Онлайн книга «Увлекательно о космосе. Межпланетные путешествия»
|
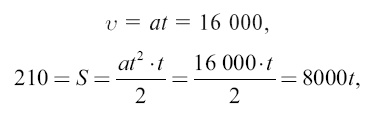
По этим двум формулам легко определить (разумеется, только приблизительно) ускорение снаряда, когда он скользил в канале исполинской Жюль-Верновой пушки. Нам известна из романа длина пушки – 210 м: это есть пройденный путь 5. Романист указывает и скорость снаряда у выхода из орудия – 16 000 м/с. Данные эти позволяют нам определить прежде всего величину t — продолжительность движения снаряда в канале орудия (рассматривая это движение как равномерно ускоренное). В самом деле: ![]() откуда ![]() Итак, оказывается, что снаряд скользил внутри пушки всего 1/40 долю секунды. Подставив
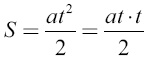
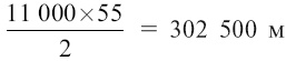
![]() Значит, ускорение снаряда при движении в канале равно 640 000 м/с за секунду, то есть в 64 000 раз больше ускорения силы земной тяжести. Какой же длины должна быть пушка, чтобы ускорение это было всего в 20 раз больше ускорения тяжести (то есть равнялось 200 м/с2)? Это – задача, обратная той, которую мы только что решили. Данные: а = 200 м/с2; у = 11 000 м/с (при отсутствии сопротивления атмосферы такая скорость достаточна). Из формулы υ = at имеем: 11 000 = 200t, откуда t = 55 с. Из формулы
7. Невесомость свободно падающих тел
Положение, что свободно падающее или брошенное вверх тело ничего не весит, представляется многим настолько необычным и неожиданным, что его готовы принять за физический софизм (вывод правдоподобный, но ложный). Уместно будет поэтому указать на несколько опытов, могущих подтвердить правильность этого утверждения. Первый опыт подобного рода, насколько мне известно, выполнен был знаменитым Лейбницем. Он привешивал к чашке весов довольно длинную, наполненную водой трубку; на поверхность воды помещал металлический шарик, пустой внутри и закрытый. Устанавливал равновесие, затем открывал отверстие плавающего шарика, шарик наполнялся водой и падал вниз. Во время движения шарика соответствующая сторона весов становилась легче, чашка с разновесками перетягивала (Фишер. История физики). Целый ряд опытов подобного рода был выполнен около 1892–1893 гг. известным физиком профессором Н.А. Любимовым. Из этих остроумных опытов, странным образом преданных забвению [49], укажем следующие: 1. Маятник с твердым стержнем, привешенный к вертикальной доске, отводится в сторону и удерживается в этом положении штифтом. Когда доске с этим маятником дают свободно падать, вынув штифт, удерживающий маятник, то последний остается в отклоненном положении, не обнаруживая стремления раскачиваться [50]. 2. К такой же доске прикрепляют стеклянную трубку в наклонном положении: вверху трубки кладут на ее скошенный край тяжелый шарик, удерживаемый штифтом. В момент падения доски штифт удаляют, но шарик остается вверху трубки, не скатываясь внутрь ее. ![]() Рис. 61. Отмена закона Архимеда в падающей системе 3. На той же доске укрепляют магнит, а под ним на палочку кладут железную полоску (якорь) на таком расстоянии, чтобы магнит не мог ее поднять. Во время падения доски с магнитом и якорем последний притягивается магнитом. 4. Закон Архимеда утрачивает свое значение при падении системы. Представим себе, что в сосуд с водою погружена пробка (рис. 61). Пружина удерживает ее в воде вопреки давлению жидкости снизу вверх, повинуясь которому пробка всплыла бы наверх. Во время падения сосуда с пробкой А этого давления снизу вверх нет (так как давление жидкости обусловлено в данном случае ее весомостью), и пробка опускается вниз (Любимов Н.А. Из физики системы, имеющей переменное движение). Отметим еще одно любопытное явление: жидкость из сосуда в падающей системе под давлением больше атмосферного вытекает прямолинейной струей без параболического изгибания. Явления того же порядка, – пишет Н.А. Любимов в упомянутой выше брошюре, – могут быть наблюдаемы, в известной степени, не только при свободном падении системы, но и в системе, катящейся вниз по наклонной плоскости или качающейся. Опыты с катящейся по наклонной плоскости или качающейся системой могут быть произведены с тем большим удобством, что наблюдатель сам может поместиться в скатывающейся или качающейся системе (катиться с горы, качаться на качелях) и следить за явлением. Нет особого затруднения устроить и свободно падающую систему с помещенным в ней наблюдателем, озаботившись, чтобы падающая система – например, корзина на перекинутой через блок веревке – достигала Земли без толчка, с утраченною уже скоростью [51]. |
![Иллюстрация к книге — Увлекательно о космосе. Межпланетные путешествия [i_213.jpg] Иллюстрация к книге — Увлекательно о космосе. Межпланетные путешествия [i_213.jpg]](img/book_covers/077/77820/i_213.jpg)
![Иллюстрация к книге — Увлекательно о космосе. Межпланетные путешествия [i_214.jpg] Иллюстрация к книге — Увлекательно о космосе. Межпланетные путешествия [i_214.jpg]](img/book_covers/077/77820/i_214.jpg)
![Иллюстрация к книге — Увлекательно о космосе. Межпланетные путешествия [i_215.jpg] Иллюстрация к книге — Увлекательно о космосе. Межпланетные путешествия [i_215.jpg]](img/book_covers/077/77820/i_215.jpg)
![Иллюстрация к книге — Увлекательно о космосе. Межпланетные путешествия [i_216.jpg] Иллюстрация к книге — Увлекательно о космосе. Межпланетные путешествия [i_216.jpg]](img/book_covers/077/77820/i_216.jpg)
![Иллюстрация к книге — Увлекательно о космосе. Межпланетные путешествия [i_217.jpg] Иллюстрация к книге — Увлекательно о космосе. Межпланетные путешествия [i_217.jpg]](img/book_covers/077/77820/i_217.jpg)
![Иллюстрация к книге — Увлекательно о космосе. Межпланетные путешествия [i_218.jpg] Иллюстрация к книге — Увлекательно о космосе. Межпланетные путешествия [i_218.jpg]](img/book_covers/077/77820/i_218.jpg)
![Иллюстрация к книге — Увлекательно о космосе. Межпланетные путешествия [i_219.jpg] Иллюстрация к книге — Увлекательно о космосе. Межпланетные путешествия [i_219.jpg]](img/book_covers/077/77820/i_219.jpg)