Книга Человек 2050, страница 36 – Евгений Именитов

Авторы: А Б В Г Д Е Ж З И Й К Л М Н О П Р С Т У Ф Х Ч Ш Ы Э Ю Я
Книги: А Б В Г Д Е Ж З И Й К Л М Н О П Р С Т У Ф Х Ц Ч Ш Щ Ы Э Ю Я
Бесплатная онлайн библиотека LoveRead.in

Онлайн книга «Человек 2050»

📃 Cтраница 36

Необходимо понимать, что почти повсеместно в окружающем нас мире мы можем наблюдать действие принципа подобия.

Он следующий: протекающие на макро- и микроуровнях процессы подобны между собой.

Чтобы понять процессы, происходящие в эфире, можно использовать аналоги движения и взаимодействия тел в воде или других жидкостях.

Собственно, об этом же говорит и первый принцип теории относительности Эйнштейна: в любых инерциальных системах все физические процессы – механические, оптические, электрические и другие – протекают одинаково. Это утверждение является принципиально верным. Здесь Эйнштейн фактически обобщил понятие относительности, открытое еще Г. Галилеем: «никакими механическими опытами, проведенными внутри системы, невозможно установить, покоится система или движется равномерно и прямолинейно» (механический принцип относительности).

Ошибочным является второй принцип – постоянства скорости света, согласно которому скорость света в вакууме не зависит от движения источника и приемника, она одинакова во всех направлениях, во всех инерциальных системах и равна 3·108 м/с.

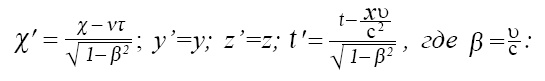
Из второго ошибочного постулата вытекают формулы Эйнштейна, которые он назвал преобразованиями Лоренца.

Преобразования Галилея для случая равномерного движения вдоль оси ox подвижной системы относительно неподвижной имели вид:


xʹ = x – vt; yʹ = y; zʹ = z; tʹ = t.


x, y и z – координаты тела в трехмерном пространстве, t – это время, c – скорость света в преобразовании Лоренца.

Преобразования Лоренца (Эйнштейн) выглядят следующим образом:

Иллюстрация к книге — Человек 2050 [i_009.jpg]

Очевидно, что при низких скоростях преобразование Эйнштейна почти тождественно (на уровне минимальной погрешности, которой можно пренебречь) преобразованию Галилея. При росте скоростей предельная скорость ограничена скоростью света и искажение растет.

В целом замечательной особенностью А. Эйнштейна была его способность делать правильные выводы при неверных теоретических постулатах. Так, им правильно было замечено, что световые лучи искривляются в гравитационном поле. Почему-то все приписывают этот вывод теории относительности. Между тем этот вывод не противоречит и обычной механике И. Ньютона.

Тяготение (гравитация) во Вселенной распространяется быстрее скорости света. Например, Земля находится в постоянной гравитационной связи с Солнцем. Отметим чрезвычайную астрономическую строгость этой связи. Однако свет от Солнца до Земли идет более 8 минут, в то время как гравитация распространяется мгновенно. Это очевидное доказательство несостоятельности второго постулата Эйнштейна.

Противоречивость теорий Эйнштейна была очевидна его современникам. Именно поэтому Нобелевская премия по физике была присуждена ученому не за ТО и СТО, а за открытие законов фотоэффекта (1922 год).

Почти на каждом очередном витке развития современной физики – квантовой механики – выявлялась ошибочность постулатов общей и специальной теорий относительности А. Эйнштейна, которые в очередной раз ставились под сомнение. Однако каждый раз тотализированный авторитет Эйнштейна возобладал над здравым смыслом. Вероятно, ситуация изменится лишь тогда, когда человечество обретет какое-либо материальное приспособление (например движитель), работающее на иных принципах, чем предусмотрено в ТО/СТО, что и станет историческим финалом указанной теории.

А пока вернемся на 55 лет назад.

Раскрыв на 22 странице журнал «Техника – молодежи» № 2 за 1964 год, мы обнаруживаем обзорную статью «Элементарны? Нет, неисчерпаемы!», в которой опубликованы взгляды на квантовую механику известных физиков-ядерщиков XX столетия: Д.И. Блохинцева, М.А. Маркова, Б.М. Понтекорво (АН СССР), П.А.М. Дирака65 (Великобритания).

Для нас наиболее интересна приведенная там провидческая статья Поля Дирака («Эволюция физических представлений о природе»), из которой позволим процитировать некоторые фрагменты66:

«Эйнштейн внес и другой важный вклад в развитие физической теории: он разработал общую теорию относительности, в которой учитывается искривление пространства. Общая теория относительности требует, чтобы все законы физики были сформулированы для искривленного четырехмерного пространства и чтобы они обладали симметрией в четырех измерениях. Но если четырехмерное пространство искривлено, то и любое его сечение также должно быть искривлено! Таким образом, мы должны брать искривленные трехмерные сечения искривленного четырехмерного пространства и обсуждать результаты наблюдения физических явлений в этих сечениях.

В последние годы ученые пытаются применить положения квантовой теории к гравитации и другим физическим явлениям, что привело к довольно неожиданным результатам. Эти результаты дали мне повод усомниться в необходимости требования четырехмерности в физике.

Получается, что четырехмерная симметрия не имеет такого всеобъемлющего значения, тем более что при отказе от требования четырехмерной симметрии иногда гораздо проще описывать явления природы.

Термин „квант“ был введен в физику после того, как Планк выдвинул гипотезу, что энергия электромагнитных волн может принимать только те значения, которые кратны некоторой величине, зависящей от частоты волн. Эйнштейн пришел к той же самой единице энергии при изучении фотоэлектрического эффекта.

Первым новым представлением в области квантовой теории была модель атома, предложенная Бором. Согласно этой модели электроны вращаются вокруг ядра по закрепленным орбитам, иногда делая скачок с одной орбиты на другую.

Большим достижением явилось открытие квантовой механики в 1925 году. К этому открытию пришли разными путями и совершенно независимо друг от друга сразу два человека: Гейзенберг и несколько позже Шредингер. Гейзенберг исходил из экспериментальных данных, Шредингер – из чисто математических соображений. Шредингер рассказывал мне, что, впервые выведя свое уравнение, он немедленно применил его для описания поведения электрона в атоме водорода, но полученные результаты не совпадали с экспериментальными данными, потому что физиками еще не было открыто явление спина. Автор, естественно, был глубоко разочарован и несколько месяцев не возвращался к этой теме. Затем он обнаружил, что если в его теории не учитывать некоторых требований теории относительности, то в таком приближенном виде его выводы хорошо согласовывались с экспериментальными данными. Именно в этом грубом приближении он и написал статью, и в таком виде волновое уравнение Шредингера впервые увидело свет.

Открытие квантовой механики привело к крутой ломке взглядов физиков на мир. Новая теория не предсказывает с достоверностью, что должно случиться в будущем, а дает информацию лишь о вероятности наступления того или иного события. Такой отказ от детерминизма (определенности) в физике подвергался серьезным нападкам, а некоторые ученые, в особенности Эйнштейн, его вообще не признавали».

Вход
Поиск по сайту
Ищем:
Календарь