Книга Карнавал молекул, страница 59 – Михаил Левицкий

Авторы: А Б В Г Д Е Ж З И Й К Л М Н О П Р С Т У Ф Х Ч Ш Ы Э Ю Я
Книги: А Б В Г Д Е Ж З И Й К Л М Н О П Р С Т У Ф Х Ц Ч Ш Щ Ы Э Ю Я
Бесплатная онлайн библиотека LoveRead.in

Онлайн книга «Карнавал молекул»

📃 Cтраница 59

Вернемся к синтетическим квазикристаллам. В настоящее время при лабораторных синтезах не придерживаются каких-либо точно установленных рекомендаций, чаще синтетики полагаются на интуицию. Сейчас такие соединения уже не редкость, получены сотни различных сплавов подобного типа.

Квазикристаллы указали новые направления исследований химикам, физикам, кристаллографам и материаловедам. Установлено, что они тверже обычных кристаллов, у них необычные оптические свойства, низкая теплопроводность, их электрическое сопротивление с ростом температуры падает, в то время как у обычных металлов растет. Квазикристаллы уже используют в авиационной и автомобильной промышленности в виде легирующих добавок. Низкое поверхностное трение некоторых квазикристаллических сплавов позволило найти им применение в быту. Появились фирмы, рекламирующие кухонную посуду с квазикристаллическим покрытием, которое обладает почти такими же антипригарными свойствами, как тефлон.

Квазикристаллы заставили ученых задуматься о некоторых проблемах более общего характера. Многоугольные конструкции с нечетным количеством углов, так удивившие кристаллографов, встречаются довольно часто в живом мире. Например, у планктонных организмов, разных иглокожих (морские звезды, морские ежи), у цветков многих плодовых деревьев и кустарников (яблони, груши, вишня, малина, рябина, калина), а также у некоторых полевых цветов (колокольчик, незабудка) (рис. 5.79).

Иллюстрация к книге — Карнавал молекул [i_292.jpg]

Все это приводит к мысли, что, возможно, квазикристаллы представляют собой переходную форму от застывшего неорганического мира к живым структурам.

Открытие квазикристаллов показало ученым, насколько неожиданные результаты можно получить там, где, казалось бы, все изучено. Израильский ученый профессор Шолом Бен-Авраам сказал: «До этого открытия мы думали, что кристаллические структуры представляют собой полностью изученную область, но сегодня мы понимаем, что лишь едва «поцарапали поверхность» крупной проблемы».

Кратко о самом лауреате

Дан Шехтман родился в 1941 г. в Тель-Авиве, Израиль. По его мнению, он унаследовал трудолюбие своих предков, которые прибыли из России со второй волной еврейской эмиграции в Палестину (1904–1914). Увлеченность наукой пришла к юному Дану из книг Жюля Верна. По его воспоминаниям, книгу «Таинственный остров» он прочитал не менее 25 раз. Из этого постепенно родилась увлеченность механикой, физикой, инженерными науками.

В 1966 г., обучаясь в Израильском технологическом институте в г. Хайфе, Дан Шехтман получил степень бакалавра, в 1968 г. – степень магистра, в 1972 г. – докторскую степень.

С 1975 г. он работает в Израильском технологическом институте в отделе инженерных материалов, в период 1981–1983 гг. изучал быстро затвердевающие алюминиевые сплавы, содержащие переходные металлы. Именно в это время он получил дифрактограмму с десятью светлыми точками, ставшую теперь знаменитой.

Открытие Шехтмана давно уже ведет «собственную жизнь» независимо от него, он сам уже более десяти лет не работает с квазикристаллами. Область его интересов – разработка новых магниевых сплавов для различных отраслей промышленности, а также создание материалов для имплантатов, которые, после того как были введены в процессе хирургической операции, постепенно «растворяются» в живом организме и замещаются костной тканью.

Признание к Шехтману пришло до получения Нобелевской премии (иногда эта премия отстает от момента открытия на десятки лет), в период с 1986 по 2008 г. он стал обладателем 11 национальных и международных премий, среди которых Международная премия за новые материалы Американского физического общества (1988), премия Ротшильда за инженерные достижения (1990) и премия Шведской королевской академии наук (2000).

Шехтман, переживший мощную волну недоверия и неприятия своих результатов, в речи на нобелевском банкете сказал: «Хороший ученый тот, кто скромен и готов принять новые неожиданные открытия». Вероятно, это было косвенное упоминание все о том же Лайнусе Полинге, не признававшего квазикристаллы и авторитетное мнение которого в свое время считалось непререкаемым.

6
Не почивать на лаврах

Не следует почивать на лаврах,

листья высохнут и станут колючими.

М. ЦИВЕЛ

Слово «лауреат» происходит от латинского laureatus, что значит «увенчанный лаврами». Не так уж редки случаи, когда блистательный успех приводит к тому, что творческий человек постепенно теряет созидательный «запал» и держится «на плаву» только благодаря былым заслугам. Высшее признание успехов химика – присуждение ему Нобелевской премии, и, как правило, яркие достижения после этого не наблюдаются. Часто это объясняется тем, что премию ученый получает уже в преклонном возрасте. Тем заметнее случаи, когда нобелевский лауреат после получения премии меняет направление исследований и добивается заметных успехов в новой области.

Проложить новую дорогу

Американский ученый-химик Барри Шарплесс (рис. 6.1), работая в Массачусетском технологическом институте, выполнил исследования, которые привели его (совместно с Уильямом Ноулзом и Редзи Нойори) в 2001 г. к получению Нобелевской премии «За создание асимметрических катализаторов окислительно-восстановительных реакций для фармацевтической промышленности».

Иллюстрация к книге — Карнавал молекул [i_293.jpg]

В формулировке премии отмечены окислительно-восстановительные реакции, о которых чаще всего химики упоминают вместе. Однако в случае этой премии произошло разделение: Уильям Ноулз и Редзи Нойори получили половину денежной премии за реакции восстановления, а Барри Шарплесс свою половину – за окислительные реакции.

Состязание с природой

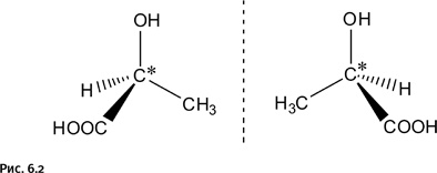
Основное достижение Б. Шарплесса, удостоенное премии, – создание катализаторов для получения строго определенных оптических (зеркальных) изомеров. Само понятие оптических изомеров впервые ввел голландский химик Якоб Вант-Гофф (1852–1911): он предположил, что валентности атома углерода направлены к вершинам воображаемого тетраэдра. В том случае, когда все четыре заместителя у атома углерода различны, его называют асимметрическим центром и отмечают звездочкой *. Молекула, содержащая такой центр, может существовать в виде двух изомеров, которые являются зеркальными отражениями друг друга (линии разной толщины помогают показать молекулу в объеме, см. рис. 6.2).

Иллюстрация к книге — Карнавал молекул [i_294.jpg]

Поскольку эти две молекулы невозможно совместить в пространстве, то это не одно и то же соединение, а два изомера, для которых используют специальный термин – энантиомеры. Если показанную на рисунке 6.2 молочную кислоту синтезировать в лаборатории, мы получим смесь двух энантиомеров в равном соотношении. Разделить эту смесь будет очень трудно, поскольку у зеркальных изомеров почти полностью совпадают химические и физические свойства. Перед химиками встала задача научиться проводить синтез таким образом, чтобы образовывался только один изомер. Такая задача появилась не случайно: оказалось, что в живых организмах находится много асимметричных молекул, причем каждая из них присутствует строго в виде только одного изомера. Это относится ко всем видам белков, углеводов и нуклеиновых кислот растительного или животного происхождения. При изготовлении лекарств необходимо учитывать, что только определенный энантиомер будет оказывать нужное биологическое действие. Бывают случаи, когда присутствие второго зеркального изомера оказывается вредным для организма.

Вход
Поиск по сайту
Ищем:
Календарь