Онлайн книга «Искусство трейдинга. Практические рекомендации для трейдеров с опытом»
|
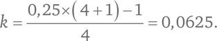
Из рисунка видно: ● Для каждого трейдера существует свой индивидуальный оптимальный уровень рискованности торговли, при котором доходность в долгосрочном периоде будет максимальна. До этой мысли многие трейдеры доходят почему-то лишь спустя длительное время. Также из рисунка видно, что: ● Доходность/прибыльность в трейдинге не всегда растет с ростом риска, а после определенного уровня риска долгосрочные результаты падают и уходят в отрицательную зону. Назовем эту область отрицательной доходности из-за повышенных рисков «зоной Z». В ней действует множество начинающих спекулянтов с небольшим капиталом, которым трейдинг с более низким уровнем риска кажется тоскливым занятием. Раз за разом они «вылетают с трассы» и остаются у разбитого корыта. Для начала таким трейдерам необходимо просто сместиться из зоны Z влево. Другими словами, как бы это парадоксально ни звучало, чтобы зарабатывать больше, риск им нужно не увеличить, а снизить. После этого трейдеру необходимо более точно определить свой оптимальный уровень риска (риск на сделку в % от капитала) – точку k, – при котором доходность была бы максимальна. Важно также понимать соотношение между рискованностью торговли и ее результативностью за разные временные периоды (см. рисунок ниже). ![]() Это очень простая, но важная мысль. Чем выше риск, тем больше, безусловно, трейдер теоретически может заработать за короткий срок, но торговля со слишком высоким риском неминуемо приведет к потере капитала в долгосрочном периоде – это лишь вопрос времени. Таким образом, решение о риске – это своего рода компромисс между потенциалом доходности в краткосрочном периоде и доходностью в долгосрочном. В связи с вышесказанным у трейдера есть два варианта: ● либо найти такой уровень риска (k), при котором капитал рос бы максимальными темпами; ● либо торговать с повышенным риском, но быть готовым к периодическим потерям капитала. В этом случае вопрос состоит в том, сколько трейдер будет успевать выводить денег с торгового счета. Саму зону Z, кстати, можно тоже разделить на две части. ![]() Самая крайняя и глупая форма превышения риска – это правая часть зоны Z (зона хаоса). В упрощенном виде здесь происходит следующее. Представьте, что у вас есть монетка, которая по каким-то причинам 60 % бросков падает орлом, а 40 % решкой. Допустим, вы заключаете с оппонентом пари: если за определенное количество бросков чаще выпадет орел, то побеждаете вы, если же решка – побеждает он. В игре вы используете эту монетку, но известно о ее особенности только вам. Неплохое пари, неправда ли? В начале игры вам нужно выбрать количество бросков, по исходам которых будет определен победитель. Какое число бросков для исхода игры вы выберете? Представьте, что вы выбираете три броска, и та магическая статистическая закономерность, которая скрыта в монетке, попросту не успевает проявиться: решка выпадает три раза подряд, и вы проигрываете. Глупо и абсурдно, не правда ли? Но именно так поступают многие трейдеры, рискуя в отдельной сделке слишком большой частью своего капитала! В игре с монеткой правильнее будет выбрать как можно больше бросков. Вы не должны действовать в зоне хаоса. Необходимо дать своим талантам, способностям и навыкам достаточно пространства для того, чтобы они могли проявиться во времени. Существует еще одна зона. Ее я называю «зоной потери контроля». Она находится левее зоны хаоса. В этой зоне подхода к риску трейдер уже оставляет достаточно пространства для проявления своих навыков (если они есть), но все еще рискует слишком сильно. После нескольких неудачных сделок у трейдера все еще остается капитал, но он обостряет ситуацию и идет ва-банк. Потеря денег здесь происходит по психологическим причинам. Формула Келли Согласно общепринятому эмпирическому правилу, риск на сделку должен составлять 2–2,5 % от капитала. На мой взгляд, для стартовых капиталов эта цифра слишком мала. Такая величина разумна для больших объемов капитала, измеряемых сотнями тысяч, миллионами долларов. Подумайте: при размере 2 % трейдеру нужно допустить подряд примерно 50 ошибок, чтобы потерять капитал. Я считаю, если трейдер имеет достаточно опыта или держит на счете некритическую сумму в размере, скажем, нескольких платежей ежемесячного пассивного дохода, то потери на сделку можно увеличить и до 2,5–5 %. Оптимальную долю риска в процентах от капитала на каждую сделку можно также рассчитать с помощью формулы Келли, описанной еще в 1940-х гг. Эта формула довольно простая: ![]() где k – доля капитала, которой должен рисковать трейдер в отдельной сделке. Имейте в виду, что здесь это доля от текущего капитала, а не от первоначального, т. е. это цифра fixed fraction exposure. При изменении капитала ставка изменяется пропорционально; p – win ratio, или отношение прибыльных сделок к убыточным, или вероятность прибыльной сделки; A – payoff ratio, или соотношение прибыль/убыток. Формулу можно применять только к торговым системам, в которых для каждой сделки имеются только два исхода (распределение Бернулли), но для оценки, что называется, на глаз не будет грехом применить ее, если имеется история сделок с разными исходами. Допустим, вы торгуете вручную и за прошедший год соотношение прибыль/убыток у вас в среднем составило 4 к 1. При этом 25 % заключаемых сделок прибыльны, тогда: ![]() Из этого следует, что оптимальный для вас риск в отдельной сделке равен 6,25 % капитала. Пример. Допустим, у трейдера есть $100 000. В первой сделке он выигрывает, и у него становится $106 250. В следующей сделке он должен будет поставить $106 250 × 6,25 % = $6640,625. Если трейдер в первой сделке проигрывает, то он должен будет поставить во второй сделке $93 750 × 6,25 % = $5859,375. После того, как стал известен оптимальный риск на сделку в % капитала, можно рассчитать объем позиции. Это чисто техническая процедура. |
![Иллюстрация к книге — Искусство трейдинга. Практические рекомендации для трейдеров с опытом [_61.jpg] Иллюстрация к книге — Искусство трейдинга. Практические рекомендации для трейдеров с опытом [_61.jpg]](img/book_covers/078/78785/_61.jpg)
![Иллюстрация к книге — Искусство трейдинга. Практические рекомендации для трейдеров с опытом [_62.jpg] Иллюстрация к книге — Искусство трейдинга. Практические рекомендации для трейдеров с опытом [_62.jpg]](img/book_covers/078/78785/_62.jpg)
![Иллюстрация к книге — Искусство трейдинга. Практические рекомендации для трейдеров с опытом [_63.jpg] Иллюстрация к книге — Искусство трейдинга. Практические рекомендации для трейдеров с опытом [_63.jpg]](img/book_covers/078/78785/_63.jpg)
![Иллюстрация к книге — Искусство трейдинга. Практические рекомендации для трейдеров с опытом [_64.jpg] Иллюстрация к книге — Искусство трейдинга. Практические рекомендации для трейдеров с опытом [_64.jpg]](img/book_covers/078/78785/_64.jpg)