Книга Карнавал молекул, страница 72 – Михаил Левицкий

Авторы: А Б В Г Д Е Ж З И Й К Л М Н О П Р С Т У Ф Х Ч Ш Ы Э Ю Я
Книги: А Б В Г Д Е Ж З И Й К Л М Н О П Р С Т У Ф Х Ц Ч Ш Щ Ы Э Ю Я
Бесплатная онлайн библиотека LoveRead.in

Онлайн книга «Карнавал молекул»

📃 Cтраница 72

В процессе работы выяснилась интересная деталь. Оказалось, что замыкание каркаса проходит несравненно легче, если к узловому атому N заранее добавить четвертый заместитель – фрагмент углеводорода. Дело в том, что этот атом N легко присоединяет галогенуглеводороды (рис. 7.47, превращение 1), образуя ионные соединения (точно так же, как из аммиака и хлороводорода образуется аммонийхлорид [NH4]+Cl).

Иллюстрация к книге — Карнавал молекул [i_358.jpg]

Затем можно превратить группы N – OH в NH, восстановив их цинком (рис. 7.47, превращение 2), а при необходимости на следующем этапе удалить с азота «навешенную» органическую группу действием Н2 в присутствии палладиевого катализатора (рис. 7.47, превращение 3).

Все новое – хорошо забытое старое

Поговорка, играющая роль заголовка, применительно к химии звучит немного иначе: «Все новое – не понятое ранее старое». Открытие нового химического элемента всегда считалось событием, сравнимым с географическими или астрономическими открытиями, имя автора автоматически вписывалось в историю, и потому очень обидно было держать в руках новый элемент и предполагать, что это соединение уже известных элементов. Такое произошло с выдающимся немецким химиком Ю. Либихом. В 1826 г. он получил темно-коричневую жидкость с резким запахом, которую принял за соединение йода с хлором JCl. Буквально через месяц Парижская академия наук (после предварительной проверки) объявила, что полученное французским химиком-лаборантом А. Баларом жидкое коричневое вещество является новым элементом, который был назван бромом. После этого Либих с грустью с грустью осознал, что ранее он тоже получил бром, но не сумел вовремя этого понять.

Интересно, что знаменитый ферроцен, полученный металлоорганическим синтезом и открывший новую главу в химии, люди держали в руках задолго до момента его получения в лаборатории. Еще в 30-х гг. ХХ в. при крекинге циклопентадиена в железных трубах наблюдали образование оранжевого кристаллического вещества, которое принимали за необычную ржавчину. Никому, естественно, не могло прийти в голову попробовать растворить ее, например, в бензоле; в ином случае открытие знаменитого ферроцена состоялось бы на несколько десятилетий ранее.

Бывают случаи, когда авторы торжественно сообщают о получении нового соединения, а вслед за этим рецензенты, выпускающие статью в печать, а иногда эрудированные читатели статьи деловито сообщают, что такое соединение было получено много лет назад, и указывают, где это было описано.

Всегда приятно почувствовать себя первооткрывателем нового необычного соединения, но в той истории, о которой идет речь, авторы сами сознательно пошли на то, чтобы понизить уровень своего приоритета (редкий случай!). После того как был получен изо-уротропин, его создатели, просматривая публикации в старых журналах, обнаружили нечто подобное (рис. 7.48). В 1898 г. (!) греческий химик Г. Маттаиопоулос опубликовал статью, где описал взаимодействие уже знакомой нам трехлучевой молекулы с метилиодидом Me3I и получил, как он полагал, комплекс, изобразив его строение в виде компактной формулы N[CH2-C(=NOH)(CH3)]3·CH3I.

Иллюстрация к книге — Карнавал молекул [i_359.jpg]

Далеко не каждому современному исследователю открывается неожиданная возможность убедиться, что нечто похожее было получено в конце XIX в. Событие, казалось бы, драматическое, но авторы описываемой нами работы вышли из ситуации лучшим образом. Они предположили, что Маттаиопоулос получил не трехлучевую молекулу, а замкнутый каркас, но в те далекие годы не имел возможности выяснить истинную структуру. В результате они повторили синтез, описанный Маттаиопоулосом, и с помощью спектральных методов установили, что образуется адамантановая структура – предшественница замещенного изо-уротропина (рис. 7.49).

Иллюстрация к книге — Карнавал молекул [i_360.jpg]

Естественно, это невозможно было установить в XIX в. Таким образом, удалось «перекинуть мост», связывающий старинные и современные работы, что придает дополнительную привлекательность этим исследованиям.

Хорошо, когда все просто

Современная органическая химия может получать необычайно сложные соединения с помощью заранее продуманной цепочки синтезов. Тем не менее всегда остается мечта получить необычную структуру просто смешиванием исходных веществ так, как это проделал в 1852 г. А.М. Бутлеров, смешавший растворы аммиака и формальдегида и получивший уротропин. Каркас этого соединения собирает сама природа.

Можно полагать, что авторов изо-уротропина тоже привлекала возможность «смонтировать» соединение в одну стадию, и нечто подобное удалось осуществить. Путь к такому простому одностадийному синтезу подсказало исследование, которое оказалось промежуточной ступенькой к достижению цели, впрочем, эта ступенька заслуживает внимания. Когда химик смотрит на структуру – предшественницу изо-уротропина, т. е. ту, в которой у атомов азота находятся группы ОН, у него невольно возникает желание включить эти группы в последующие взаимодействия. Наиболее эффектным было бы стянуть их в одну точку, создав еще одну вершину каркаса. Это удалось осуществить, проведя взаимодействие соединения А (рис. 7.50) с борной кислотой. Образуется каркас из двух спаянных адамантановых структур (соединение Б).

Иллюстрация к книге — Карнавал молекул [i_361.jpg]

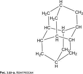
Интересно, что подобное соединение, но содержащее только атомы С и Н, тоже существует. Оно представляет собой две спаянные воедино молекулы обычного адамантана. Его получил П. Шлеер в 1957 г. и назвал конгрессаном (рис. 7.51-а) в честь XIX Международного конгресса теоретической и прикладной химии (Лондон, 1963 г.). Формула конгрессана была принята в качестве эмблемы конгресса. Это соединение привлекательно тем, что оно указывает путь к синтезу алмаза методами органической химии, т. е. последовательным достраиванием алмазной кристаллической решетки. Пока такое осуществить не удалось.

Иллюстрация к книге — Карнавал молекул [i_362.jpg]

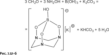
Вернемся к уротропину. Если существует борсодержащий уротропин в виде двух спаянных молекул, то должен быть такой же, состоящий из одной каркасной молекулы. Авторам удалось найти простой одностадийный способ синтеза. Следует смешать в водном растворе четыре реагента: формальдегид СН2=О, гидроксиламин NH2OH, борную кислоту В(ОН)3 и поташ К2СО3. Практически сразу образуется борсодержащий уротропин (рис. 7.51-б).

Иллюстрация к книге — Карнавал молекул [i_363.jpg]

Между прочим, это не изо-уротропин, а обычный, атомы азота занимают узловые места, но простота синтеза этой каркасной молекулы возвращает нас к бутлеровскому синтезу уротропина. Какой химик не мечтает получить сложное соединение простым способом? Складывается впечатление, что каркас уротропина – некая комбинаторная игрушка, которая может перестраиваться по воле химика.

Вход
Поиск по сайту
Ищем:
Календарь