Книга Увлекательно о космосе. Межпланетные путешествия, страница 11 – Яков Перельман

Авторы: А Б В Г Д Е Ж З И Й К Л М Н О П Р С Т У Ф Х Ч Ш Ы Э Ю Я
Книги: А Б В Г Д Е Ж З И Й К Л М Н О П Р С Т У Ф Х Ц Ч Ш Щ Ы Э Ю Я
Бесплатная онлайн библиотека LoveRead.in

Онлайн книга «Увлекательно о космосе. Межпланетные путешествия»

📃 Cтраница 11
Иллюстрация к книге — Увлекательно о космосе. Межпланетные путешествия [i_021.jpg]

откуда υ ≈ 2400 м/с. Значит, наибольшая скорость, какую черный порох способен сообщить снаряду, – 2400 м/с, и никакие усовершенствования огнестрельного оружия не превзойдут этого предела.

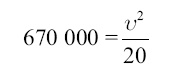
Из всех известных нам взрывчатых веществ наибольший запас энергии заключает нитроглицерин: 1580 больших калорий на килограмм (пироксилин, отправивший на Луну героев Жюля Верна, развивает при взрыве всего 1100 калорий). В переводе на механическую энергию получим 670 000 кгм, а из уравнения

Иллюстрация к книге — Увлекательно о космосе. Межпланетные путешествия [i_022.jpg]

узнаем соответствующую предельную скорость снаряда: 3660 м/с.

Как видите, это еще далеко от тех 11–17 км/с, какие нужны для выстрела в мировое пространство.

Если для сообщения артиллерийскому снаряду космической скорости не годятся современные взрывчатые вещества, то нельзя ли надеяться на то, что химия снабдит нас когда-нибудь более мощными взрывчатыми составами? Однако химики дают на этот счет малообнадеживающие сведения. «Нельзя ждать значительного успеха в изобретении сильных взрывчатых веществ. Наши взрывчатые вещества и без того дают очень много тепла и приводят к очень высоким температурам… Трудно надеяться, чтобы химическими способами можно было выйти далеко за пределы этих температур. Таким образом, нельзя рассчитывать изобрести взрывчатые вещества, которые давали бы много больше работы, чем современные» (Шилов Е. Пределы силы взрывчатых веществ).

Как видим, пушка, заряжаемая взрывчатыми составами, совершенно недостаточна для обстрела мирового пространства и навсегда останется такой. Но быть может, это будет осуществлено когда-нибудь пушками электромагнитными, слухи об изобретении которых проникали в печать? Здесь мы вступаем в область неизвестного.

Будем оптимистами и станем надеяться, что это неизвестное сулит успех и поможет людям со временем перебросить снаряд на Луну.

Если бы вопрос состоял только в этом, если бы мы искали способ установить между планетами своего рода небесную почту, если бы мы стремились лишь отправлять в далекие миры посылки для неведомых адресатов, то задача решалась бы электромагнитной пушкой вполне удовлетворительно.

Но мы заботились пока только о снаряде, о том, чтобы он полетел достаточно быстро и достиг своей цели. Подумаем теперь и о том, что будет происходить внутри снаряда. Ведь перед нами не простой артиллерийский снаряд; это своего рода вагон, в котором находятся живые существа. Какая участь ожидает их при полете?

Здесь, а не в самой мысли перекинуть снаряд на Луну кроется слабое место заманчивого проекта Жюля Верна.

Небывалое путешествие должно было пройти для пассажиров Жюль-Вернова снаряда далеко не так благополучно, как описано в романе. Не думайте, впрочем, что опасность грозит им во время путешествия от Земли до Луны. Ничуть! Если бы пассажирам удалось остаться живыми к моменту, когда они покинут канал пушки, то в дальнейшем путешествии им нечего было бы уже опасаться. В океане Вселенной нет ни бурь, ни волн, ни качки. Встреча с метеором весьма маловероятна; тот «второй спутник Земли», который едва не преградил путь снаряду Жюля Верна, в действительности не существует. А огромная скорость, с которой пассажиры летели бы в мировом пространстве вместе с их вагоном, была бы столь же безвредна для них, как безвредна для нас, обитателей Земли, та секундная скорость в 30 км, с какой мы мчимся вокруг Солнца.

Опасный момент для Жюль-Верновых путешественников представляют те сотые доли секунды, в течение которых снаряд-вагон движется в канале ствола самой пушки. В этот ничтожно малый промежуток времени скорость движения пассажиров должна неимоверно возрасти: от нуля до 16 км/с [15]. Герои романа были вполне правы, утверждая, что момент, когда снаряд полетит, будет столь же опасен для них, как если бы они находились не внутри снаряда, а прямо перед ним. Действительно, в момент выстрела нижняя площадка (пол) каюты должна ударить пассажиров с такой же силой, с какой обрушился бы снаряд на любое тело, находящееся впереди него. Напрасно пассажиры воображали, что отделаются лишь сильными приливами крови к голове.

Дело неизмеримо серьезнее. Произведем несложный расчет. В канале ствола пушки снаряд движется ускоренно – скорость его увеличивается под постоянным напором газов, образующихся при взрыве; в течение ничтожной доли секунды она возрастает от нуля до 16 км. Как же велико ускорение этого движения, то есть на какую величину нарастает здесь скорость в течение полной секунды? Нужды нет, что движение длится лишь малую долю секунды: расчет можно вести на целые секунды. Оказывается, что секундное ускорение ядра, скользящего в канале ствола орудия, выражается огромным числом – 640 км/с (см. Приложение 6). Для сравнения напомню, что секундное ускорение трогающегося курьерского поезда – не более 1 м/с.

Все значение этого числа – 640 км/с за секунду – мы постигнем лишь тогда, когда сравним его с ускорением падающего тела на земной поверхности, ускорением, составляющим всего около 10 м/с за секунду, то есть в 64 000 раз меньше. Это значит, что в момент выстрела каждый предмет внутри снаряда придавливался бы ко дну снаряда с силой, которая в 64 000 раз больше веса самого предмета. Пассажиры почувствовали бы, что внезапно сделались в десятки тысяч раз тяжелее. Цилиндр мистера Барбикена один весил бы десятки тонн. Правда, это длилось бы всего 40-ю долю секунды, но можно не сомневаться, что под действием такой колоссальной тяжести люди были бы буквально расплющены. Бессильны все меры, принятые героями Жюля Верна для ослабления силы удара: пружинные буфера и двойное дно с водой. Продолжительность удара от этого, правда, растягивается, и, следовательно, быстрота нарастания скорости уменьшается. Но при тех огромных величинах, с которыми приходится иметь здесь дело, выгода получается ничтожная: сила, придавливающая пассажиров к полу, уменьшается на какую-нибудь сотую долю, не более.

Нет ли средств избегнуть при взрыве роковой быстроты нарастания скорости? [16]

Этого можно было бы достигнуть весьма значительным удлинением канала пушки. Легко убедиться вычислением (см. Приложение), что если, например, мы хотим иметь «искусственную» тяжесть внутри ядра в момент выстрела равною обыкновенной тяжести на земном шаре, то нам нужно изготовить пушку длиною – ни много ни мало – в 6000 км. Жюль-Вернова колумбиада должна была бы простираться в глубь земного шара почти до самого центра, чтобы пассажиры были избавлены от этих неприятностей: они почувствовали бы, что стали только вдвое тяжелее.

Вход
Поиск по сайту
Ищем:
Календарь