Книга Кожа: мифы и правда о самом большом органе, страница 27 – Андрей Сазонов

Авторы: А Б В Г Д Е Ж З И Й К Л М Н О П Р С Т У Ф Х Ч Ш Ы Э Ю Я
Книги: А Б В Г Д Е Ж З И Й К Л М Н О П Р С Т У Ф Х Ц Ч Ш Щ Ы Э Ю Я
Бесплатная онлайн библиотека LoveRead.in

Онлайн книга «Кожа: мифы и правда о самом большом органе»

📃 Cтраница 27

Надо сказать, что ради красоты люди мучают свой организм не только избыточными количествами воды, но и ее недостатком. Есть миф, согласно которому ограничение потребления жидкости предотвращает возникновение целлюлита. На первый взгляд это утверждение абсолютно логично, поскольку возникновению целлюлита способствует избыток межклеточной жидкости в ячейках подкожной жировой клетчатки. Если пить меньше воды, то ее будет меньше во всем организме, в том числе и в ячейках, верно? А еще при недостатке воды наш организм начинает извлекать ее из жировых запасов. (Можно к месту вспомнить верблюдов, которые в своих наполненных жиром горбах запасают не только энергию, но и воду.)

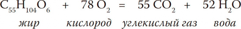
Да, при нехватке воды наш организм (и не только наш) может получать ее из жиров. В результате реакции окислительного распада, то есть распада, в котором принимает участие кислород, жиры распадаются на углекислый газ и воду. Вот пример уравнения подобной реакции:

Иллюстрация к книге — Кожа: мифы и правда о самом большом органе [i_017.jpg]

Но не пытайтесь похудеть, ограничивая прием жидкости! Это очень вредно и неразумно! Мы не верблюды, и наш организм начинает получать воду из жирового запаса лишь после того, как исчерпает все прочие свои резервы, иначе говоря — при выраженном обезвоживании. Доводить дело до такого обезвоживания ради похудания это все равно, что избавляться от перхоти путем отсечения головы. Имейте это в виду и не думайте, что автор преувеличивает или передергивает, сравнивая обезглавливание с обезвоживанием. Выраженное обезвоживание вполне и запросто может привести к летальному исходу.

Значимое снижение объема межклеточной жидкости в подкожной жировой клетчатке, то есть такое снижение, при котором ячейки не будут переполняться жидкостью, может наблюдаться только при том же выраженном обезвоживании. Это первое. И второе — при недостатке межклеточной жидкости, которая служит связующим звеном между клетками и кровью [49], нарушается питание клеток. А мы с вами уже говорили о том, что при нарушении питания вследствие сдавления сосудов избыточным количеством межклеточной жидкости или жира, нормальные клетки подкожной жировой клетчатки замещаются соединительной тканью. В ячейках появляются узелки, септы утолщаются и теряют эластичность, а поверхность кожи становится… Какой? Ну, конечно же бугристой! От чего пытались уйти, к тому и пришли.

Глава десятая
Будь здоров и не потей!

«Не пропотел — зря баню топил».

Народная мудрость
Иллюстрация к книге — Кожа: мифы и правда о самом большом органе [i_004.jpg]

ГЛАША. Мне одна дама в фитнес-центре посоветовала хорошенько утепляться для тренировок, чтобы хорошенько потеть. Тогда в организме не будут накапливаться шлаки. Сама она занимается в зимнем спортивном костюме да еще и под него кучу одежек надевает. Я попробовала разок так одеться, но дольше пятнадцати минут не протянула — тяжело. Пот градом льет, от перегрева голова кружится, да и вид ужасный — будто я во всей этой «сбруе» в бассейне плавала. А ведь никогда не знаешь, в какой момент на тебя обратят внимание…

ДАША. Тут ты права — никогда. Поэтому всегда надо выглядеть на все сто пятьдесят с плюсом. Но потеть-то можно и в бане.

ГЛАША. Дашуль! Ну откуда у меня столько времени, чтобы еще и в банях через день сидеть. Я же работаю и вообще живу насыщенной жизнью! Еле-еле на фитнес с бассейном время выкраиваю, но это уж святое…

ДАША. Если времени в обрез, а в семи одежках заниматься некомфортно, то можешь заняться такой специальной горячей йогой. Ею занимаются в хорошо нагретых залах. Там все одинаково потные, не придется комплексовать по поводу своей внешности.

ГЛАША. А какой смысл заниматься в парилке?

ДАША. Ну как это — какой? Сама подумай. Йога где появилась?

ГЛАША. В Индии.

ДАША. А в Индии жарко, это тропическая страна, и йога приспособлена именно к таким условиям. Так что, если ты хочешь, чтобы тебе йога пошла впрок, надо заниматься ею в индийском климате!


Прежде всего надо сказать, что никаких шлаков в нашем организме быть не может. Сравнивать наш организм с доменной печью это все равно что сравнивать ежа с ужом или яблоки с бубликами. Если ваши почки справляются со своей работой, а кишечник регулярно опорожняется без каких-либо проблем, то вы можете не волноваться относительно задержки чего-то лишнего в вашем организме. Токсическое отравление организма продуктами собственной жизнедеятельности является следствием какой-то серьезной болезни и требует не «очистки» организма под руководством каких-то шарлатанов, а обращения к врачу. Кое-что наш организм способен накапливать. Но это не «шлаки», а жир — энергетический запас «на черный день» [50].

Всегда приятно получить двойную пользу от какого-то занятия. Если тренировка в спортзале не только укрепляет организм, но и очищает его, так это замечательно! И ведь для этого не нужно дополнительных усилий. Достаточно одеться потеплее или же заниматься в «горячем» помещении.

Заниматься на тренажерах можно хоть в пуховике, точно так же можно развлекаться с гантелями в сауне. Никто этого не запрещает. Но, предаваясь подобным развлечениям, не стоит упускать из внимания возможность получения теплового удара. Тепловой удар и вообще перегрев организма — это глубокая и серьезная тема, которую так вот мимоходом осветить невозможно. Если вы хотите узнать больше, то почитайте медицинскую или научно-популярную литературу по этой теме. Здесь и сейчас можно только сказать, что перегрев организма приводит к серьезным нарушениям жизнедеятельности вплоть до остановки сердца. Так что будьте осторожны! Как говорят англичане: «береги себя, если не хочешь, чтобы с тобой что-то случилось».

Полезно ли потеть?

С целью охлаждения организма однозначно полезно. Собственно, для охлаждения потовые железы и были задуманы Матерью-природой. А что из этого следует? Из этого следует, что главной составляющей пота должна быть вода, ведь именно она при испарении уносит с собой часть тепла. Все прочее — вторично.

А вот в моче первичны вещества, которые растворены в воде, потому что смысл работы почек состоит именно в их выведении из организма. К этим веществам относятся азотистые продукты распада белковых веществ (мочевина, мочевая и гиппуровая кислоты, креатинин, ксантин, уробилин, индикан) и некоторые соли (хлориды, сульфаты, фосфаты и пр.). Излишек воды также выводится с мочой, но его выведение можно условно считать второстепенным. Главная задача почек — вывести продукты распада белков и ненужные организму соли.

Вход
Поиск по сайту
Ищем:
Календарь