Книга Карнавал молекул, страница 21 – Михаил Левицкий

Авторы: А Б В Г Д Е Ж З И Й К Л М Н О П Р С Т У Ф Х Ч Ш Ы Э Ю Я
Книги: А Б В Г Д Е Ж З И Й К Л М Н О П Р С Т У Ф Х Ц Ч Ш Щ Ы Э Ю Я
Бесплатная онлайн библиотека LoveRead.in

Онлайн книга «Карнавал молекул»

📃 Cтраница 21

Возможна ли четверная связь?

Возлагать надежды на углерод и азот не приходится, поскольку в соединениях с тройной связью использованы все имеющиеся у них s- и p-электроны и им сделать еще одну связь просто не из чего. Зато такая возможность есть у переходных металлов, которые отличаются от непереходных тем, что они дополнительно содержат неспаренные d-электроны. Читатель ожидает вновь увидеть слова «рений» и «Коттон». Так оно и есть! Коттону не пришлось даже подбирать хитроумные лиганды, необходимо было лишь правильно расшифровать структуру давно известной комплексной соли K2Re2Cl8 (рис. 2.48).

Иллюстрация к книге — Карнавал молекул [i_133.jpg]

Были получены аналогичные соединения с другими катионами (Na+, Cs+) и различными анионами: сульфатными, изоцианатными, карбоксилатными и др. Группировку [Re2Cl8]2– Коттон назвал классическим образцом четырехкратной связи, где атомы хлора расположены в вершинах мысленного куба. У этого аниона есть одно необычное свойство: атомы рения, оставаясь связанными между собой, могут повернуться и занять положение, перпендикулярное исходному, а атомы хлора, расположенные в вершинах куба, при этом остаются неподвижными (рис. 2.49).

Таким образом, два соединенных атома рения вращаются внутри кубической емкости, и все это несколько напоминает кувыркающуюся рыбку в аквариуме:

Иллюстрация к книге — Карнавал молекул [i_134.jpg]

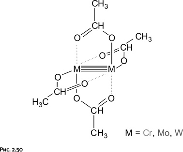
Среди других «четырехсвязных» примеров упомянем ацетаты хрома, молибдена и вольфрама, напоминающие строением осмиевый «нановентилятор», о котором говорилось выше (рис. 2.50).

Иллюстрация к книге — Карнавал молекул [i_135.jpg]

В данном случае также не потребовалось затевать сложный синтез: это обычные, давно известные ацетаты металлов, просто раньше никто не мог предположить, что в них существует четырехсвязность; новое понимание пришло благодаря работам Коттона.

Интересно, что соединений с четырехсвязным фрагментом металл – металл получено гораздо больше, чем с двойной и тройной связью вместе взятых: например, молекул с четырехсвязными атомами Мо получено свыше 100. Природа как будто бы хочет нам показать, что ничего необычного в четырехсвязности нет, и это ей в какой-то степени удалось: сегодня такие соединения стали вполне привычными и никого не удивляют, однако химия всегда умеет порадовать сюрпризом.


Рекорд!

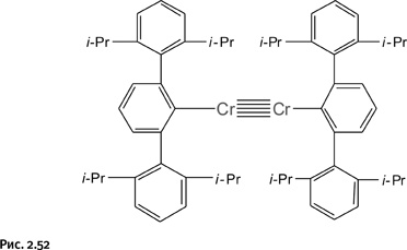
Получена пятикратная связь между двумя атомами металла, только на этот раз металл не рений и имя первооткрывателя иное. В 2005 г. американский химик Ф.П. Пауэр из Калифорнийского университета в г. Дэвисе (рис. 2.51) сообщил о синтезе молекулы, содержащей два пятикратно связанных хрома (рис. 2.52).

Иллюстрация к книге — Карнавал молекул [i_136.jpg]

Согласитесь, что внешний вид такого солидного снопа из пяти валентных связей с непривычки режет глаз. Полученное соединение представляет собой темно-красное кристаллическое вещество, стабильное на воздухе, не разлагающееся до 200 °С, но не устойчивое к действию влаги. Окружающие объемистые группы введены для того, чтобы затруднить возможное взаимодействие соседних молекул и придать веществу стабильность. Наличие пятикратной связи доказано комплексом исследований: рентгеноструктурным анализом, спектральными исследованиями, квантовохимическими расчетами и магнитными измерениями, которые могут показать количество неспаренных электронов в молекуле. Поскольку таковых не оказалось, то, следовательно, все электроны атомов хрома участвуют в образовании связей.

Иллюстрация к книге — Карнавал молекул [i_137.jpg]

Пауэр, прекрасно понимая, чьим преемником оказался, в начале своей статьи отдает дань уважения Коттону, который удивил химический мир открытием кратных связей металл – металл, после чего, по словам Пауэра, вся неорганическая химия стала несколько иной. Свою заслугу он оценивает скромно, полагая, что полученная пятикратная связь не столь неожиданна, нежели открытая Коттоном четырехкратная связь. В завершение он выражает надежду, что за полученным соединением последуют другие, ему подобные, и заканчивает статью, цитируя слова Коттона: «Это красивая, очаровательная химия».

Соединения с кратными связями металл – металл уже заняли свое заметное место в химической науке, подобно тому как кратные связи углерод – углерод буквально заполнили всю органическую химию.

Как обойти закон, или Химическая рыба-прилипала

Все в наших руках!

Особенно то, что не успело

к другим прилипнуть.

ЛЕОНИД СУХОРУКОВ

Около акул всегда находятся разнообразные «нахлебники», но самые преданные – это рыбы-прилипалы. У них спинной плавник сместился на переднюю часть головы и превратился в присоску. Прилипалы питаются мелкими кусочками пищи, остающимися от акульей охоты, и, кроме того, они поедают некоторых ракообразных паразитов на коже и в жаберных щелях акул. Таким образом, это содружество взаимовыгодное (рис. 2.53 и 2.54).

Иллюстрация к книге — Карнавал молекул [i_138.jpg]
Иллюстрация к книге — Карнавал молекул [i_139.jpg]

У некоторых видов прилипал (например, акулья ремора) даже процесс дыхания приспособлен к постоянной жизни в прикрепленном состоянии, так что вода при движении «хозяина» свободно проходит через рот к жабрам прилипалы без каких-либо специальных усилий. Такие прилипалы, отделенные от акулы, начинают быстро задыхаться. Согласитесь, что рыбы-прилипалы «хорошо устроились»: они не тратят усилий на перемещение и добывание пищи. В химических реакциях тоже можно найти похожие взаимоотношения.


Идея химика-новичка

Допустим, что некий ученик, познакомившись с правилами написания химических уравнений, предложил свой способ получения уксусной кислоты из метана и углекислого газа и изобразил все в виде уравнения (рис. 2.55).

Иллюстрация к книге — Карнавал молекул [i_140.jpg]

Уравнение написано правильно, т. е. все уравнено, но любой знающий химик сразу скажет, что реакция не пойдет, и даст объяснение, которое новичку, скорее всего, будет непонятно. Впрочем, доверяться авторитетам не всегда следует. А можно ли самому, не ставя эксперименты, убедиться в том, что реакция не пойдет? Существует способ решить такой вопрос практически для любой реакции, написанной на бумаге.

Вход
Поиск по сайту
Ищем:
Календарь