Книга Организованный ум, страница 133 – Дэниел Левитин

Авторы: А Б В Г Д Е Ж З И Й К Л М Н О П Р С Т У Ф Х Ч Ш Ы Э Ю Я
Книги: А Б В Г Д Е Ж З И Й К Л М Н О П Р С Т У Ф Х Ц Ч Ш Щ Ы Э Ю Я
Бесплатная онлайн библиотека LoveRead.in

Онлайн книга «Организованный ум»

📃 Cтраница 133

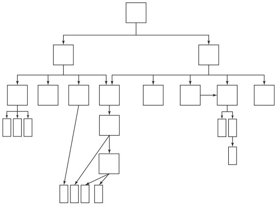
Теорию информации можно применить к организационным системам, таким как иерархия файлов и папок на вашем компьютере, или к организационной структуре компании [804]. И, согласно теории сложности Колмогорова, если компанию можно описать небольшим количеством простых правил, то эта организация высокоструктурирована. Сравните следующие описания. В первой компании, начиная с СЕО, каждый контролирует трех человек, и это распространяется на четыре уровня, после чего каждый контролирует от пятидесяти до ста человек. Эта модель применима к любой коммунальной компании – телефонной, энергетической, газовой и водообеспечивающей, – где есть четыре уровня управления, а дальше – большое количество сотрудников, работающих на площадках, где они ремонтируют или устанавливают линии передач или счетчики. С тем же успехом это может быть технологическая компания, где на нижнем уровне находятся агенты по обслуживанию клиентов и техническая помощь. Такая структура полностью и точно определяется в 2 бита [805].

Иллюстрация к книге — Организованный ум [i_027.jpg]

Для описания компании с менее упорядоченной и правильной структурой требуется столько битов, сколько в ней элементов, потому что нет видимого паттерна, как в строке со случайной последовательностью букв в примере выше:

Иллюстрация к книге — Организованный ум [i_028.jpg]

Чем более структурирована система, тем меньше информации требуется для ее описания. И наоборот, для характеристики неорганизованной системы требуются дополнительные сведения. Если говорить о крайности, то самая неструктурированная система – это случайное расположение всего, потому что в этом нет никакого паттерна, каждый элемент должен быть описан отдельно [806]. Для этого требуется множество коммуникаций или, как говорил Шеннон, информации. Это противоестественное положение вещей, в котором трудно разобраться. Нас учат, что чем больше информации, тем лучше. Если вам предстоит принять трудное решение, связанное с медициной, чем больше информации вы получите от врача и из результатов анализов, тем проще принять правильное решение. Но все взаимосвязано. Если заболевание хорошо изучено и о нем есть литература, где все доступно изложено, то чтобы перейти к лечению, много информации не требуется. «Если у вас пневмококк, примите антибиотик». Это очень просто. Но о раке, рассеянном склерозе или волчанке известно гораздо меньше; есть много «если», «а» и «но», много исключений и различных факторов, которые нужно взвесить, следовательно, здесь для начала лечения требуется больше данных.

Теорию информации можно применить ко всему: к структуре сайта, сфере права и этики, даже к инструкциям, которые вы даете человеку, объясняя, как найти ваш дом. Вспомните, мы обсуждали плоскую и вертикальную организации применительно к сайтам или иерархически расположенным файлам компьютера. Теория информации Шеннона может быть применена для количественной оценки уровня структуры или информации, которую они содержат (здесь мы говорим о сведениях в самой иерархической структуре, а не об информационном контенте, содержащемся на сайте).

Давайте рассмотрим правовые системы. Здесь есть большое количество избыточных данных – исключений и особенностей, потому что эти системы пытаются охватить все возможные случаи. Почти во всех цивилизованных странах есть законы против изнасилований, убийств, грабежей, вымогательств, членовредительства, травли, побоев и клеветы. Кодексы занимают много места, поскольку содержатся и в книгах, и на компьютерах. С теоретико-информационной точки зрения все это можно свести к минимуму с помощью короткого алгоритма: ничего не делайте тому, кто не хочет, чтобы с ним это делали (по сути, Золотое правило).

По аналогии сравните два способа, которыми друзья объясняют, как дойти до их дома.


1. По шоссе № 40 на восток, по направлению к шоссе № 158 на восток, затем повернуть налево по Главной улице, прямо на Бэзил-авеню, выезжаешь на Южную Лейк-роуд, далее прямо по Северной Лейк-роуд, небольшой поворот направо на Главную улицу (не на ту, где вы были до этого), затем довольно скоро поворот налево на Биг Фоллс-роуд, направо по 8-й линии, пока не увидите номер 66 справа, как раз перед парком.

2. Поезжайте по шоссе № 40 на восток и следуйте указателям на региональный парк Биг Фоллс, мой дом просто перед входом.


Второй алгоритм менее сложный, если следовать подходу Колмогорова. Обратите внимание, что это достигается частичным следованием правилу из главы 2: выгрузить как можно больше информации во внешний мир. Здесь такой информацией служат уже существующие дорожные указатели.

Учитывая структуру организации, можно вычислить количество содержащейся в ней информации и использовать в качестве меры сложности организации или, применяя обратную меру, рассчитать степень структуры (или организации) в рамках предприятия, воинской части или любой другой рабочей или общественной единицы [807]. Здесь структура высока, когда сложность низка, – это эквивалентно утверждению, что информационный контент Шеннона низок. Опять же, может показаться нелогичным, но бизнес имеет большую степень структурной организации, если его схема может быть описана в простом правиле, содержащем несколько слов, и из этого правила нет исключений.

Вход
Поиск по сайту
Ищем:
Календарь