Онлайн книга «Тяжёлый танк «Пантера». Первая полная энциклопедия»
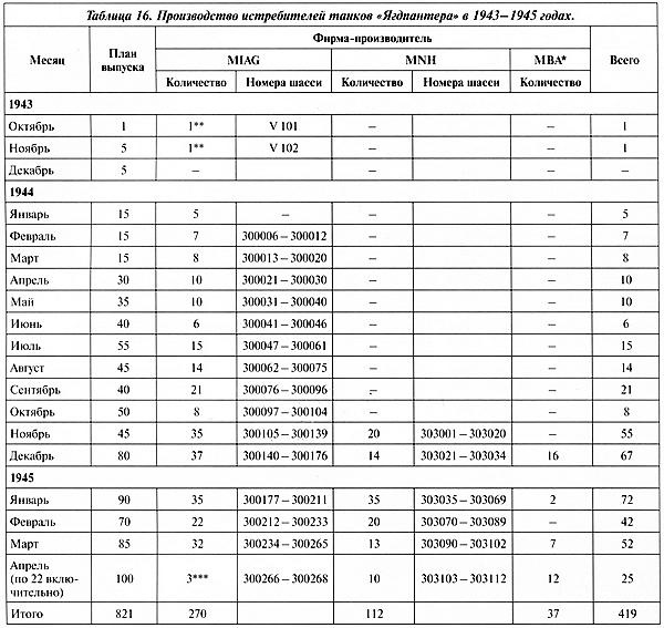
![]() «Ягдпантеры» 654-го батальона тяжёлых истребителей танков на учениях. Полигон Миелау, май 1944 года. Машина имеет составной ствол орудия и один смотровой прибор механика-водителя (БА). На время освоения выпуска самоходки на MBA и выхода последней на запланированный уровень к изготовлению «ягдпантер» привлекался завод фирмы MNH в Ганновере. Это предприятие уже имело значительный опыт выпуска бронетехники — с лета 1943 года оно производило танки «Пантера». По утверждённому графику MNH должна была изготовить 20 «ягдпантер» в ноябре, 44 — в декабре 1944-го и 30 — в январе 1945 года. Для обеспечения выполнения этого задания с завода фирмы MIAG отгрузили на MNH 80 корпусов самоходок. Предполагалось, что после выпуска 94 «ягдпантер» MNH прекратит их производство — по плану Управления вооружений к февралю 1945 года на заданную мощность должен был выйти завод MBA. После привлечения к производству «ягдпантер» предприятий MNH и MBA суммарный выпуск этих машин составил 55 штук в ноябре и 67 — в декабре 1944 года. Наивысший же показатель — 72 самоходки — немецкая промышленность смогла достигнуть в январе 1945 года. Так как, несмотря на принимаемые меры, ни MIAG, ни MBA не смогли выйти на запланированный график выпуска «ягдпантер», фирма MNH в начале 1945 года получила задание продолжать изготовление этих самоходок до июня. Кроме того, исходя из сложившейся ситуации генерал-инспектор танковых войск Г. Гудериан вынужден был в начале февраля 1945 года утвердить так называемую «программу спасения» производства танков, которая предусматривала использование всех имевшихся на тот момент в наличии сил и средств. По этой программе выпуск «ягдпантер» в течение ближайшего полугодия должен был выглядеть следующим образом (см. таблицу 15). ![]() Однако программа выглядела слишком оптимистично для агонизирующей промышленности рейха. Из-за воздушных налётов авиации союзников, перебоев с электроэнергией, трудностей с поставкой различных материалов и их транспортировкой по железным дорогам, фирмы MIAG, MNH и MBA смогли изготовить всего лишь 42 «ягдпантеры» в феврале, 52 в марте и 21 в апреле 1945 года. Таким образом, за всё время серийного производства было выпущено всего 415 истребителей танков «Ягдпантера», включая два прототипа. Данные о ежемесячном производстве самоходок приведены в таблице 16. При этом следует учитывать, что она составлена на основе ежемесячных сводок фирм MIAG и MNH, а также Управления вооружений, которые сохранились. Что касается MBA, то её документов нет. Поэтому производство «ягдпантер» этой фирмой получено путём вычета продукции MIAG и MNH из общего количества произведённых машин за каждый месяц. ![]() * Номера шасси «ягдпантер» компании MBA автору неизвестны. ** Прототипы. *** Есть информация, свидетельствующая о том, что до 22 апреля 1945 года могло быть изготовлено ещё несколько «ягдпантер». ИЗМЕНЕНИЯ В ХОДЕ СЕРИЙНОГО ПРОИЗВОДСТВА В конструкцию «Ягдпантеры» вносилось большое количество изменений, которые должны были упростить производство и повысить боевые качества машины. Рассмотрим некоторые из них. Январь 1944 года. Пять «револьверных» отверстий в бортах рубки имелись только на первых двух прототипах № V 101 и V 102. С началом серийного производства (начиная с шасси № 300001) от них отказались. Военные считали, что эти отверстия ослабляли бортовые и кормовой листы, а кроме того, для самообороны в ближнем бою на «ягдпантеры» стали устанавливать приспособление Nähverteidigungswaffe для стрельбы 90-мм «прыгающими» минами. Установка для стрельбы ими размещалась в крыше рубки слева. Однако из-за задержек с организацией выпуска таких установок их монтаж в «ягдпантерах» начался только с июня 1944 года. На машинах, изготовленных до этого времени, отверстие для монтажа Nähverteidigungswaffe в крыше рубки закрывалось круглой броневой заглушкой, закреплённой четырьмя болтами. ![]() Обучение экипажей «ягдпантер» 654-го батальона тяжёлых истребителей танков на полигоне Миелау. Май 1944 года (БА). ![]() «Ягдпантеры» 654-го батальона тяжёлых истребителей танков на учениях. Полигон Миелау, май 1944 года. Хорошо виден рисунок циммеритного покрытия, форма неподвижной орудийной маски первоначального образца и один смотровой прибор механика-водителя (БА). Февраль 1944 года. В ходе производства отказались от левого смотрового прибора механика-водителя, а отверстие для его установки стали заваривать прямоугольной броневой пластиной. На люке, закреплённом на кормовом листе корпуса восемью болтами и предназначенном для доступа к двигателю, приварили буксирное приспособление. Последнее позволяло использовать при эвакуации вышедших из строя «ягдпантер» так называемую «жёсткую» сцепку, что значительно улучшало условия буксировки (до этого предполагалось использовать тросы). Сцепка позволяла транспортировать повреждённую «Ягдпантеру» такой же машиной, правда при этом они устанавливались кормой к корме, и получался своеобразный «тяни-толкай». Домкрат, ранее размешавшийся горизонтально на корме на месте буксирного приспособления, теперь устанавливался вертикально, между выхлопными трубами. Первые серийные «ягдпантеры» получили броневую крышу моторного отделения от танка «Пантера» Ausf.А. Правда, при этом примерно в два раза уже стали решётки для выброса воздуха, расположенные сразу за кормовым листом рубки. Кроме того, на первых серийных «ягдпантерах» отверстие для установки антенны на крыше моторного отделения слева (именно там антенна крепилась на танках «Пантера») заваривалось круглой заглушкой. Это было связано с тем, что на самоходках отверстия для антенного ввода располагались в кормовом листе корпуса. ![]() «Ягдпантера» 654-го батальона тяжёлых истребителей танков на полигоне Миелау. Май 1944 года. Машина выпуска января — февраля 1944 года с двумя смотровыми приборами водителя (БА). |
![Иллюстрация к книге — Тяжёлый танк «Пантера». Первая полная энциклопедия [i_301.jpg] Иллюстрация к книге — Тяжёлый танк «Пантера». Первая полная энциклопедия [i_301.jpg]](img/book_covers/077/77498/i_301.jpg)
![Иллюстрация к книге — Тяжёлый танк «Пантера». Первая полная энциклопедия [i_302.jpg] Иллюстрация к книге — Тяжёлый танк «Пантера». Первая полная энциклопедия [i_302.jpg]](img/book_covers/077/77498/i_302.jpg)
![Иллюстрация к книге — Тяжёлый танк «Пантера». Первая полная энциклопедия [i_303.jpg] Иллюстрация к книге — Тяжёлый танк «Пантера». Первая полная энциклопедия [i_303.jpg]](img/book_covers/077/77498/i_303.jpg)
![Иллюстрация к книге — Тяжёлый танк «Пантера». Первая полная энциклопедия [i_304.jpg] Иллюстрация к книге — Тяжёлый танк «Пантера». Первая полная энциклопедия [i_304.jpg]](img/book_covers/077/77498/i_304.jpg)
![Иллюстрация к книге — Тяжёлый танк «Пантера». Первая полная энциклопедия [i_305.jpg] Иллюстрация к книге — Тяжёлый танк «Пантера». Первая полная энциклопедия [i_305.jpg]](img/book_covers/077/77498/i_305.jpg)
![Иллюстрация к книге — Тяжёлый танк «Пантера». Первая полная энциклопедия [i_306.jpg] Иллюстрация к книге — Тяжёлый танк «Пантера». Первая полная энциклопедия [i_306.jpg]](img/book_covers/077/77498/i_306.jpg)