Книга Коллекция «Romantic» , страница 74 – Шарлотта Ульрих

Авторы: А Б В Г Д Е Ж З И Й К Л М Н О П Р С Т У Ф Х Ч Ш Ы Э Ю Я
Книги: А Б В Г Д Е Ж З И Й К Л М Н О П Р С Т У Ф Х Ц Ч Ш Щ Ы Э Ю Я
Бесплатная онлайн библиотека LoveRead.in

Онлайн книга «Коллекция «Romantic» »

📃 Cтраница 74

В субботу, как только я вошла в кабинет, Костик сразу же вскочил:

— Садись со мной.

Он был за третьей партой, впереди Громов. Я улыбнулась смущенно и быстро прошла к Костику. Сразу же напала неловкость, но я пересилила ее и взглянула на Костика: светлые глаза, светлые ресницы, челка, спадающая на лоб и тонкая кожа. Всё это… приносило мне невероятное удовольствие… Костик, почувствовав мой взгляд, посмотрел на меня, а я удивилась, что не отвела глаза, и улыбнулась.

Мы сидим за одной партой… одной партой… и светлые волосы…

Затем я отвела глаза в сторону и увидела Геру, он сидел на первой парте в среднем ряду. Я пожалела, что посмотрела на него и зареклась в ту сторону больше не глядеть.

Громов обернулся к нам и нагло меня оглядел.

— Что? — спросила его бровями, Громов в свою очередь обратился не ко мне, а к Костику.

— Ты был сегодня на завтраке? — зачем-то спросил у него.

— Нет, — спокойно ответил Костик. — А ты?

Громов тянул с ответом, но не отворачивался. Взял ручку у Костика, осмотрел, отдал, потянулся за моей, я инстинктивно дернулась, чтобы не отдавать ее, это была та, моя любимая ручка, и случайно коснулась руки Громова. А он как будто этого и добивался.


После занятий мы снова ходили по городу, пришли в подъезд, остановились у окна, целовались.

— Я побрился, — сказал Костик.

— Я заметила, — усмехнулась, притянула к себе и поцеловала чувственно, Костик обалдел.


— Почему ты в четверг оказался с нами?

— Ребята позвали, я пошел. Но рад, что там оказался. Когда там увидел тебя, очень обрадовался.

— Но ты не подошел.

— Не сумел, но когда ты взглянула на меня, я представил твои губы на своих…

— ДА???

— Еще я у Грина спрашивал, как тебя зовут.

— Как спрашивал?

— Так и спрашивал: «Слушай, Володь, как ее зовут?» Он ответил, и я сразу про себя повторил. Ты мне еще в десятом классе понравилась.

Потом Костик провожал меня на поезд. Дашка и Люба стояли в стороне, пока мы целовались.

— Держи, — подал он кассету. — Это мелодичный рэп. Послушай, может, понравится.

Еще он стоял у окна вагона, пока поезд не тронулся.


— Ты хоть знаешь, что с твоим Джо было, когда ты сбежала? — мы поехали, Костик исчез из виду, и Люба оторвала меня от окна.

— Что?

— Он сел, так и сидел, почти неподвижно, пока дискотека не кончилась. Может, и дольше, но мы ушли.

Я легко представила это: Гера с опущенной головой смотрит в пол и никого не замечает.

Мимо проплывал дом Саши, я всегда провожала его глазами, когда отъезжала от города.

Куда он делся? Подумала о Гере. уда он делся из моего сознания, как только Костик пошел провожать?

В школе мы учили Гиппиус, она была как нельзя кстати:

Единый раз вскипает пеной
И рассыпается волна.
Не может сердце жить изменой,
Измены нет: любовь — Одна. [31]

Я была счастлива. Приехала домой и написала на компьютере «Костик», включила им подаренную кассету, послушала… выключила. Поставила Romantic Collection: «It’s so wonderful, wonderful life!»

I need a friend
Oh, I need a friend
To make me happy
Not standing on my own [32]

Я закинула руки за голову и смотрела в потолок. Папа зашел в комнату и заметил надпись на экране, я уже успела добавить к ней объем и применить эффекты.

— Костик! — усмехнулся он.

А радости во мне было столько, что скрыть не удавалось.

No need to run and hide
It’s so wonderful, wonderful life
No need to laugh and cry
It’s so wonderful, wonderful life [33]
Глава 17

Через неделю после приезда из города пришло от Костика письмо:

«Ты знаешь, сперва, когда мы только познакомились, ты мне очень нравилась… Затем не знал — люблю или нет, а сейчас уверен: Я ТЕБЯ ЛЮБЛЮ!!!»

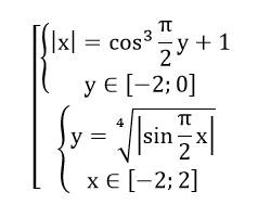
Еще он написал формулу, которую долго выводил.

Иллюстрация к книге — Коллекция «Romantic»  [i_001.jpg]

Сердце, заданное функцией.

Казалось бы, что ещё нужно? Признание в любви, счастье, взаимность, но… вскоре на меня снова стали нападать странные мысли и воспоминания. Я могла думать о Костике, о том, как целовались в подъезде, а потом переключиться на купание с Герой и в деталях вспомнить, как он выносил меня на руках, и затем снова переключиться на дискотеку с Костиком.

Казалось, для меня нет разницы, о ком вспоминать, все сливались в одного человека. Я не знала, что происходит.

Может, не к тому ушла?

Заметила, стоит включить песню, связанную с тем или иным событием, и возникали не только эти двое, а вообще ВСЕ!!!

Если начать сначала, то Пашечка неплохо проигрывался под «Мальчик хочет в Тамбов», песня звучала на выпускном в девятом классе. Для Коли существовала — «Я знаю, я тебя теряю» «Белого орла», он стоял и смотрел на меня, когда я решалась, идти с его ансамблем или нет. Тима в десятом — это «Я люблю тебя, Дима», Гера — «Титаник», которым заканчивались все дискотеки в лагере, Саша — «Позови меня с собой» и, конечно, «Wonderful life». Для Костика тоже что-то формировалось из его мелодичного рэпа.

Этот хаос добавлялся еще снами! Кого только в них не видела? Кто-то с физики, с кем с рядом сидела, мальчик из лагеря, которого приглашала танцевать, Никита, Антон, все вышеперечисленные и, конечно, Громов, который теперь целовал меня практически в каждом сне.

По снам с Громовым можно было записывать отличные сюжеты: кто-то в ШОДе ко мне пристает, я убегаю в расстроенных чувствах и сталкиваюсь с ним, тут же оказываемся в пустом классе, где он начинает меня целовать. Или в поезде едем из лагеря, он на верхней полке, я подхожу, кладу руки на матрас, и мы снова целуемся. Много-много различных ситуаций, где так или иначе он подходит ко мне или я к нему.

Вход
Поиск по сайту
Ищем:
Календарь