Книга Сверхбоги. Они спасли человечество..., страница 7 – Морис Котрелл

Авторы: А Б В Г Д Е Ж З И Й К Л М Н О П Р С Т У Ф Х Ч Ш Ы Э Ю Я
Книги: А Б В Г Д Е Ж З И Й К Л М Н О П Р С Т У Ф Х Ц Ч Ш Щ Ы Э Ю Я
Бесплатная онлайн библиотека LoveRead.in

Онлайн книга «Сверхбоги. Они спасли человечество...»

📃 Cтраница 7

Таким образом, ввиду данных обстоятельств становится очевидным, что ледяные шапки Брауна не подходят в качестве объяснения. И в то же время образцы осадочных пород свидетельствуют о том, что ледяные шапки периодически увеличиваются и уменьшаются в размере. Тогда в чем заключается ответ? Что вызывает оледенение на Земле?

Великовский указывал на то, что для увеличения испарения с поверхности океана в количестве, достаточном для интенсификации процесса оледенения, океаны должны подогреваться не сверху, а снизу. Другими словами, должен существовать некий феномен, способный стать причиной сильного разогрева земной коры. Обращаясь к этой проблеме, он объяснил, что подобный набор событий вполне может вызвать прохождение Земли через хвост пролетающей мимо кометы. В таком случае на Земле, в результате взаимодействия двух магнитных полей, будут генерироваться вихревые токи, способные разогреть земную поверхность или даже вскипятить океаны. При таких условиях увеличение объема испаряемой влаги должно привести к более интенсивному выпадению атмосферных осадков, которые увеличат размер полярных шапок.

Как мы уже знаем, Великовский предположил, что такое тело могло оторваться от Юпитера около 4000 лет назад, и описанный им сценарий мог иметь место, когда это тело проходило близко от Земли примерно в 1500 и 700 гг. до н. э., став причиной катастроф, историчность которых он сумел так детально обосновать.

Так что теперь мы видим, что Великовский был прав, но совсем по другим причинам. Мы можем простить его, поскольку он не владел последними научными данными, которые вновь заставляют нас вернуться к майя.

Рождение Венеры

Их календарь начался в 3113 г. до н. э. За точку отсчета было принято событие, которое они называли «рождение Венеры». Известно, что в то же самое время произошла инверсия солнечного магнитного поля, которая могла перевернуть планету Венера на ее оси. Венера расположена к Солнцу ближе, чем Земля (см. Приложение один), поэтому вполне возможно, что эта инверсия, недостаточно сильная для того, чтобы сместить Землю, сумела опрокинуть Венеру. И в самом деле, Венера является единственной планетой солнечной системы, которая вращается на своей оси в обратном направлении (изначально она вращалась в правильном направлении, но затем опрокинулась на своей оси и теперь вращается в противоположную сторону).

Поверхность Венеры очень горячая — ее температура превышает 500 °C, как на ночной, так и на дневной стороне (это свидетельствует о том, что нагрев происходит не в результате воздействия солнечных лучей, а за счет теплового излучения от поверхности планеты) — а значит, вихревые токи Великовского до сих пор живы и полны энергии (вследствие магнитного рассогласования Венеры и Солнца), как он и предсказывал. Более того, то же самое могло происходить в прошлом на Земле, в результате чего океаны кипели, а ледяные шапки увеличивались в размере на последней стадии этого процесса, который также мог сопровождаться блужданием полюсов, смещением полюсов или инверсией магнитного поля.

Он также исследовал большое количество описаний катаклизма, оставленных многими народами «более 4000 лет назад», когда планета Венера засияла на небе так ярко, что ее свет отбрасывал тени на Земле. Именно это и должно было произойти в том случае, если бы полярные шапки Венеры, состоящие из двуокиси углерода, повернулись бы на 90 градусов и заняли новое положение. В результате белые венерианские полюса начали бы отражать солнечные лучи в направлении Земли. С тех пор планета могла стабилизироваться в положении, повернутом на угол от 90° до 180° относительно первоначальной ориентацией своей оси.

Так, может быть, это и было «рождением Венеры»? «Новой» Венеры? Принимая во внимание, что инверсия солнечного магнитного поля совпала по времени с началом нового цикла роста рождаемости, какое еще событие могло лучше подойти на роль начальной точки отсчета нового календаря зарождающейся цивилизации? Может быть, поэтому майя и начали свой календарь в 3113 г. до н. э.?

Великовский был очень близок к этим выводам. Однако рождение Венеры не имело никакого отношения к оторвавшемуся от Юпитера обломку — все дело в инверсии солнечного магнитного поля. Что касается событий 1500 и 700 гг. до н. э., когда «его» протопланета проходила мимо Земли, то, возможно, они были вызваны приближением каких-то других комет. Недавние события на Юпитере, когда комета Шумахера врезалась в планету, показывают, что такое вполне возможно.

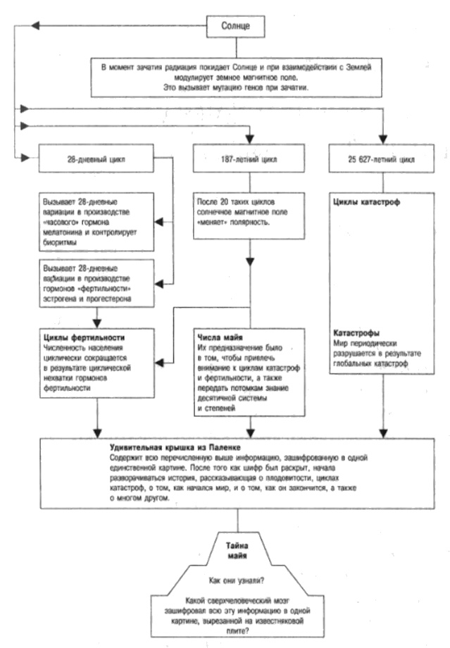
Итак, в 1989-м я начал изучать культуру майя и первым делом совершил путешествие в Паленке — их крупнейший сакральный центр, затерявшийся в глубине центральноамериканских джунглей. Там находится храм Надписей, один из лучших архитектурных памятников майя, место погребения их жреца-царя Властелина Пакаля, который умер около 750 г. н. э. Это оказалось воистину удивительным приключением. Можете представить себе, какое потрясение я испытал, когда узнал о том, что мои открытия о Солнце и о том, как циклы солнечной активности контролируют жизнь на Земле, были сделаны майя еще 1250 лет назад! Они даже высекли эти открытия на надгробной плите своего лидера и спрятали ее под древней пирамидой. Я видел их богов, я восхищался их умом, я удивлялся их мастерству, их богатству и их могуществу и никак не мог понять, откуда они об этом узнали? Какой сверхчеловеческий разум зашифровал всю эту информацию в одной-единственной картине?

Это была тайна майя.

Иллюстрация к книге — Сверхбоги. Они спасли человечество... [i_009.jpg]

Рис. 4. Сравнение современных научных открытий со знаниями майя.


Глава вторая
ИСЧЕЗНУВШИЕ ПЛЕМЕНА
ЦЕНТРАЛЬНОЙ АМЕРИКИ

Прежде всего мы должны рассмотреть происхождение майя. Одно время, между 10 000 и 11 000 гг. до н. э., полярные шапки были значительно массивнее, и ледниковый покров сковывал большую часть воды, вследствие чего уровень Мирового океана находился на 100 метров ниже, чем сегодня. Именно тогда азиатские народы пересекли сухопутный перешеек, соединявший Азию и Америку, чтобы заселить Аляску.

Это было время изобилия, когда длинношерстные мамонты, мускусные быки, карибу и полярные зайцы царили на бескрайних равнинах, а тюлени, морские львы и огромные косяки рыб наполняли океаны. Антропологи предполагают, что первыми людьми, перебравшимися из Азии в Америку, были несколько семей охотников, которые преследовали кочующие стада. Они основали на Аляске первые поселения, которые теперь нам известны как эскимосские, став предшественниками американских краснокожих индейцев (хотя известно, что краснокожие индейцы с древних времен имели смешанный расовый состав, и, судя по всему, прибыли в Америку другим путем — через океан, из Индокитая).

Иллюстрация к книге — Сверхбоги. Они спасли человечество... [i_010.jpg]

Рис. 5. Берингов пролив. Считается, что более 10 000 лет назад здесь существовал сухопутный перешеек, соединяющий Азию с Америкой.

Вход
Поиск по сайту
Ищем:
Календарь