Книга Мозг Брока, страница 98 – Карл Эдвард Саган

Авторы: А Б В Г Д Е Ж З И Й К Л М Н О П Р С Т У Ф Х Ч Ш Ы Э Ю Я
Книги: А Б В Г Д Е Ж З И Й К Л М Н О П Р С Т У Ф Х Ц Ч Ш Щ Ы Э Ю Я
Бесплатная онлайн библиотека LoveRead.in

Онлайн книга «Мозг Брока»

📃 Cтраница 98

T = (nσv)–1.

T называется средним временем свободного пробега.

В реальности, конечно, комета будет двигаться по эллиптической орбите, и на время столкновения будут до какой-то степени влиять гравитационные силы. Тем не менее легко показать (см., например, Urey, 1951), что для типичных значений v и относительно кратких отклонений в истории Солнечной системы, какие рассматривает Великовский, гравитационное воздействие не должно сильно увеличить эффективное поперечное сечение σ, и грубое вычисление с использованием вышеприведенного уравнения должно дать приблизительно верные результаты.

У объектов, которые с давних времен в истории Солнечной системы оставляли ударные кратеры на Луне, Земле и внутренних планетах, сильно эксцентричные орбиты: это кометы и в особенности объекты группы Аполлона, которые являются или мертвыми кометами, или астероидами. Используя простые уравнения среднего времени свободного пробега, астрономы могут посчитать с хорошей точностью, скажем, количество кратеров на Луне, Меркурии или Марсе, образовавшихся за всю историю этих объектов: они образовались в результате случайного столкновения астероида из группы Аполлонов или реже какой-нибудь кометы с лунной или планетной поверхностью. Также уравнение точно прогнозирует возраст самых последних ударных кратеров на Земле, таких как Метеор, штат Аризона. Эти количественные соответствия между наблюдениями и физикой простого столкновения указывают на то, что и данную проблему можно рассмотреть в таком же ключе.

Теперь мы можем сделать вычисления применительно к основной гипотезе Великовского. В настоящее время нет аполлонов диаметром более нескольких десятков километров. Размеры объектов в астероидном поясе, и на самом деле везде, где столкновения определяют размеры, можно понять посредством физики измельчения. Количество объектов в данном диапазоне размеров пропорционально радиусу объекта в какой-то отрицательной степени, обычно от 2 до 4. Следовательно, если бы комета Великовского, превратившаяся в Венеру, была членом какого-то семейства объектов, как аполлоны или кометы, вероятность найти одну комету Великовского радиусом 6000 км была бы намного меньше одной миллионной вероятности найти комету радиусом 10 км. Более реалистичные оценки показывают, что эта разница вероятностей ближе к миллиарду, но давайте попробуем поверить Великовскому.

Поскольку существует около десяти аполлонов радиусом более 10 км, вероятность, что среди них есть одна комета Великовского, в таком случае гораздо меньше 1 к 100 000. Равновесное содержание таких объектов составит тогда (для r = 4 а.е. и i = 1,2°): n = (10 × 10–5) / 4 × 1040 = 2,5 × 10–45 комет Великовского на 1 см³. Среднее время свободного пробега до столкновения с Землей составит тогда: T = 1 / (nσv) = 1 / [(2,5 × 10–45 см-3) × (5 × 1018 см²) × (2 × 106 см/с-1)] = 4 × 1021с ≃ 1014 лет, что гораздо больше возраста Солнечной системы (5 × 109 лет). Иными словами, если бы комета Великовского принадлежала к популяции других сталкивающихся обломков во внутренней Солнечной системе, она была бы таким редким объектом и, по сути, никогда не столкнулась бы с Землей.

Но давайте все же чисто теоретически допустим, что гипотеза Великовского верна, и зададимся вопросом, сколько потребуется его комете после отделения от Юпитера, чтобы столкнуться с планетой во внутренней Солнечной системе. В таком случае n обозначает распространенность планет-мишеней, а не комет Великовского, а T = 1 / [(10–40 см-3) × (5 × 1018 см²) × (2 × 106 см/с-1)] = 1015 с = 3 × 107 лет. Таким образом, вероятность того, что «комета» Великовского один раз столкнулась или прошла по касательной к Земле за последние несколько тысяч лет, равна (3× 104) / (3 × 107) = 10–3, или 1 шанс из 1000, если она не принадлежала к другим популяциям обломков. Если же она принадлежала к таким популяциям, шансы поднимаются до (3× 104) / 1014 = 3 × 10–10, или 1 шанс на 3 млрд.

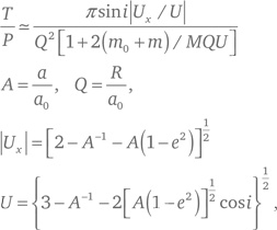
Более точную формулировку теории орбитального столкновения можно найти в классическом труде Эрнста Эпика (1951). Он рассматривает мишень с массой m0, с орбитальными элементами [214] a0, e0 = i0 = 0, вращающуюся по орбите вокруг центрального объекта с массой M. Тогда у изучаемого объекта с массой m, с орбитальными элементами a, e, i и периодом P есть характерное время T до приближения на расстояние R к мишени, где

Иллюстрация к книге — Мозг Брока [i_009.jpg]

здесь: U – это относительная скорость «на бесконечности», а Ux – ее компонент вдоль линии узлов (точек пересечения орбит).

Если R – физический радиус планеты, тогда

Иллюстрация к книге — Мозг Брока [i_010.jpg]

Для применения результатов Эпика к настоящей проблеме уравнения сводятся к следующему приближению:

Иллюстрация к книге — Мозг Брока [i_011.jpg]

Используя P ≃ 5 лет (a ≃ 3 а.е.), мы имеем:

T ≃ 9 × 109sin i лет,

или около ⅓ среднего времени свободного пробега из более простого аргумента выше.

Заметьте, что в обоих расчетах при приближении на N радиусов Земли вероятность физического столкновения возрастает в N² раза. Таким образом, для N = 10, то есть прохождения на расстоянии 63 000 км, вышеприведенные значения T нужно снизить на два порядка. Это около 1/6 расстояния между Землей и Луной.

Для применения сценария Великовского необходимо более тесное сближение: в конце концов, книга называется «Столкновение миров» (Worlds in Collision). Также утверждается, что в результате прохождения Венеры мимо Земли вода в океанах поднялась до высоты 2,5 км. Исходя из этого, легко решить обратную задачу с помощью простой теории приливов (высота прилива пропорциональна M/r², где M – это масса Венеры, а r – расстояние между планетами во время столкновения), что Великовский говорит о прохождении по касательной: поверхности Земли и Венеры соприкасаются! Но заметьте, что даже прохождение на расстоянии 63 000 км не освобождает гипотезу от проблем физики столкновения, которые очерчены в этом приложении.

Вход
Поиск по сайту
Ищем:
Календарь