Книга Укрощение бесконечности. История математики от первых чисел до теории хаоса, страница 35 – Йен Стюарт

Авторы: А Б В Г Д Е Ж З И Й К Л М Н О П Р С Т У Ф Х Ч Ш Ы Э Ю Я
Книги: А Б В Г Д Е Ж З И Й К Л М Н О П Р С Т У Ф Х Ц Ч Ш Щ Ы Э Ю Я
Бесплатная онлайн библиотека LoveRead.in

Онлайн книга «Укрощение бесконечности. История математики от первых чисел до теории хаоса»

📃 Cтраница 35
Иллюстрация к книге — Укрощение бесконечности. История математики от первых чисел до теории хаоса [i_103.jpg]

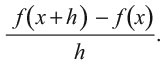
Теперь предположим, что h – очень малая величина. Тогда секущая приблизится к касательной на графике в точке x. Так что в определенном смысле необходимый угол наклона – производная f в точке x – будет пределом для этого выражения, поскольку h становится сколько угодно малым.

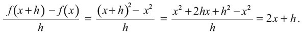
Попробуем произвести это вычисление для простого примера, f(x) = x2. Получаем:

Иллюстрация к книге — Укрощение бесконечности. История математики от первых чисел до теории хаоса [i_104.jpg]

А поскольку h становится всё меньше, угол наклона 2x + h всё ближе к 2x. Производная f – это функция g, равная g(x) = 2x.

Здесь главный концептуальный вопрос в том, что мы подразумеваем под пределом. У математиков ушел почти век на то, чтобы дать ему логичное определение.

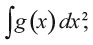
Другой ветвью исчисления стало интегральное. Этот процесс проще всего представить как обратный дифференцированию. Интеграл g, описанный формулой

Иллюстрация к книге — Укрощение бесконечности. История математики от первых чисел до теории хаоса [i_105.jpg]

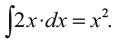
является любой функцией f(x), производная которой – g(x). Например, поскольку производная f(x) = x2 есть g(x) = 2x, интеграл от g(x) = 2x равен f(x) = x2.

Иллюстрация к книге — Укрощение бесконечности. История математики от первых чисел до теории хаоса [i_106.jpg]
Необходимость в исчислении

Толчок к изобретению исчисления дали два направления. В области чистой математики дифференциальное исчисление эволюционировало из методов поиска касательной к кривой, а интегральное исчисление – из методов расчета площадей плоских фигур и объемов тел. Но главный стимул для исчисления пришел от физиков – в связи с укреплявшимся убеждением в том, что природа имеет свои законы. По причинам, до сих пор не полностью нам понятным, большинство фундаментальных законов природы включают в себя переменные. А значит, их можно исследовать и понять только с помощью исчисления.

В эпохи, предшествовавшие Возрождению, самую точную модель движения Солнца, Луны и планет удалось создать Птолемею. В его системе Земля оставалась неподвижной, а все остальные тела – в частности, Солнце – вращались вокруг по некоему набору (реальных или воображаемых – на усмотрение рассуждающего) окружностей. Последние преобразовались в сферы в работах древнегреческого астронома Гиппарха. Его сферы вращались вокруг гигантских осей, часть из которых были связаны с другими сферами и двигались по ним. Этот вид взаимосвязей казался необходимым для моделей планетарных орбит. Причем некоторые планеты, такие как Венера, Меркурий и Марс, на первый взгляд имели сложные орбиты, включавшие петли. Другие – Юпитер и Сатурн (остальные планеты тогда еще не были открыты) – вели себя более прилично, но даже они временами выкидывали странные штуки, известные еще древним вавилонянам.

Мы уже обсуждали систему Птолемея, известную как эпициклы, где окружности заменяли сферы, но сохранялась единая схема движения. Модель Гиппарха не была достаточно точной по сравнению с фактическими наблюдениями, а модель Птолемея отлично отражала все данные астрономов. Это сделало ее единственно «верной» на тысячу лет. Его труды, переведенные на арабский язык в «Альмагесте», служили астрономам многих культур.

Вера против науки

Но даже «Альмагест» не отражал всех передвижений планет. Вдобавок он был довольно сложен. Примерно в 1000 г. н. э. некоторые арабские и европейские мыслители стали задаваться вопросом, не следует ли объяснить дневное движение Солнца вращением Земли, а кое-кто даже пошел дальше и предположил, что Земля сама вращается вокруг Солнца. Но в то время эти идеи так и остались домыслами.

В эпоху Возрождения научный подход к описанию мира всё больше укоренялся среди передовых мыслителей, и во многом причиной тому были сами религиозные догмы. В то время католическая церковь безраздельно владела умами приверженцев и диктовала им свой взгляд на устройство Вселенной. И дело было не только в том, что христианскому богу приписывалось как само ее сотворение, так и всё, что происходило в ней каждый день. Церковь считала, что единственно верное толкование законов природы можно искать только в Библии, в буквальном смысле. Земля должна была считаться центром всего, непоколебимой основой, вокруг которой вращаются небеса. А человек, как вершина творения, провозглашался причиной создания остальной Вселенной.

Ни одно научное наблюдение не показало до сих пор признаков существования невидимого, непознаваемого творца. Но те же наблюдения поколебали убеждения в том, что Земля – центр Вселенной. И это стало причиной великого противостояния, в котором лишились жизни многие невинные люди, причем зачастую самыми жестокими и варварскими способами.

ИОГАНН КЕПЛЕР 1571–1630

Иллюстрация к книге — Укрощение бесконечности. История математики от первых чисел до теории хаоса [i_107.jpg]

Кеплер родился в семье наемника и дочери трактирщика. Когда в 18 лет он остался без отца (скорее всего, тот погиб в войне между Нидерландами и Священной Римской империей), им с матерью пришлось перебраться к деду, в его трактир. Юноша очень рано продемонстрировал математические способности и в 1589 г. был принят стипендиатом для занятий астрономией под руководством Михаэля Мёстлина в Университете Тюбингена. Здесь он досконально изучил систему Птолемея. В тот период астрономов больше интересовало точное вычисление орбит всех планет, никто не задавался общими вопросами о том, почему они движутся так, а не иначе. Но Кеплера с самого начала завораживали незримые тропы, по которым перемещаются небесные тела, а не предсказуемые сочетания эпициклов. Как только ему удалось познакомиться с системой Коперника, Кеплер поверил, что это и есть единственно верная идея, а не только математическая уловка.

Работа с Браге. В своей книге «Тайна мироздания» (Mysterium Cosmographicum, 1596) Кеплер попытался сопоставить орбитам пяти известных тогда планет (сферу Земли он выделял особо) различные платоновы тела (правильные многогранники). Эта странная модель не идеально сочеталась с фактическими наблюдениями, и Кеплер написал ведущему астроному Тихо Браге. Тот взял его к себе помощником по математической части, чтобы вычислить точную орбиту Марса. После смерти Браге Кеплер продолжал работу над этой проблемой. Браге оставил множество данных, и Кеплер, не жалея сил, пытался уложить их в разумную орбиту. Свой труд, под конец занявший около тысячи страниц, он называл «моей войной с Марсом». Полученная им орбита оказалась настолько точной, что расхождение с современными данными составляет всего несколько минут, накопившихся за прошедшие столетия.

Вход
Поиск по сайту
Ищем:
Календарь