Онлайн книга «Все формулы мира»
|
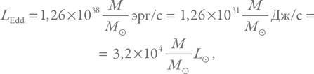
Первый сомножитель dm / dt называют темпом аккреции, он показывает, сколько вещества аккрецирует за единицу времени. Казалось бы, неограниченно наращивая темп аккреции, мы получим сколь угодно большую светимость. Не тут-то было! Существует предельное значение светимости, которое носит имя Артура Эддингтона, – эддингтоновская светимость. Физика здесь довольно проста: свет оказывает давление. Значит, если поток излучения слишком велик, то он будет попросту «сдувать» лишнее вещество. Установится некоторый баланс между действием гравитации, стремящейся притянуть как можно больше вещества, и излучением, поток которого растет по мере возрастания темпа аккреции. Попробуем получить формулу для эддингтоновской светимости. Рассмотрим водородную плазму, поскольку типичный – так называемый солнечный – состав вещества звезд соответствует водородно- гелиевой смеси, на 90 % по числу атомов состоящей из самого легкого элемента. У нас есть частицы всего двух сортов: тяжелые протоны и легкие электроны, и их количество равно друг другу, так как вещество должно быть электрически нейтральным. Соответственно, рассмотрим пару электрон-протон. На частицы действуют две силы: гравитация и давление излучения. Можно считать, что сила тяжести в основном действует на протоны (поскольку они примерно в 2000 раз тяжелее электронов), а давление света – на электроны. И эти силы, приложенные к паре, уравновешивают друг друга. Рассмотрим вещество у поверхности объекта массой M и радиуса r. С гравитацией все просто: ![]() где mp – масса протона. Теперь нам надо разобраться с силой, связанной с давлением излучения. Введем величину потока излучения, равную энергии, проходящей через единичную площадь за единицу времени: ![]() где L – светимость (т. е. мощность источника). Но нам нужно рассчитать силу, действующую на один электрон. Мы сделаем это так: запишем силу как давление, создаваемое излучением, на площадь. Поскольку сила действует на электрон, то в качестве площади возьмем так называемое томсоновское сечение, σT. По сути, это эффективная площадь электрона при рассеянии на нем электромагнитных волн. Точная формула такова: ![]() где me– масса электрона, а e – его заряд. Величину e2/mec2 называют классическим радиусом электрона. Итак, мы знаем площадь, как теперь оценить давление? Очень просто. Давит излучение. Давление же характеризуется плотностью энергии, т. е. нам надо оценить плотность энергии излучения. Мы знаем поток, или сколько энергии проходит в единицу времени через единичную площадь. Плотность энергии будет равна потоку, деленному на длину, проходимую излучением за единицу времени. Длина равна произведению скорости (в нашем случае это скорость света) на время (т. е. на единицу, так как мы рассматриваем единичный интервал). Для давления получаем: I / c. А для силы: ![]() Из равенства Fgrav = Frad получим: ![]() Подставим выражение для I, и тогда: ![]() Видим, что равенство не зависит от расстояния. Выражаем светимость (и вводим обозначение LEdd): ![]() Подставляя характерные значения и константы, получим: ![]() где Lʘ – солнечная светимость, а Mʘ – масса Солнца. Таким образом, для каждой массы центрального объекта (будь то обычная звезда или нейтронная, черная дыра звездной массы или сверхмассивная) есть предельная светимость. Мы рассматривали сферически симметричную геометрию, отклонения от нее могут немного увеличить предельную светимость. Если рассмотреть не чисто водородную плазму, то мы также получим несколько иной результат. Тем не менее предел есть, и он работает. Наличие предельной светимости позволяет делать оценки массы центральных объектов. Например, если в центре какой-то галактики мы наблюдаем активное ядро, то его светимость позволяет дать нижний предел на массу сверхмассивной черной дыры. И наоборот, знание о диапазоне масс сверхмассивных черных дыр позволяет предсказать диапазон их светимостей. В типичных квазарах массы центральных объектов составляют десятки миллионов солнечных. Значит, светимости квазаров не должны превосходить примерно несколько триллионов светимостей Солнца. Наконец, ответим еще на один вопрос. В каком диапазоне будет излучать аккрецирующая нейтронная звезда при светимости, близкой к предельной? Это легко оценить. В данном случае можно предположить, что вся поверхность компактного объекта (и/или внутренняя часть аккреционного диска, чья площадь по порядку величины близка к полной площади поверхности нейтронной звезды) нагрета до определенной температуры и излучает так называемое абсолютно черное тело. В таком случае светимость равна: ![]() где σSB – постоянная Стефана – Больцмана. Подставив эддингтоновскую светимость и радиус нейтронной звезды 10 км, получим, что температура составляет порядка 20 млн Кельвин. Такая температура соответствует рентгеновскому излучению, поэтому нейтронные звезды в тесных двойных системах с большим темпом аккреции мы наблюдаем именно как рентгеновские источники. Приложение 4
Одиночные черные дыры Черные дыры, безусловно, являются крайне интригующими объектами, ускользающими не только от однозначной идентификации наблюдательными методами, но еще и от четкого определения [99]. Тем не менее в астрофизике существует несколько методов, позволяющих регистрировать даже одиночные черные дыры звездных масс. Какие-то из них уже работают, какие-то – только на подходе. Ниже мы обсудим три ситуации: аккрецию вещества межзвездной среды, гравитационное микролинзирование и, наконец, испарение черных дыр (хотя этот процесс важен лишь для черных дыр малых масс). |
![Иллюстрация к книге — Все формулы мира [i_038.jpg] Иллюстрация к книге — Все формулы мира [i_038.jpg]](img/book_covers/083/83179/i_038.jpg)
![Иллюстрация к книге — Все формулы мира [i_039.jpg] Иллюстрация к книге — Все формулы мира [i_039.jpg]](img/book_covers/083/83179/i_039.jpg)
![Иллюстрация к книге — Все формулы мира [i_040.jpg] Иллюстрация к книге — Все формулы мира [i_040.jpg]](img/book_covers/083/83179/i_040.jpg)
![Иллюстрация к книге — Все формулы мира [i_041.jpg] Иллюстрация к книге — Все формулы мира [i_041.jpg]](img/book_covers/083/83179/i_041.jpg)
![Иллюстрация к книге — Все формулы мира [i_042.jpg] Иллюстрация к книге — Все формулы мира [i_042.jpg]](img/book_covers/083/83179/i_042.jpg)
![Иллюстрация к книге — Все формулы мира [i_043.jpg] Иллюстрация к книге — Все формулы мира [i_043.jpg]](img/book_covers/083/83179/i_043.jpg)
![Иллюстрация к книге — Все формулы мира [i_044.jpg] Иллюстрация к книге — Все формулы мира [i_044.jpg]](img/book_covers/083/83179/i_044.jpg)
![Иллюстрация к книге — Все формулы мира [i_045.jpg] Иллюстрация к книге — Все формулы мира [i_045.jpg]](img/book_covers/083/83179/i_045.jpg)
![Иллюстрация к книге — Все формулы мира [i_046.jpg] Иллюстрация к книге — Все формулы мира [i_046.jpg]](img/book_covers/083/83179/i_046.jpg)