Онлайн книга «Большая энциклопедия НЛП. Структура магии»
|
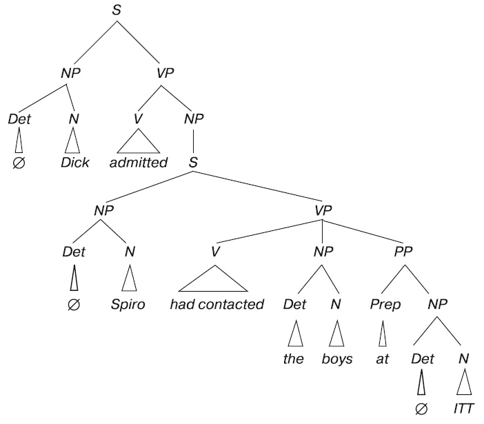
Есть простая процедура, позволяющая перейти от наших интуитивных представлений к «структуре дерева»: слова, которые я интуитивно объединяю вместе, приписываются одному и тому же узлу в структуре дерева. Например, слова the и boys («этими» и «ребятами») мы интуитивно объединяем в начальную группу, и, соответственно, репрезентируя их в виде дерева, создадим структуру: ![]() В структуре дерева узлы (обозначаемые на рисунке кружками) носят названия, которые соответствуют представляемым частям речи. Например, S — предложение, NP – именное словосочетание, VP — глагольное словосочетание, N – имя (существительное, местоимение), V — глагол, Det – определение, РР — предложное словосочетание, Prep — предлог и т. д. Таким образом, репрезентация словосочетания «этими ребятами» в виде дерева примет следующий вид ![]() Структура дерева (2) представляет наши интуитивные представления относительно внутренней структуры предложения (1). Теперь, познакомившись с процедурой перевода интуитивных представлений в структуру дерева, вы можете просмотреть эту структуру и проверить, совпали ли наши с вами интуитивные представления. Например, слова had contacted the boys at ITT («установил контакт с этими ребятами из ITT») образуют составляющую ( VP), а слова Spiro и had contacted («Спиро» и «установил контакт») – нет. В структуре дерева это находит отражение в том, что первая последовательность исключительным образом составляет отдельный узел (говоря «исключительным образом», мы имеем в виду, что данный узел содержит только эти слова и никаких других), но нет узла, который исключительным образом содержал бы слова «Спиро» и «установил контакт». ![]() Выше мы говорили, что грамматика представляет собой систему правил. На что еще похожа система правил, которые определяют формирование структуры дерева? Чтобы ответить на этот вопрос более понятным для вас образом, нам придется дать краткое описание формальных или логических систем. Формальные системы Формальные системы включают три компонента: [55] • словарь; • набор аксиом; • набор правил формирования, или вывода. Наиболее важные (для наших целей) понятия формальной системы можно продемонстрировать на примере следующей системы, назовем ее «Простая». [56] ![]() Символ _ означает, что символы, находящиеся слева от него, могут быть замещены (быть переписаны как) символами, находящимися справа от него. Теперь давайте посмотрим, как действует эта система. Метаправило (правило для правил) формальных систем данного класса требует, чтобы мы обосновывали каждое утверждение, которое делаем внутри системы. Есть два возможных способа обоснования: либо на основе того, что мы ранее заявили как аксиому, либо на основе подстановки, совершаемой в предыдущей строке в соответствии с правилами вывода. Поскольку у нас еще нет ни одной строки, в первой мы должны написать аксиому системы. ![]() Теперь исследуем только что написанную строку и проверим, нет ли в ней символов, соответствующих левой части одного из правил вывода. В ней находится единственный символ
![]() Мы можем повторить процедуру, проверив, нет ли в последней строке символов, которые содержатся в левой части одного из правил вывода. Внутри нашей системы эта процедура может повторяться сколь угодно долго до тех пор, пока мы выбираем правило вывода а. [57] Допустим, вы выбрали правило вывода а еще дважды. ![]() Что произойдет, если мы теперь выберем правило б? ![]() Если мы теперь проверим последнюю строку последовательности, мы не обнаружим в ней символов, которые встречались бы в левой части какого-либо из правил вывода, так что процедура подошла к концу. Результат данной процедуры – совокупность всех строк, от первой до последней, – называется выводом. Последняя строка вывода называется теоремой системы и считается доказанной для данной системы. Наконец, последовательность элементов, входящих в словарь системы, считается правильно сформированной, если она представляет собой доказанную теорему данной системы. Рассматривая систему в целом, мы можем видеть, что последовательность элементов будет считаться правильно сформированной (в рамках данной системы) только в том случае, если ее вывод осуществляется из аксиомы с помощью правил вывода, до тех пор пока не будет получена строка, не содержащая символов, которые встречались бы в левой части какого-либо из правил вывода, то есть теорема. Если мы возьмем всю совокупность теорем системы, мы получим множество правильно сформированных последовательностей элементов данной системы. |
![Иллюстрация к книге — Большая энциклопедия НЛП. Структура магии [i_022.jpg] Иллюстрация к книге — Большая энциклопедия НЛП. Структура магии [i_022.jpg]](img/book_covers/080/80068/i_022.jpg)
![Иллюстрация к книге — Большая энциклопедия НЛП. Структура магии [i_023.jpg] Иллюстрация к книге — Большая энциклопедия НЛП. Структура магии [i_023.jpg]](img/book_covers/080/80068/i_023.jpg)
![Иллюстрация к книге — Большая энциклопедия НЛП. Структура магии [i_024.jpg] Иллюстрация к книге — Большая энциклопедия НЛП. Структура магии [i_024.jpg]](img/book_covers/080/80068/i_024.jpg)
![Иллюстрация к книге — Большая энциклопедия НЛП. Структура магии [i_025.jpg] Иллюстрация к книге — Большая энциклопедия НЛП. Структура магии [i_025.jpg]](img/book_covers/080/80068/i_025.jpg)
![Иллюстрация к книге — Большая энциклопедия НЛП. Структура магии [i_026.jpg] Иллюстрация к книге — Большая энциклопедия НЛП. Структура магии [i_026.jpg]](img/book_covers/080/80068/i_026.jpg)
![Иллюстрация к книге — Большая энциклопедия НЛП. Структура магии [i_027.jpg] Иллюстрация к книге — Большая энциклопедия НЛП. Структура магии [i_027.jpg]](img/book_covers/080/80068/i_027.jpg)
![Иллюстрация к книге — Большая энциклопедия НЛП. Структура магии [i_028.jpg] Иллюстрация к книге — Большая энциклопедия НЛП. Структура магии [i_028.jpg]](img/book_covers/080/80068/i_028.jpg)
![Иллюстрация к книге — Большая энциклопедия НЛП. Структура магии [i_029.jpg] Иллюстрация к книге — Большая энциклопедия НЛП. Структура магии [i_029.jpg]](img/book_covers/080/80068/i_029.jpg)
![Иллюстрация к книге — Большая энциклопедия НЛП. Структура магии [i_030.jpg] Иллюстрация к книге — Большая энциклопедия НЛП. Структура магии [i_030.jpg]](img/book_covers/080/80068/i_030.jpg)