Книга Прайс-менеджмент, страница 144 – Герман Симон

Авторы: А Б В Г Д Е Ж З И Й К Л М Н О П Р С Т У Ф Х Ч Ш Ы Э Ю Я
Книги: А Б В Г Д Е Ж З И Й К Л М Н О П Р С Т У Ф Х Ц Ч Ш Щ Ы Э Ю Я
Бесплатная онлайн библиотека LoveRead.in

Онлайн книга «Прайс-менеджмент»

📃 Cтраница 144

4. Производители и ритейлеры осуществляют совместную максимизацию прибыли. Распределение прибыли происходит за счет продажной цены производителя, которая является предметом переговоров на следующем этапе.


Баланс сил между этими двумя сторонами может меняться в зависимости от ритейлера, при этом для одного и того же продукта одного и того же производителя могут применяться одновременно несколько сценариев. Управление потребителями и ключевыми клиентами пытается учесть вытекающую отсюда потребность в дифференциации. Баланс сил между производителем и ритейлером зависит не только от размера (экономика масштабов), но и от широты ассортимента (экономика расширения охвата). Производитель с широким ассортиментом в целом имеет более прочную переговорную позицию, чем компания, которая предлагает небольшое количество товаров и в силу этого сильнее зависит от посредника. Philip Kotler [1] отмечает в этой связи, что «Procter & Gamble, продающая более сотни различных продуктов P&G в супермаркетах, обладает явным преимуществом в силе перед компаниями, представляющими только один продукт».

Далее мы поговорим о ценовой оптимизации для производителя, который продает продукцию конечному пользователю не напрямую, а через посредников. Для производителей потребительских товаров таким посредником, или торговым партнером, обычно является ритейлер. Мы будем рассматривать только те случаи, когда у производителя есть возможность проводить активную ценовую стратегию.

• Производитель определяет как собственную цену продажи, так и цену для конечных потребителей.

• Производитель определяет только собственную цену продажи для ритейлеров.

• Производитель и ритейлер нацелены на совместную максимизацию прибыли, при этом цена продажи производителя является предметом переговоров как средство распределения общей прибыли.

Мы ограничимся статичной ситуацией: есть только один уровень сбыта между производителем и конечным потребителем. Но анализ здесь фундаментально не отличается от анализа варианта с множественными уровнями сбыта. Ценообразование на многоуровневых рынках много раз освещалось в литературе, например, в работах [2–8].

10.2.1. Производитель устанавливает и собственную цену продаж, и цену для конечного потребителя

В этой ситуации производитель имеет в своем распоряжении два действенных инструмента: цену продажи производителя pM и цену для конечного потребителя p. Установление этих цен также определяет маржу ритейлера согласно уравнению s = p – pM.

Для принятия решения как такового значение имеет только фактическая возможность реализовать желаемую цену потребителя. Законность этой цены на самом деле значения не имеет. В действительности в большинстве стран воспрещена жесткая практика вертикальных ценовых картелей. Аналогичное отношение к вертикальному (розничному) ценовому картелю имеет необязывающая предлагаемая розничная цена, которая является рекомендацией для розничной торговли. В некоторых секторах посредник в системе продаж действует как агент производителя или осуществляет продажи на комиссионной основе. Такие системы можно оценивать аналогичным образом, поскольку посредник не имеет полномочий принятия ценовых решений. Это применимо, например, к автозаправкам, которые часто осуществляют продажи как агенты.

В последнее время активизировались дискуссии по вопросу поддержания розничных цен [9–11], поскольку производители брендовых продуктов стараются защититься от практики, когда ритейлеры пользуются их продуктами как товарами-приманками, которые продаются в убыток. Они опасаются, что такая практика подрывает имидж бренда. Это стало причиной как минимум одного судебного процесса (Leegin Creative Leather Products, Inc. против PSKS, Inc.) в Верховном суде США. Решение было принято в пользу производителя Leegin.

Такой сценарий соответствует практике, поскольку производители (в частности, крупные) и ритейлеры (особенно мелкие) придают большое значение рекомендуемой розничной цене производителя (РРЦП). В особенности это проявляется в розничной торговле специализированными товарами, где в агрессивных каналах сбыта назначаются цены ниже РРЦП. Этот эффект обостряют интернет-продажи.

Есть два вида ценовых рекомендаций. Один вариант – это рекомендуемая ритейлеру цена, другой – рекомендованная цена для потребителя. Рекомендуемая ритейлеру цена, которая известна только ритейлеру, но не конечному пользователю, встречается чаще, чем рекомендованная цена для потребителя, известная последнему. Мелкие ритейлеры оценивают рекомендованную цену как основу для назначения собственной цены. Напротив, крупные ритейлеры рассматривают снижение рекомендованной цены как возможность приобрести дополнительных клиентов («ценовой эффект луны»). Различие в поведении ритейлеров (с точки зрения конкуренции) обеспечивает ценовые рекомендации, которые редко помогают предотвратить конкуренцию на уровне розницы. Сегодня эта цель эффективнее достигается за счет избирательного сбыта, то есть отказа от поставок в каналы с агрессивной ценовой политикой. Многие производители активно стараются стабилизировать и гармонизировать цены у разных ритейлеров, то есть реализовывать свои желаемые или рекомендованные цены.

В целом можно сказать, что сценарии, при которых и продажная цена производителя, и конечная цена для потребителя (потребительская цена) эффективно назначаются производителем, по-прежнему важны с точки зрения практики.

10.2.1.1. Оптимизация конечной цены и маржи

С учетом принятых выше допущений функция «цена-маржа-отклик» для производителя имеет следующий вид:

q = q(p, s),

где p – конечная цена потребителя, а s – маржа ритейлера.

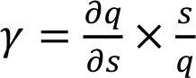
Уровень конечных цен является драйвером реакции потребителей, так что ценовая эластичность с учетом конечной цены отрицательная, как обычно. Уровень маржи определяет усилия, приложенные ритейлером к реализации продукта. Чем выше маржа, тем интенсивнее должны быть усилия. Влияние этих усилий на объем продаж положительное. Как и для ценовой эластичности, можно определить эластичность маржи:

Иллюстрация к книге — Прайс-менеджмент [i_307.jpg]

Данная формула выражает процентное изменение объема продаж (с учетом постоянной конечной потребительской цены p), где маржа ритейлера меняется на 1 %.

Иллюстрация к книге — Прайс-менеджмент [i_308.jpg]

Маржа и конечная потребительская цена оказывают взаимно компенсирующий эффект. Повышение конечной потребительской цены вызывает негативный отклик потребителей, но одновременно приводит к росту маржи ритейлера, если продажная цена производителя остается постоянной. Это в свою очередь стимулирует действия ритейлера, которые ослаб-ляют негативный отклик потребителей. Интуитивно понятно, что оптимальная комбинация конечной потребительской цены и маржи ритейлера находится точно в той точке, где два противодействующих эффекта взаимно компенсируют друг друга. Нижеследующие соображения можно аналогичным образом применять к оптимизации комиссий дилеров, агентов или представителей производителя.

Вход
Поиск по сайту
Ищем:
Календарь