Книга Прайс-менеджмент, страница 75 – Герман Симон

Авторы: А Б В Г Д Е Ж З И Й К Л М Н О П Р С Т У Ф Х Ч Ш Ы Э Ю Я
Книги: А Б В Г Д Е Ж З И Й К Л М Н О П Р С Т У Ф Х Ц Ч Ш Щ Ы Э Ю Я
Бесплатная онлайн библиотека LoveRead.in

Онлайн книга «Прайс-менеджмент»

📃 Cтраница 75

5.4.3.4. Ценовая оптимизация для функции Гутенберга

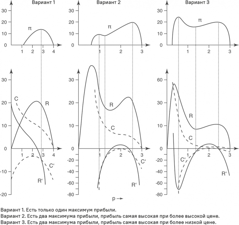
Гутенберговская функция «цена-отклик» (см. рис. 3.6) дает более сложные кривые прибыльности. Это может быть либо глобальный максимум, либо два локальных максимума. В каждой из этих точек выполняется общее условие «маржинальный доход = маржинальные затраты».

Таким образом, недостаточно знать только одну цену, при которой выполняется данное условие. Нужно найти глобальный максимум прибыли.

Различные случаи лучше всего проиллюстрировать численными примерами. Предполагаем, что существует следующая функция Гутенберга «цена-отклик»:

Иллюстрация к книге — Прайс-менеджмент [i_130.jpg]

Переменная p представляет собой либо конкурентную цену (если мы смотрим на ценовую разницу с конкурентами), либо предыдущую цену (если смотрим на влияние ценового изменения).

В каждом примере устанавливаем a = 10 и p = 2. Возьмем линейную функцию затрат с переменными удельными затратами k. Есть три возможных варианта, как показано в табл. 5.4:


Таблица 5.4. Значения параметров для трех вариантов функции Гутенберга

Иллюстрация к книге — Прайс-менеджмент [i_131.jpg]
Иллюстрация к книге — Прайс-менеджмент [i_132.jpg]

Рис. 5.7. Три варианта функции Гутенберга


На рис. 5.7 представлены три этих случая. В верхней части рисунка показаны функции прибыли, где можно распознать максимумы прибыли и оптимальные цены.

В нижней части поясняется, как были выведены эти кривые. С этой целью кривые, показанные сплошной линией, отражают прибыль R и маржинальный доход R'. Пунктирными линиями показаны затраты С и маржинальные затраты С'.


Таблица 5.5. Оптимальные значения для трех вариантов функции Гутенберга

Иллюстрация к книге — Прайс-менеджмент [i_133.jpg]

Тонкие вертикальные линии отмечают соответствующие позиции максимумов и минимумов функции прибыльности, которые всегда совпадают, если маржинальный доход равен маржинальным затратам, то есть там, где кривые пересекаются.


Вариант 1. Один максимум прибыли

Если функция Гутенберга имеет незначительный излом, тогда есть только один максимум прибыли. Снижение цен не вызывает достаточного спроса и, таким образом, сокращает прибыль. Оптимальная цена лежит в верхнем конце монополистической части функции Гутенберга.


Вариант 2. Два максимума прибыли. Оптимальна более высокая цена

Функция Гутенберга в этом случае имеет более сильный излом, так что есть второй максимум прибыли при низкой цене. Однако излом выражен недостаточно. Это означает, что увеличенные объемы продаж по сниженной цене не смогут компенсировать падение удельной контрибуционной маржи. Повышение прибыли дает более высокая цена. Оптимальная цена опять-таки лежит в верхнем конце монополистической части функции Гутенберга. Это указывает на позиционирование в премиальном сегменте.


Вариант 3. Два максимума прибыли. Оптимальна более низкая цена

Это случай, когда функция Гутенберга имеет выраженный излом. Объем продаж намного сильнее реагирует на крупные ценовые отклонения или снижения, чем на незначительные. Чем больше растет ценовая эластичность при снижении цены, тем выше вероятность варианта 3, а также того, что глобальный максимум прибыли будет достигнут при низкой цене. В этом случае оптимально низкоценовое позиционирование.

В табл. 5.5 представлен обзор оптимальных значений трех вариантов функции Гутенберга.

Функция затрат влияет на ценовое позиционирование. Постоянные или низкие маржинальные затраты или же затраты, сопровождающиеся падением объемов, благоприятствуют низкоценовому позиционированию, в то время как постоянные и высокие или неуклонно увеличивающиеся маржинальные затраты говорят в пользу позиционирования в премиальном сегменте цен.

Если обобщить влияние эффектов затрат и цен (последние попадают в категорию функций «цена-отклик» со слабым или сильным изломом), то можно сформулировать качественные рекомендации, представленные в табл. 5.6.


Таблица 5.6. Качественные рекомендации для различных вариантов функции Гутенберга и маржинальных затрат

Иллюстрация к книге — Прайс-менеджмент [i_134.jpg]
Иллюстрация к книге — Прайс-менеджмент [i_135.jpg]

Обзор

Ниже мы обобщим выводы относительно ценового позиционирования с функцией Гутенберга «цена-отклик». Могут иметь место два локальных максимума прибыли. Первый находится в точке премиальной цены; второй, если он есть, находится в точке заметно более низкой цены. Непременными условиями максимума прибыли на низком ценовом уровне являются сильный излом функции «цена-отклик» и низкие маржинальные затраты. За счет потенциального наличия двух максимумов прибыли измерение и анализ функции «цена-отклик» должны охватывать большой ценовой диапазон. Если брать только одну цену там, где маржинальный доход равен маржинальным затратам, это не гарантирует максимальной прибыли. Нужно выяснить, какой из двух максимумов прибыли является глобальным.

5.4.4. Ценовая оптимизация на олигопольном рынке

В случае олигополии компания должна учитывать реакцию конкурентов. Это значительно осложняет принятие ценовых решений. В целом при олигополии нет определенной оптимальной цены. Цена вместо этого зависит от предположительного поведения конкурентов. Проблема состоит в том, чтобы установить цену, которая окажется оптимальной после отклика конкурентов. Чтобы осуществить это эффективно, нужно брать в расчет функции реакции конкурентов, а не функцию «цена-отклик» потребителей:

Иллюстрация к книге — Прайс-менеджмент [i_136.jpg]

Функция реакции ri описывает, как олигополист i отреагирует на ценовые действия конкурента j. Теоретически можно обосновать различия индивидуальных функций реакции, поскольку конкуренты действительно могут реагировать по-разному. Однако определять подобные детализированные функции эмпирическим путем непрактично. Подобно прогнозированию функций «цена-отклик», имеет смысл использовать укрупненную форму функции реакции. Тогда средняя цена конкурентов будет служить пояснительной переменной с точки зрения олигополиста j. Получаем формулу

Иллюстрация к книге — Прайс-менеджмент [i_137.jpg]

Отсюда необходимо определить только одну функцию реакции. Но это также значит, что любая дифференцированная реакция конкурентов не будет учтена. Компромиссным решением между функциями (5.4) и (5.5) будет сгруппировать бренды, демонстрирующие сходные реакции (например, магазинные бренды и заводские или брендированные товары и неизвестные марки). Как правило, обычно выбирают самую простую форму. Следуя данной логике, мы используем упрощенную версию.

Вход
Поиск по сайту
Ищем:
Календарь