре содержится 0. Таким образом, полное определение инструкции “декремент” звучит так:

Декремент регистра n (отнять 1 от содержимого регистра n), если это возможно, и переход на шаг m ИЛИ, если декрементировать регистр n невозможно, переход на шаг p.

Теперь снабдим все возможности регистровой машины короткими названиями: Кон, Инк и Деп (декремент-или-переход).

На первый взгляд может показаться, что такая простая машина не способна ни на что особенно интересное, ведь она умеет лишь класть боб в ящик или вынимать боб из ящика (если там есть боб – и переходить к другой инструкции, если его нет). Но на самом деле она может производить такие же вычисления, которые умеет производить любой другой компьютер.

Начнем с простого сложения. Допустим, вы хотите, чтобы регистровая машина прибавила содержимое одного регистра (скажем, регистра 1) к содержимому другого регистра (регистра 2). Таким образом, если в регистре 1 содержится [3], а в регистре 2 содержится [4], мы хотим, чтобы в итоге программа сделала так, чтобы содержимое регистра 2 стало равняться [7], потому что 3 + 4 = 7. Вот программа, которая справится с этой задачей, написанная на простом языке РПА (регистровое программирование на ассемблере):

программа 1: ADD [1,2]

Иллюстрация к книге — Насосы интуиции и другие инструменты мышления [i_002.jpg]

Первые две инструкции образуют простой цикл, в рамках которого регистр 1 декрементируется, а регистр 2 инкрементируется снова и снова, пока регистр 1 не опустеет. Это “заметит” блок обработки данных, который в результате сделает переход на шаг 3, останавливающий программу. Блок обработки данных не может сказать, каково содержимое регистра, если только это содержимое не 0. Если снова представить ящики с бобами, можно сказать, что блок обработки данных слеп и не видит, что находится в регистре, пока он не опустеет, потому что отсутствие содержимого он может определить на ощупь. Несмотря на то что, в принципе, он не может сказать, каково содержимое регистров, если задать ему программу 1, он всегда будет прибавлять содержимое регистра 1 (какое бы число ни содержалось в регистре 1) к содержимому регистра 2 (какое бы число ни содержалось в регистре 2), а затем останавливаться. (Вы понимаете, почему так должно происходить всегда? Разберите несколько примеров, чтобы удостовериться.) Вот любопытный способ на это взглянуть: регистровая машина мастерски умеет складывать числа, не зная, какие именно числа она складывает (а также что такое числа и что такое сложение)!

упражнение 1

а. Сколько шагов потребуется регистровой машине, чтобы сложить 2 + 5 и получить 7, выполняя программу 1 (считая Кон отдельным шагом)?

б. Сколько шагов потребуется машине, чтобы сложить 5 + 2?

(Какой из этого можно сделать вывод?) [29]

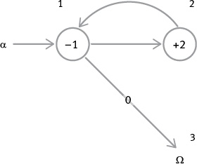
Этот процесс можно изобразить наглядно, построив так называемый граф потока. Каждый кружок обозначает инструкцию. Число в кружке обозначает адрес регистра, с которым необходимо произвести манипуляции (а не содержимое регистра), “+” обозначает инструкцию Инк, а “–” – инструкцию Деп. Программа всегда начинается с α, альфы, и завершается, когда достигает Ω, омеги. Стрелки показывают переход к следующей инструкции. Обратите внимание, что каждая инструкция Деп имеет две исходящих стрелки, одну для направления, в котором двигаться, если декрементировать содержимое регистра возможно, а другую – если невозможно, потому что содержимое регистра 0 (переход на ноль).

Иллюстрация к книге — Насосы интуиции и другие инструменты мышления [i_003.jpg]

Теперь давайте напишем программу, которая просто перемещает содержимое одного регистра в другой регистр:

Вход
Поиск по сайту
Ищем:
Календарь