Книга Укрощение бесконечности. История математики от первых чисел до теории хаоса, страница 46 – Йен Стюарт

Авторы: А Б В Г Д Е Ж З И Й К Л М Н О П Р С Т У Ф Х Ч Ш Ы Э Ю Я
Книги: А Б В Г Д Е Ж З И Й К Л М Н О П Р С Т У Ф Х Ц Ч Ш Щ Ы Э Ю Я
Бесплатная онлайн библиотека LoveRead.in

Онлайн книга «Укрощение бесконечности. История математики от первых чисел до теории хаоса»

📃 Cтраница 46

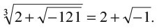
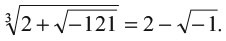
Но это выражение кажется не имеющим смысла, ведь у числа –121 не существует квадратного корня. Кардано зашел в тупик и написал Тарталье, попросив его объяснить это недоразумение, но Тарталья не уловил сути вопроса, и его ответ был невразумителен.

Решение проблемы нашел Рафаэль Бомбелли в своем трехтомном труде «Алгебра», изданном в Венеции в 1572 г. и в Болонье в 1579 г. Бомбелли не устраивали загадки и недоговоренности «Великого искусства» Кардано, и он взял на себя труд написать нечто более ясное. Он стал оперировать этим «нескладным» квадратным корнем, как если бы это было обычное число, отмечая:

Иллюстрация к книге — Укрощение бесконечности. История математики от первых чисел до теории хаоса [i_146.jpg]

и выводя из этого любопытную формулу:

Иллюстрация к книге — Укрощение бесконечности. История математики от первых чисел до теории хаоса [i_147.jpg]

Точно так же Бомбелли вывел формулу:

Иллюстрация к книге — Укрощение бесконечности. История математики от первых чисел до теории хаоса [i_148.jpg]

Теперь мы можем записать сумму двух кубических корней как

Иллюстрация к книге — Укрощение бесконечности. История математики от первых чисел до теории хаоса [i_149.jpg]

Итак, этот странный метод всё же привел нас к верному ответу – безупречно целому числу, хотя нам и пришлось манипулировать «невозможными» величинами.

Да, это всё очень интересно, но работает ли это?

Мнимые числа

В поисках ответа на этот вопрос математикам пришлось найти надежные пути рассуждений о квадратных корнях из отрицательных чисел и способы вычислений с их использованием. Первые ученые, в том числе Декарт и Ньютон, считали эти мнимые числа верным признаком того, что у задачи нет решения. Если вам надо найти число, чей квадрат равен –1, то формальное решение является мнимым числом, а значит, решения не существует. Но вычисления Бомбелли предполагают, что только мнимостью здесь не ограничиться. Эти числа можно использовать для поиска решения, они показывают, что оно существует.

В 1673 г. Джон Валлис изобрел простой способ представлять мнимые числа в виде точек на плоскости. Он исходил из привычного метода построения действительных чисел в виде прямой, расставив на ней положительные числа по правую сторону и отрицательные по левую.

Затем он ввел еще одну прямую, под прямым углом к первой, и уже на ней расположил мнимые числа.

Это похоже на алгебраический подход Декарта к геометрии с использованием координатных осей. Только здесь на одной оси мы видим действительные числа, а на второй – мнимые. Валлис несколько иначе выразил эту идею: его версия скорее была ближе к подходу Ферма, чем напоминала систему координат Декарта. Но основной принцип тот же. Оставшаяся плоскость соотносится с комплексными числами, состоящими из двух частей: одна действительная, другая мнимая. В декартовой системе координат мы отмеряем действительную часть вдоль вещественной прямой, а мнимую – параллельно мнимой линии. Иными словами, число 3 + 2i будет отложено на три единицы вправо от начала координат и на две единицы вверх.

Иллюстрация к книге — Укрощение бесконечности. История математики от первых чисел до теории хаоса [i_150.jpg]

Линия действительных чисел


Идея Валлиса решила проблему придания смысла мнимым числам, но никому не пришло в голову обратить на это внимание. И всё же медленно, но верно идея распространялась на уровне подсознания. Все больше математиков переставали беспокоиться, что √–1 не может занять место на действительной прямой, и понимали, что он разместится где-то в более просторном мире комплексной плоскости. Но были и такие, кто отвергал саму идею: в 1758 г. некто Франсуа Дэви де Фонсене категорически утверждал в своем труде, что совершенно не имеет смысла представлять, будто мнимые числа формируют линию, расположенную под прямым углом к линии действительных чисел. Но всё же больше было таких, кто искренне приветствовал идею Валлиса, понимая ее важность.

Иллюстрация к книге — Укрощение бесконечности. История математики от первых чисел до теории хаоса [i_151.jpg]

Две дублирующиеся линии с действительными числами, расположенные под прямым углом


Идея, что комплексная плоскость позволяет расширить вещественную прямую и дать приют мнимым числам, подразумевалась в работе Валлиса, хотя ее объяснение было несколько туманным. Более ясное изложение мы находим у норвежца Каспара Весселя в издании от 1797 г. Вессель был землемером, он стремился прежде всего представить геометрию плоскости с помощью чисел. И наоборот: его идеи можно рассматривать как способ представления комплексных чисел в терминах планиметрии. Но он опубликовал свою работу только в Дании, и она оставалась под спудом почти целый век, пока ее не перевели на французский. Французский математик Жан-Робер Арган опубликовал такой же способ представления комплексных чисел в 1806 г., а Гаусс открыл независимо от них то же самое в 1811 г.

Иллюстрация к книге — Укрощение бесконечности. История математики от первых чисел до теории хаоса [i_152.jpg]

Комплексная плоскость по Весселю


Комплексный анализ

Если бы комплексные числа так и остались полезны только для алгебры, им было бы суждено оставаться отвлеченным научным курьезом, занимающим исключительно математиков. Но по мере роста интереса к исчислению, который принял строгую форму математического анализа, люди стали замечать, что действительно интересное слияние вещественного анализа с комплексными числами – точнее, комплексный анализ – не только возможно, но и желательно. Действительно, для многих задач это существенно.

Это открытие выросло из первых попыток обдумать существование комплексных функций. Самые простые функции, такие как возведение в квадрат или в куб, зависят только от алгебраических операций, поэтому было легко определить их для комплексных чисел. Чтобы возвести в квадрат комплексное число, необходимо умножить его само на себя, и тот же прием годится для действительных чисел. Квадратные корни из комплексных чисел немного каверзнее, но приносят нам приятную награду за потраченные силы: каждое комплексное число имеет квадратный корень. И действительно, любое такое число, не равное 0, имеет ровно два квадратных корня (положительный и отрицательный, равные по модулю). Так мы обогатили действительные числа новым числом i, вдобавок обеспечив –1 квадратным корнем и определив квадратные корни для любого числа в расширенной системе комплексных чисел. А как быть с синусами, косинусами, экспонентами и логарифмами? На этом этапе они особенно интересны, но и более головоломны. Особенно логарифмы.

Вход
Поиск по сайту
Ищем:
Календарь