Онлайн книга «Лагуна. Как Аристотель придумал науку »
|
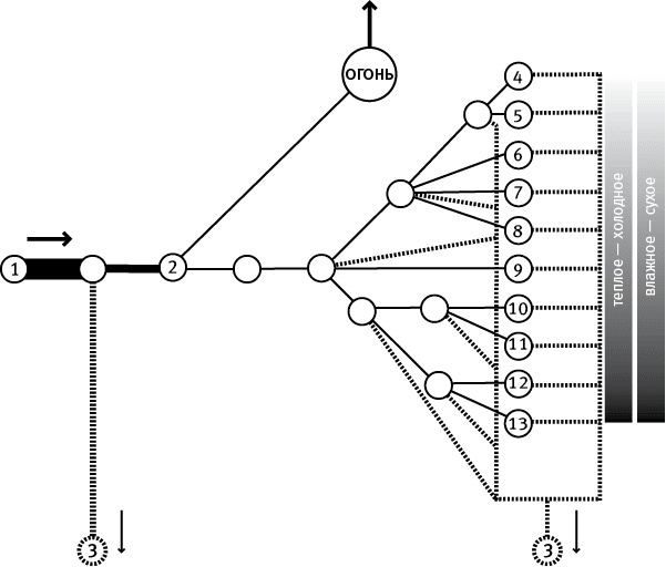
Здесь обобщены представления Аристотеля об обмене веществ, о том, как в организм поступают питательные вещества, как они транспортируются, претерпевают превращения и достигают той или иной части организма. Стрелки указывают потоки материи. “Однородные части” Аристотеля примерно ссответствуют тканям, хотя он склонялся к тому, что они не содержат микроскопические части, такие как клетки или атомы. Все “однородные части” происходят из крови, которая сама является “однородной частью”. Их можно отнести к двум крупным категориям: мягкие и влажные, плотные и твердые, хотя мышцы (мясо) стоят особняком. В результате любой реакции остаются побочные продукты. Все “однородные части” распадаются на отходы и выводятся наружу, поскольку животное – незамкнутая система. Некоторая часть питания уходит на поддержание внутреннего огня. Узлы (кружки) обозначают конкретные превращения питательных веществ. Информация взята из указанных источников (подробнее см.: Leroi 2010). Кровь как конечное (универсальное) питание: О частях животных 650a34, 651a15. Мясо делается из наилучшего питания, а кости, жилы и т. д. – из остатков: О возникновении животных 744b20. Мясо – это результат варения крови, а жир – это лишняя кровь: О частях животных 651a20. Жир – это результат варения крови: О частях животных 651a21. Жир может быть мягким или твердым (жир или сало): О частях животных 651a20. Семя образуется из крови, а именно из ее части, лежащей в основе жира: О частях животных 651b10; О возникновении животных 726a5. Костный мозг – это частично сваренная кровь: О частях животных 651b20. Копыта, рога и зубы сопоставлены с костями: О частях животных 655b1, 663a27. Кости и костный мозг образуются из одного материала: О частях животных 652a10. Хрящи и кости – одно и то же: О частях животных 655a27. Выводимое наружу мочевым пузырем и кишечником – это остатки переработанной организмом пищи: О частях животных 653b10. Желчь – это остаток переваренной пищи: О частях животных 677a10. ![]() 1 Пища 2 Кровь 3 Моча, желчь, фекалии 4 Копыта, волосы, ногти (когти) 5 Зубы 6 Костный мозг 7 Хрящ 8 Кости 9 Мышцы 10 Сало 11 Жир 12 Семя 13 Маточные выделения, менструальная кровь, молоко III. Модель CIOM (чувствующей души по Аристотелю) Здесь представлена модель “Централизованные входящие и исходящие движения” (Centralized Incoming Outgoing Motions). По Аристотелю, в организме сенсорная информация передается от органов чувств в центральное чувствилище (сердце), она обрабатывается с учетом целей животного и преобразуется в движения конечностей за счет действий пневмы и механических движений жил (Gregoric and Corcilius 2013). Стрелки указывают на причинно-следственные связи. ![]() IV. Схема терморегуляторного цикла легких и сердца (растительной души по Аристотелю) Здесь представлена описанная Аристотелем в трактате “О юности и старости, о жизни и смерти”, 26 (см.: King 2001, 126–129) простейшая из множества возможных моделей, описывающих терморегуляторный цикл сердца и легких. Стрелками показано, что какая часть контролирует. Чтобы модель работала, придется сделать ряд допущений, которых Аристотель не делал явно. В частности, мы предполагаем, что у животного есть идеальная “базовая” температура Tб. Цель системы – поддерживать температуру сердца Tс на этом уровне. Система работает следующим образом. Пища попадает в сердце и “варится” там. Температура питания (ставшего теперь кровью) Tп поднимается выше базовой температуры. Если этот подъем достаточен, чтобы покрыть потери тепла в результате диффузии, он увеличит температуру сердца Tс. Поскольку объем легких представляет собой функцию от разности Tс и Tб, он увеличивается. Это приводит к повышению интенсивности тока воздуха через рот Пв. Поскольку температура воздуха Tв ниже, чем базовая температура, температура сердца снижается, как и объем легких. Получается система отрицательной обратной связи. Примите во внимание, что мы учитываем постоянную потерю некоторого количества тепла сердца в результате диффузии, вероятно, через мозг, который, по мнению Аристотеля, работает как теплоотвод. Это амортизирует систему, делая ее менее восприимчивой к повышению Tп, и способствует равновесию при Tб. Такая система способна работать, только если температура воздуха ниже, чем идеальная базовая температура. Однако если Tв > Tб, никакое количество воздуха не снизит Tс. Петля отрицательной обратной связи станет неустойчивой петлей положительной обратной связи, и легкие животного будут либо постоянно открыты, либо постоянно закрыты. В любом случае это приведет к угасанию огня (из-за избытка холода или того, что вся пища переварена), что вызовет гибель животного. Исходя из описанного, система будет стремиться к постоянному динамическому равновесию подобно термостату. Однако если появятся дополнительные задержки или нелинейные факторы, в системе возникнут колебания, которыми, по предположению Аристотеля, объясняются движения (расширение и спадание) легких. Модель построена при помощи Дэвида Анжели из Группы изучения систем управления электрическими системами (Имперский колледж, Лондон). ![]() Тб Базовая температура Тс Температура сердца Тп Температура питательного вещества Тв Температура воздуха Пп Поток питательных веществ Пв Поток воздуха Ол Объем легких Кд Константа диффузии тепла Кв Константа притока воздуха ○ Чувствительный элемент ⊗ Устройство умножения + Положительная обратная связь – Отрицательная обратная связь V. Аристотель о жизненных циклах “живородящих четвероногих” и птиц Ниже обобщены данные Аристотеля о жизненном цикле животных. У него информация организована несколько сложнее, чем в приведенных таблицах, и не всегда верна. Поскольку во времена Аристотеля не пользовались описательной статистикой, он часто говорит, что нечто таково “по большей части”. В подобных случаях я привожу указанное им значение. Если Аристотель называет диапазон значений, я указываю среднее, а исключения игнорирую. Случаи, когда Аристотель оговаривает, что он не уверен в чем-либо (например, насчет огромной продолжительности жизни слона или короткого срока, отпущенного воробью), я отмечаю буквой с (сомнительно). Иногда Аристотель не говорит четко, что у представителей такого-то рода животных такой-то признак жизненного цикла имеет конкретное значение, а пишет про какой-либо высший род в целом – например, большинство птиц в тот же год ничего не производит. В этих случаях я отметил, что значение присуще всем родам в составе данного высшего рода, если не указано иное. Однако в случаях, когда Аристотель не говорит прямо, что значение применимо ко всему высшему роду, я ничего сверх данной им информации не указываю. Так, он наверняка знает, что большинство крупных “живородящих четвероногих” (млекопитающих) приносит один помет в год, но явно он этого не говорит. Исключение из этого правила – размер тела. Аристотель нигде не упоминает количественные данные по этому параметру, даже когда понятия “большой” и “малый” применяются к конкретному животному лишь для функционального объяснения. Тем не менее, из таких объяснений понятно, что для Аристотеля человек или страус большие, свинья или курица – средние, а кошка или воробей маленькие по сравнению со средним размером представителей своего высшего рода. Соответственно, я внес в таблицу предполагаемые значения размера тела некоторых животных. Большая доля данных взята из “Истории животных”, V и VI, а информация о совершенстве зародышей – из трактата “О возникновении животных”, IV. Аристотель верно отмечает, что многопалые животные (лиса, медведь, лев, собака, волк, шакал и т. д.) производят несовершенное потомство, а однокопытные и двукопытные животные (корова, лошадь) производят совершенное потомство. Свинья – исключение, она двукопытная, но потомство у нее лишь относительно совершенное. Если говорить о птицах, то Аристотель называет воронов, соек, воробьев, ласточек, вяхирей, горлиц и голубей дающими несовершенное потомство – но птиц с совершенным потомством он не упоминает. Он, вероятно, не приводит некоторые данные, на которые опирается. |
![Иллюстрация к книге — Лагуна. Как Аристотель придумал науку [i_078.jpg] Иллюстрация к книге — Лагуна. Как Аристотель придумал науку [i_078.jpg]](img/book_covers/082/82695/i_078.jpg)
![Иллюстрация к книге — Лагуна. Как Аристотель придумал науку [i_079.jpg] Иллюстрация к книге — Лагуна. Как Аристотель придумал науку [i_079.jpg]](img/book_covers/082/82695/i_079.jpg)
![Иллюстрация к книге — Лагуна. Как Аристотель придумал науку [i_080.jpg] Иллюстрация к книге — Лагуна. Как Аристотель придумал науку [i_080.jpg]](img/book_covers/082/82695/i_080.jpg)