Онлайн книга «От хлора и фосгена до «Новичка». История советского химического оружия»
|
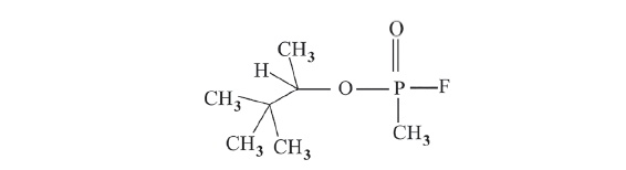
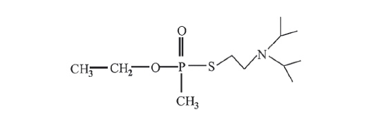
Идея применения для достижения военных целей зомана (XXIV) — фторангидрида пинаколилового эфира метилфосфоновой кислоты, — который примерно в три раза токсичнее зарина, также известна еще с 40-х гг., и ее источником также оказалась Германия [7,10]. ![]() Зоман (XXIV) Зоман (шифр армии США — GD, армии Германии — Soman, Trilon, Советской/Российской армии — Р-55) — бесцветная жидкость, промышленный продукт имеет желто-коричневый цвет с запахом камфары. Температура затвердевания –80 °C. Очень медленно гидролизуется водой. Впитываемость в пористые материалы выше, чем у зарина. Хорошо хранится в металлической таре. Максимальная концентрация паров при 20 °C составляет 3 мг/л. Пары зомана в 6 раз тяжелее воздуха. Стойкость на местности в летних условиях при капельно-жидком заражении — сутки и более. В воде гидролизуется медленно. Средства боевого применения — авиабомбы, ВАПы, снаряды ствольной артиллерии. Проникает в организм через органы дыхания, кожные покровы, конъюнктивы глаз. Поражение достигается заражением атмосферы тонкодисперсным аэрозолем или паром. Смертельная концентрация — около 0,02 мг/л при экспозиции 1 мин. Безопасная концентрация — ниже 5∙10−7 мг/л. При действии на кожу в капельно-жидком и парообразном состоянии вызывает общее отравление (токсодоза LD50 — 1,4 мг/кг). Кумулятивные свойства зомана выражены сильнее, чем у зарина [7, 8, 607]. Для организации выпуска зомана необходимо налаживание производства пинаколилового спирта (3,3-диметилбутанола-2). В свою очередь, пинаколиловый спирт получают обычно из ацетона через пинакон и пинаколин, вследствие чего само массовое промышленное производство зомана становится экономически бессмысленным [7, 9]. В США на эту бессмыслицу не пошли и производить зоман не стали [724], хотя по чисто прагматическим соображениям и научились. Причина — «нерентабельность получения чистого пинаколилового спирта» [6]. По той же причине не стали производить зоман и англичане [36]. А в Советском Союзе множество лет потратили на организацию производства пинаколилового спирта в Волгограде на заводе № 91 [721]. К промышленному выпуску зомана приступили на том же заводе в 1967 г. Половина объема советского выпуска зомана приходилась обычно на его вязкую форму, предназначавшуюся для снаряжения авиахимбомб. Частично зоман отправлялся из Волгограда в Новочебоксарск (Чувашия) для снаряжения в кассетные и иные химические боеприпасы. До появления V-газов зоман рассматривался в качестве универсального ОВ, пригодного для заражения атмосферы парами или аэрозолями с целью нанесения людям ингаляционных поражений и поражения людей каплями через кожу. Этими соображениями определялись и типы снаряжаемых зоманом и его вязкой рецептурой артиллерийских и авиационных химических боеприпасов. Например, до наших дней дошли серьезные запасы химснарядов ствольной артиллерии калибра 122 мм и 152 мм, а также химические головные части снарядов реактивной артиллерии для установок «Град» и «Ураган» (калибр 122 мм и 220 мм). Зоманом снаряжали кассетные боеприпасы ракет, например, химическую головную часть ракеты поля боя «Точка-У» (SS-21). Зоманом и его вязкой рецептурой снаряжали также немалую номенклатуру авиахимбоеприпасов, в частности авиахимбомбы БКФ-П кассетного типа. Среди авиахимбоеприпасов с вязким зоманом до наших дней дожили немалые партии авиахимбомб калибра 150 кг и 250 кг, а также ВАПов калибра 500 кг. Начать обсуждение ФОВ класса V-газов удобнее всего с события 1952 г. в Англии. В тот год на фирме ICI было создано и передано в США на испытания еще более токсичное ФОВ класса фосфорилтиохолинов. Потом было синтезировано немало других ОВ этого вида. Все вновь созданные ОВ действуют на фермент ацетилхолинэстеразу и включают фосфаты и главным образом фосфонаты общей формулы R-P(O)(OR’1)[SCH2CH2NR’’2] (где R — это алкильная или алкоксигруппа, а R’ и R’’ — алкильная группа). В США ФОВ этого вида получили название V-газов. При R’=C2H5 — это вещества VE, VG, VM, VS, VX7. ![]() Советский V-газ (XXV) ![]() Американский VX (XXVI) Американское ОВ VX (XXVI) оказалось примерно в 10 раз токсичнее, чем зарин, при ингаляции и, что самое главное, обладает высокой токсичностью в сравнении с зарином и зоманом при накожной аппликации [8]. Этот западный успех был отслежен советской разведкой, добывшей исходную информацию о веществе VM. Соответственно, в СССР были исследованы многочисленные вещества этого вида (в целом 350 веществ 19 типов) [716]. Некоторые из них приведены в табл. 12. Табл. 11. Токсикологические характеристики V-газов, исследованных в Советском Союзе в конце 1950 гг. [716] ![]() В США выпуск VX (XXVI) был налажен на военном заводе в Ньюпорте (штат Индиана) в 1961 г., и закончился он в 1968 г. [7, 757]. Было произведено примерно 5000 т этого ФОВ [36, 752]. В СССР по ряду причин, скорее всего технологических, исследователи не стали целиком воспроизводить американский газ VX, а остановились на ОВ с той же брутто-формулой, но несколько иным строением, что, впрочем, никак не сказалось на его токсических характеристиках. Это был советский V-газ (XXV) — S-диэтиламиноэтил-O-изобутилметилфосфонат, — и именно он впоследствии составил основу советского химического арсенала. По токсическим свойствам советский V-газ (верхняя строка табл. 11) превосходил все известные до тех пор ОВ. А по военно-химическим параметрам продукт «60» (так его окрестили наши военные, потом они стали называть его Р-33) относился к классу СОВ — стойкость на местности и на различных поверхностях сохранялась у советского V-газа в течение нескольких дней, а при заражении водоемов — несколько месяцев. Поначалу события развивались очень быстро. Новое ФОВ было получено в 1957 г. в московском ГСНИИ-403, и в 1959 г. там же были наработаны в лабораторных условиях 10 кг для проведения военных испытаний в ЦНИВТИ [158]. И уже летом 1959 г. химический завод № 91 в Волгограде получил задание на создание в цехе № 22 опытной установки по выпуску советского V-газа. И в первом полугодии следующего года его первая тонна была произведена [159, 446]. Для советских граждан август 1960 г. был памятен тем, что в космос отправились первые космические путники — дворняжки Белка и Стрелка (никто им не рассказывал, что две обезьяны-шимпанзе Авель и Бейкер еще 28 мая 1959 г. отправились в космос из США и благополучно вернулись домой на Землю). А для всего мира сентябрь 1960 г. памятен самой длинной речью (4 часа 29 минут), которую руководитель Кубы Фидель Кастро произнес в ООН. Для историков кино важно и то, что в декабре 1960 г. был утвержден авторский коллектив фильма Л. Гайдая «Пес Барбос и необычный кросс» — так родилась знаменитая кинотройка Балбес — Трус — Бывалый (Никулин — Вицин — Моргунов). А между тем именно летом того 1960 г. химические войска впервые испытали советский V-газ. И не только испытали в арт- и авиабоеприпасах, но и дали восторженные отзывы (это ОВ «по своей эффективности в значительной степени превосходит все известные отравляющие вещества и является наиболее перспективным для его применения в химических боеприпасах») [446]. И для ВХК токсикологические данные, полученные к тому времени [203, 716], оказались важным событием (важным и для страны, хотя она об этом не знала). |
![Иллюстрация к книге — От хлора и фосгена до «Новичка». История советского химического оружия [i_046.jpg] Иллюстрация к книге — От хлора и фосгена до «Новичка». История советского химического оружия [i_046.jpg]](img/book_covers/078/78971/i_046.jpg)
![Иллюстрация к книге — От хлора и фосгена до «Новичка». История советского химического оружия [i_047.jpg] Иллюстрация к книге — От хлора и фосгена до «Новичка». История советского химического оружия [i_047.jpg]](img/book_covers/078/78971/i_047.jpg)
![Иллюстрация к книге — От хлора и фосгена до «Новичка». История советского химического оружия [i_048.jpg] Иллюстрация к книге — От хлора и фосгена до «Новичка». История советского химического оружия [i_048.jpg]](img/book_covers/078/78971/i_048.jpg)
![Иллюстрация к книге — От хлора и фосгена до «Новичка». История советского химического оружия [i_049.jpg] Иллюстрация к книге — От хлора и фосгена до «Новичка». История советского химического оружия [i_049.jpg]](img/book_covers/078/78971/i_049.jpg)