Книга Прайс-менеджмент, страница 83 – Герман Симон

Авторы: А Б В Г Д Е Ж З И Й К Л М Н О П Р С Т У Ф Х Ч Ш Ы Э Ю Я
Книги: А Б В Г Д Е Ж З И Й К Л М Н О П Р С Т У Ф Х Ц Ч Ш Щ Ы Э Ю Я
Бесплатная онлайн библиотека LoveRead.in

Онлайн книга «Прайс-менеджмент»

📃 Cтраница 83

Существуют два базовых реальных подхода к сегментации рынка исходя из цен.

1. Сегменты делятся на основе критериев, которые априори должны вызвать ожидаемые ценовые реакции; затем рассчитываются ценовые эластичности для этих сегментов.

2. Сначала измеряются ценовые эластичности для отдельных клиентов, а затем клиентов с одинаковыми ценовыми эластичностями распределяют по сегментам.


Вторая задача – это определить и внедрить сегментно-ориентированные стратегии. Дифференциация цен решает обе задачи паралелльно, то есть оптимальные цены для каждого сегмента определяются и затем внедряются. В этом смысле эффективное разграничение сегментов рынка («разбивка») играет центральную роль. Разбивка должна помешать клиентам с высокой готовностью платить делать покупки по низким ценам.

Электронная коммерция и Big Data обеспечивают содержательную базу для рыночной сегментации. Фактическое покупательское поведение автоматически регистрируется, значительно улучшая эффективность адресного подхода. Индивидуализация цен становится технически возможной.

Сегментация рынка исходя из цен – это не метод как таковой. Это комплексное упражнение, которое можно выполнять разными методами. Методов здесь много – от чистой интуиции до многофакторного анализа (например, кластерного).

6.2.2. Теоретическая база ценовой дифференциации

Задача ценовой дифференциации – исследовать готовность потребителей платить, чтобы получить больше прибыли по сравнению с вариантом единой цены.

6.2.2.1. Определение ценовой дифференциации

Дифференциация цен имеет место, когда компания назначает разные цены на товары, идентичные или очень похожие по таким критериям, как местонахождение, время, потребительские свойства и количество. В это определение явным образом входят разные версии продукта, поскольку между ними с точки зрения спроса существуют очень тесные связи [4].

Для дифференциации цен требуются следующие условия [5].

• У клиентов разная готовность платить и, следовательно, разные ценовые эластичности.

• Можно сгруппировать разных клиентов как минимум в два сегмента, четко отличающихся друг от друга.

• Компания имеет определенную монопольную свободу действий, типичную на неидеальных рынках, чтобы извлекать надбавку потребителей или получать арендные платежи. Таким образом, ценовая эластичность не может быть конечной.


На практике, как правило, справедливы первые два условия. Хотя компания должна принимать соответствующие меры, чтобы третье также давало эффект. Третье условие требует определенного контроля. Компании могут легче устанавливать пространство монополии, если клиенты воспринимают их продукты или услуги как уникальное торговое предложение.

6.2.2.2. Задачи ценовой дифференциации

Помимо повышения прибыли за счет извлечения надбавки потребителей, компании могут решать с помощью ценовой дифференциации и другие задачи. Это демонстрирует стратегический треугольник на рис. 6.4.


Снижение затрат для потребителя можно, например, обеспечить за счет скидок на большие объемы. Если потребителю предложат такую скидку, это может побудить его приобрести больше товара (случай переменного количества). В то же время снижаются транзакционные издержки. Это значит, что повышенные объемы достигаются не потому, что клиентов становится больше, а потому, что одни и те же клиенты покупают больше.

Иллюстрация к книге — Прайс-менеджмент [i_166.jpg]

Рис. 6.4. Задачи ценовой дифференциации


Клиентоориентированные задачи ценовой дифференциации сосредоточены на лучшем удержании клиентов и более высокой степени их удовлетворенности, чего можно добиться скидками за лояльность или двумерными ценовыми схемами, какие предлагает Amazon Prime.

Дифференциация цен также позволяет компании решать задачи в области конкуренции. Есть один реактивный подход – корректировать структуру цен с оглядкой на конкурентов. Этот случай можно наблюдать, когда клиенты склонны активно сравнивать цены и структуры цен. Проактивные конкурентные цели включают в себя выстраивание барьеров во избежание ухода клиентов (например, за счет бонусных программ) или возведение барьеров для входа конкурентов на рынок. Дифференцирование цен также имеет место, когда компании стремятся избежать конкуренции и занять ниши в данном ценовом спектре.

6.2.2.3. Задачи обеспечения ценовой дифференциации

Сегментно-ориентированная ценовая дифференциация включает две задачи: во-первых, определение оптимальной цены в каждом сегменте. Во-вторых, применение ценовой дифференциации таким образом, чтобы достичь предполагаемых целей и избежать арбитражных операций. Есть три отдельных случая.


Вариант 1. Полностью изолированные сегменты рынка

Сегменты можно отрабатывать по отдельности, тогда арбитражной ситуации не возникает. Объем продаж в сегменте i зависит только от цены pi*. Перекрестная эластичность цен между сегментами в этом случае равна нулю. Для оптимизации не имеет значения, является ли выделение сегментов «естественным» или «произвольным». Важно только, чтобы выделение сегментов дало эффект.

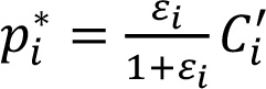
При этих условиях дифференциация цен проста. Оптимальная цена в каждом сегменте рынка определяется сегментно-ориентированной формулой Аморозо – Робинсона:

Иллюстрация к книге — Прайс-менеджмент [i_167.jpg]

где εi – это сегментно-ориентированная ценовая эластичность, а

Иллюстрация к книге — Прайс-менеджмент [i_168.jpg]
– сегментно-ориентированные маржинальные затраты. Иными словами, каждый сегмент должен удовлетворять условию «маржинальный доход = маржинальные затраты». Следовательно, если маржинальные затраты (с учетом цены) в двух сегментах равны, маржинальный доход (но не цены!) также должны быть равны в оптимальном случае.


Вариант 2. Частично изолированные сегменты рынка

Если сегменты не являются изолированными или разделенными, как в варианте 1, сегментно-ориентированная функция «цена-отклик» имеет следующий вид:

Иллюстрация к книге — Прайс-менеджмент [i_169.jpg]

Перекрестная ценовая эластичность между двумя сегментами положительная, как для конкурентных продуктов.

Это значит, что рост цен в одном сегменте ведет к частичному смещению потребителей в сегмент с более низкой ценой [4]. Оптимальные сегментно-ориентированные цены определяются частичным производным функции прибыли и решением получившейся системы уравнений. Условие оптимальности обеспечивается в несколько этапов:

Вход
Поиск по сайту
Ищем:
Календарь