Книга Сомневайся во всем, страница 27 – Рене Декарт

Авторы: А Б В Г Д Е Ж З И Й К Л М Н О П Р С Т У Ф Х Ч Ш Ы Э Ю Я
Книги: А Б В Г Д Е Ж З И Й К Л М Н О П Р С Т У Ф Х Ц Ч Ш Щ Ы Э Ю Я
Бесплатная онлайн библиотека LoveRead.in

Онлайн книга «Сомневайся во всем»

📃 Cтраница 27
Иллюстрация к книге — Сомневайся во всем [_9.jpg]

или, если они соизмеримы, таким образом:

Иллюстрация к книге — Сомневайся во всем [_10.jpg]
, не прибавляя ничего, поскольку речь идет не о множестве единиц.

Наконец, если мы рассматриваем только одну из этих величин, мы изобразим ее в виде прямоугольника, одна сторона которого будет данной величиной, другая — единицей измерения, таким образом:

Иллюстрация к книге — Сомневайся во всем [_11.jpg]
; всякий раз, когда одна и та же линия должна быть сравниваема с некоторой поверхностью; или в виде одной только длины, таким образом:
Иллюстрация к книге — Сомневайся во всем [_6.jpg]
, если она рассматривается как несоизмеримая длина; или таким образом:
Иллюстрация к книге — Сомневайся во всем [_12.jpg]
, когда она является множеством.

К геометрической наглядности в математике стремился еще Пифагор [2]. Однако он понимал числа скорее не математически, а философски — как реальные сущности, и потому мог наделять их любыми качествами. Для Декарта, в отличие от Пифагора, математика — учение не о сущностях мира, а о форме мышления. При этом Декарт понимает математику все-таки достаточно широко, чтобы считать, что с помощью математической символики можно выразить не только собственно математическое мышление, но и базовые принципы мышления вообще, которые лежат в основе всякого познания.


Правило XVI

Что же касается измерений, не требующих в данный момент внимания нашего ума, хотя и необходимых для заключения, то лучше изображать их в виде сокращенных знаков, чем полных фигур. Таким образом, именно память не будет нам изменять и вместе с тем мысль не будет разбрасываться, чтобы удержать в себе эти измерения, в то время как она занята выведением других


Декарт стремится к простоте даже в математической символизации мысли и предлагает без необходимости не перегружать ее выражение геометрическими символами. Ему удалось разработать систему математической символики, которой мы пользуемся до сих пор. Но, как видно дальше из текста, он сам применяет ее для выражения формы мысли вообще.

Впрочем, как мы уже говорили, если из тех бесчисленных измерений, которые может рисовать наше воображение, нужно рассматривать не более двух одновременно одним взглядом или одним актом интуиции, то важно сохранять в памяти все остальные таким образом, чтобы они легко представлялись всякий раз, когда в них будет нужда. По-видимому, для этой цели природа и создала память. Но так как эта способность часто страдает погрешностями, то, для того чтобы мы не были вынуждены отрывать часть нашего внимания для ее освежения в то время, как мы заняты другими мыслями, искусство весьма кстати изобрело применение письменности. Благодаря этому изобретению мы ничего не возлагаем на память, но, свободно и целиком посвятив свое воображение идеям настоящего момента, изображаем на бумаге все, что требуется сохранить, посредством чрезвычайно простых фигур, дабы, рассмотрев каждую вещь в отдельности по правилу IX, мы могли, по правилу XI обозреть их все быстрым движением мысли и охватить одновременно наибольшее их число актом интуиции.

Декарт выработал современный вид алгебраического языка. Именно он предложил использовать для известных величин начальные буквы алфавита: а, b, с, а для неизвестных — последние: x, y, z. Также он сформировал современную запись степеней: 2а³ с показателем степени справа над переменной.

Следовательно, все, что для разрешения трудности надлежит рассматривать как единицу, мы будем обозначать одним только знаком, который можно изображать ad libitum, но для большего удобства мы воспользуемся строчными буквами а, b, с и т. д., чтобы выражать уже известные величины, и прописными A, В, С для выражения неизвестных величин. Часто мы будем ставить цифры 1,2,3,4 и т. д. либо впереди этих знаков для указания числа величин, либо позади, для того чтобы обозначить количество отношений, которые будут в них мыслиться. Так, например, если я записываю: 2а³, то это одно и то же, как если бы я говорил: удвоенная величина, обозначаемая буквой а, содержащая 3 отношения. Таким способом мы не только сократим многие выражения, но, что особенно важно, будем выражать термины предложений в столь чистом и простом виде, что, не упуская ничего полезного, мы в то же время не допустим в них ничего излишнего, что напрасно занимало бы ум в то время, когда ему нужно вмещать одновременно множество объектов.

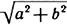
Для того чтобы все это было более понятно, обратим внимание прежде всего на то, что счетчики имеют обыкновение обозначать отдельные величины многими единицами или каким-либо числом; мы же здесь отвлечемся от чисел не менее, чем несколько ранее от геометрических фигур или от каких-либо других вещей. Мы делаем это не только во избежание скуки от длинных и ненужных вычислений, но в особенности еще и для того, чтобы те части предмета, которые составляют сущность трудности, были всегда отчетливо видны и не скрывались за бесполезными числами. Так, например, если нужно найти основание прямоугольного треугольника, данные катеты которого выражаются в числах 9 и 12, то счетчик скажет, что оно равно

Иллюстрация к книге — Сомневайся во всем [_13.jpg]
, или 15; мы же, положив вместо 9 и 12 а и b, найдем, что основание равно
Иллюстрация к книге — Сомневайся во всем [_14.jpg]
, и эти два члена а² и , которые были скрыты в числе, останутся в нашей формуле раздельными.

Современное обозначение знака корня (√) впервые употребил в 1525 году немецкий математик Кристоф Рудольф. Этот символ происходит от стилизованной первой буквы слова radix (корень). Черта над подкоренным выражением вначале отсутствовала, но позже ее вводит Декарт вместо скобок, и эта черта вскоре сливается со знаком корня.

Нужно также обратить внимание на то, что под числом отношений необходимо разуметь пропорции, идущие друг за другом в непрерывном порядке, пропорции, которые в обыкновенной алгебре стараются выражать многими измерениями и многими фигурами. Первую из них называют корнем, вторую — квадратом, третью — кубом, четвертую — биквадратом и т. д. Эти термины, признаюсь, очень долго вводили меня в заблуждение, ибо мне казалось, что для моего воображения не может быть ничего более ясного, чем линия и квадрат, чем куб и другие фигуры, придуманные наподобие этих. Хотя с помощью их я разрешил немало проблем, но после многих опытов я наконец убедился, что такой способ понимания не помог мне найти ничего, что я не сумел бы понять много легче и много яснее и без него, и нужно совершенно отбросить все эти выражения, чтобы они не затемняли наших понятий, ибо та самая величина, которая называется кубом или биквадратом, не может между тем по предшествующему правилу быть представлена в воображении иначе как в виде линии или в виде поверхности. Поэтому нужно еще особенно отметить, что корень, квадрат, куб и пр. являются не чем иным, как последовательно пропорциональными величинами, которым всегда предшествует наперед заданная единица, уже упомянутая нами выше. Первая пропорциональная величина стоит непосредственно и в одном отношении к этой единице, вторая — через посредство первой, а следовательно, связана с ней двумя отношениями, третья — через посредство первой и второй и связана с ней тремя отношениями и т. д. Поэтому мы будем теперь называть первой пропорциональной ту величину, которая в алгебре называется корнем, второй пропорциональной — ту, которая называется квадратом, и т. д.

Вход
Поиск по сайту
Ищем:
Календарь