Книга Прайс-менеджмент, страница 160 – Герман Симон

Авторы: А Б В Г Д Е Ж З И Й К Л М Н О П Р С Т У Ф Х Ч Ш Ы Э Ю Я
Книги: А Б В Г Д Е Ж З И Й К Л М Н О П Р С Т У Ф Х Ц Ч Ш Щ Ы Э Ю Я
Бесплатная онлайн библиотека LoveRead.in

Онлайн книга «Прайс-менеджмент»

📃 Cтраница 160
Иллюстрация к книге — Прайс-менеджмент [i_361.jpg]

Потенциальные параметры цен, устанавливаемых на основе эффективности, относятся к времени (время выхода на рабочий режим, время на техобслуживание), качеству (уровень качества, допуск на обработку, количество жалоб клиентов), объему или стоимости (операционная деятельность; выход продукта; доля дохода или контрибуционной маржи; изменения затрат на расходные материалы, топливо и энергию; затраты на персонал).


Инструменты хеджирования цен

При долгосрочных контрактах необходимо договариваться о корректировке возможных колебаний затрат. Колебания цен на товарно-сырьевые ресурсы или затраты на рабочую силу вносят неопределенность в прогнозирование затрат и, таким образом, затрудняют ценообразование. Эти колебания сильно влияют на прибыльность проекта. У поставщика есть несколько инструментов обращения с такими рисками: фиксированные цены, условные цены, выставление открытых счетов и статьи о скользящих ценах.

В предложениях с фиксированной ценой фиксированная надбавка (например, 5 %) часто добавляется к заявке как компенсация возможного повышения цен в будущем. После согласования эта цена больше не может меняться, то есть клиент не несет больше ценового риска. Если изменения будущих затрат недооценены, разницу покрывает поставщик. Если они переоценены, поставщик получает дополнительную прибыль.

Соглашения по ценам, которые подлежат изменению, то есть условным ценам, позволяют поставщику переложить задокументированные понесенные издержки на заказчика. В зависимости от структуры соглашения заказчик в этом случае несет частичный или полный риск. В качестве примера можно привести так называемую «оговорку о форс-мажорных обстоятельствах», которая позволяет поставщику, согласно условиям контракта, объявить недействительными согласованные цены в обстоятельствах непреодолимой силы (например, природная катастрофа) и обсудить новые цены, отражающие изменившуюся ситуацию. В одной такой ситуации, в условиях недостатка на рынке предложения полиэтилена низкой плотности (ПЭНП), многие поставщики химикатов ввели в действие форс-мажорные оговорки своих контрактов и заявили, что не имеют возможности исполнить обязательства по поставкам. Это подняло среднюю цену ПЭНП примерно на 20 % в течение 4 месяцев [56].

В ситуации открытого счета только заказчик несет риск повышения издержек. В ходе производственного процесса поставщик и заказчик договариваются о том, что именно первый поставляет и каковы реальные издержки. Подобный вариант выставления счетов используется относительно тех компонентов услуг или поставок, издержки которых нельзя адекватно оценить в момент переговоров. Две стороны могут договориться об ограничении количества, чтобы ограничить риск заказчика.

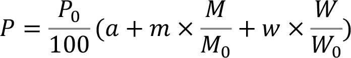
Статьи в контракте о скользящих ценах допускают, чтобы изменения определенных основных издержек (например, рабочая сила, материалы) были отражены в конечной цене для заказчика. Стандартную формулу дает Европейская экономическая комиссия ООН [1].

Иллюстрация к книге — Прайс-менеджмент [i_362.jpg]

где P – конечная цена,

P0 – цена в начале периода выставления счета;

a – не подлежащая корректировке составная часть цены;

m – доля материальных затрат в цене;

w – доля затрат на рабочую силу в цене;

M0 – материальные затраты (начало периода выставления счетов);

M – материальные затраты (конец периода выставления счетов);

W0 – затраты на рабочую силу (начало периода выставления счетов);

W – затраты на рабочую силу (конец периода выставления счетов);

a + m + w = 100.


Реализация данного подхода требует определить весовые коэффициенты и начальные значения, а также осуществлять мониторинг отдельных элементов [1]. Эти данные, а также доля затрат на рабочую силу в цене, зачастую не известны в достаточной мере. Поэтому отмечается тенденция отката назад к традиционным отраслевым средним показателям. Поскольку статья о скользящих ценах также создает неопределенность при планировании, многие заказчики вместо этого настаивают на контракте с фиксированными ценами.

Другая проблема – это требование прозрачности, которое данные статьи предъявляют к поставщику. Клиенты часто требуют осуществить полную разбивку ценовой формулы, а поставщики обычно не желают столь подробно раскрывать свои издержки. В арендных договорах часто есть статьи об индексе цен, обычно использующие в качестве индикатора индекс потребительских цен (ИПЦ). Аренда полностью или частично корректируется после определенного периода времени или когда индекс превышает заранее согласованный уровень.

Заключение

Прайс-менеджмент промышленных товаров отличается специфическими свойствами. Относительно различных этапов процесса прайс-менеджмента можно говорить о следующем.


• На этапе анализа задача – это получить понятие о закупочном центре (ЗЦ). Закупочный центр включает всех, кто влияет на принятие решения о покупке. В зависимости от их роли или степени влияния в ЗЦ мотивацией для участников служат различные соображения. Поставщику это следует учитывать и в структуре предложения, и в манере ведения переговоров. Знание того, как ЗЦ оценивает предложение (например, схема или критерии оценки), полезно при оптимизации предлагаемой цены.

• На этапе принятия ценового решения имеют значение ценообразование исходя из ценности для потребителя, ценообразование исходя из издержек и аукционы. При ценообразовании исходя из ценности для потребителя поставщик в качестве базы для назначения цен применяет индекс эффективности или ценности. Для измерения ценности поставщик может пользоваться оценками собственного персонала, анализом экономической эффективности, оценками фокус-групп или методом совместных измерений.

• Для специфических проектов или предложений «под заказ» при назначении цен используются расчеты на основе издержек. К методам, в основу которых положена единственная переменная, относятся ценовая модификация, метод «вес-издержки» и метод «материалы-издержки».

Другие методы, такие как предполагаемые показатели и научение, основаны на множественных переменных, взятых из соответствующих проектов и существующих данных или прогнозов.

• Во многих промышленных отраслях и в государственном секторе для заключения контрактов используются аукционы. На основе технического задания или запроса о предложении участники торгов представляют свои ценовые предложения. Поставщик, предлагающий самую низкую цену, как правило, выигрывает аукцион. В принципе задача поставщика здесь – найти возможно более высокую цену, которая всё же окажется ниже цены ближайшего конкурента. Здесь можно воспользоваться моделями на основе теории игр или теории принятия решений. Вообще говоря, модель теории принятия решений исходит из максимизации ожидаемого показателя прибыли с учетом вероятности победы в тендере.

Вход
Поиск по сайту
Ищем:
Календарь