Онлайн книга «Футболоматика»
|
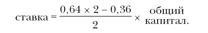
Для получения рисунка 13.3 я использовал критерий Келли, чтобы определить, насколько большой должна быть каждая ставка. Критерий Келли возник в области математики, которая называется теорией информации. В 1940-х и 1950-х годах инженеры пытались найти способы сделать первые цифровые каналы связи более ![]() Рисунок 13.3. Как мои четыре стратегии азартных игр – показатель эффективности (a), ставка на отклонение (b), индекс Euro Club (c) и экспертная (d) – проявляли себя в первых 40 матчах сезона-2015/16. Стартовый капитал – 100 фунтов. эффективными. Можно сравнить два канала с точки зрения вероятности передачи ими достоверной информации. Более точные каналы предоставляют информацию быстрее, чем менее точные каналы. Джон Келли-младший провел математическую аналогию между предсказанием спортивных событий и наличием канала связи, который передает результат матча до того, как он был сыгран [167]. Такой канал может допускать ошибки, но если он точнее канала букмекеров, то на него стоит поставить. Чем точнее ваш канал и чем больше у вас денег, тем больше ставок вы должны делать. Основываясь на этом рассуждении, Келли придумал следующее уравнение для размера ставки: ![]() Эти величины легко рассчитать. Например, в первом туре Премьер-лиги экспертная стратегия прогнозировала, что «Кристал Пэлас» выиграет со счетом 2:0 в гостях у «Норвич Сити». Используя модель Пуассона, переводим это в вероятность и получаем 64 %, что победа «Пэлас» случится. Британский коэффициент на такой исход составлял около 2/1. Подставив эти числа в уравнение Келли, получаем ![]() Критерий Келли предлагает поставить 46 % общего доступного капитала на победу «Кристал Пэлас». Это большая ставка, которая окупилась. «Пэлас» выиграл со счетом 3:1. На рисунке 13.3 мы видим, как экспертная стратегия принесла большую прибыль на шестом матче. Экспертная стратегия и стратегия показателей эффективности приводят к резким колебаниям результатов, поскольку они делают прогнозы, которые сильно отличаются от котировок букмекеров. Когда эти стратегии верны, они выигрывают по-крупному; но и при проигрыше они теряют по-крупному. Стратегии индекса Euro Club и ставок на отклонения делают прогнозы, которые очень похожи на коэффициенты от букмекеров. При этом первая пускай немного, но стабильно теряет, а вторая дает небольшую, но тоже стабильную прибыль. Пока что результаты очень полезны, но мы должны помнить историю Люка и Джейн. Нет никакой гарантии, что любая из этих тенденций продолжится, как только я начну делать ставки в реальном мире. Первая неделя: скучные ничьи
В пятницу днем перед первой неделей ставок я нервничал. Теперь все было по-настоящему. Я ввел котировки букмекеров, статистику ударов по прошлому туру, прогнозы Принс-Райта и европейские котировки. Чтобы решить, какие ставки делать, я оценивал каждую модель на основе предыдущей производительности. Поскольку экспертная стратегия и индекс Euro Club потеряли деньги в предыдущих турах, я уменьшил их влияние на мою комбинированную модель. Все было готово. Я нажал «запустить». Мой экран заполнялся текстом и цифрами по мере того, как компьютер совершал вычисления. Через полминуты появилась финальная таблица: список матчей, коэффициентов, букмекеров с лучшими котировками и размер ставки, предложенный критерием Келли. Я прочитал и был разочарован: 8 из 10 предложенных ставок были на ничьи. Ничьи! Я с нетерпением ждал момента, когда буду поддерживать разные команды, чтобы они выигрывали и оправдывали мои стратегии. Но ничьи? Как я могу смотреть футбол и болеть за ничью? Я еще раз проверил код, но результат был верным. Дело не в том, что ничьи были особенно вероятны в этом туре. Просто коэффициенты на них были особенно хороши. Я решил стартовать после двухнедельного перерыва на матчи сборных. Азартные игроки полагали, что команды вернутся с желанием получить результат. Игроки считали правильно, а мои стратегии ошиблись. Из 10 матчей лишь один закончился вничью. Также принесла прибыль одна из предсказанных мною побед – «Тоттенхэм» на выезде обыграл «Сандерленд», – но в целом из 48,75 поставленных фунтов я потерял 18,06. Все было бы совсем по-другому, если бы Келечи Ихеаначо не вышел на замену в матче «Манчестер Сити» – «Кристал Пэлас». В итоге на 90-й минуте он забил единственный мяч в игре. Но такова природа случайности. Ловиса также потеряла небольшую сумму, но она поставила 10 фунтов на победу или ничью «Манчестер Юнайтед» в матче против «Ливерпуля». Вероятно, такая ставка была сделана, чтобы поддеть меня – в конце концов, это не имело большого значения. Оборона «Ливерпуля», которая сначала зарабатывает пенальти в свои ворота, а затем позволяет «Юнайтед» забить с двух шансов в штрафной, – смотреть на это было гораздо больней, чем думать о том, что Ловиса слегка опередила меня. На этой неделе экспертная стратегия выступила так же плохо, как и в испытательный период. Советы Принс-Райта были интересными, но неправильными. Однако в контексте предыдущих исследований это не было удивительным. Несколько исследований проверяли способность прогнозистов давать советы по ставкам на отдельные футбольные матчи, и прогнозисты не справились. Эксперты, как правило, проигрывали котировкам букмекеров [168]. В одном из исследований чемпионата мира 2002 года прогнозы экспертов оказались не лучше, чем предположения людей, не разбирающихся в игре [169]. Так что Принс-Райту нечего стыдиться, но на вторую неделю я убрал его из своей общей модели. Вторая неделя: падение индекса
После того как я убрал эксперта, ставки пошли лучше. Модель надеялась на шесть ничьих, три победы гостей и одну для хозяев. Я поставил 27,88 фунта на десять матчей (как обычно, ставку рассчитала сама модель) и выиграл 1,93 фунта. Обычная неделя по футбольным меркам. Ничьих в матчах «Вилла» – «Вест Бром» и «Сток» – «Лестер» в сочетании с победой «Уотфорда» на выезде против «Ньюкасла» оказалось достаточно для того, чтобы я получил небольшую прибыль. ![]() Рисунок 13.4. Как ведет себя стратегия индекса (пунктир) в сравнении с принципом случайных ставок (сплошная) в первых 60 матчах сезона-2015/16. Стартовый капитал – 100 фунтов. |
![Иллюстрация к книге — Футболоматика [i_091.jpg] Иллюстрация к книге — Футболоматика [i_091.jpg]](img/book_covers/083/83434/i_091.jpg)
![Иллюстрация к книге — Футболоматика [i_092.jpg] Иллюстрация к книге — Футболоматика [i_092.jpg]](img/book_covers/083/83434/i_092.jpg)
![Иллюстрация к книге — Футболоматика [i_093.jpg] Иллюстрация к книге — Футболоматика [i_093.jpg]](img/book_covers/083/83434/i_093.jpg)
![Иллюстрация к книге — Футболоматика [i_094.jpg] Иллюстрация к книге — Футболоматика [i_094.jpg]](img/book_covers/083/83434/i_094.jpg)