Книга Золотое побережье, страница 43 – Ким Стэнли Робинсон

Авторы: А Б В Г Д Е Ж З И Й К Л М Н О П Р С Т У Ф Х Ч Ш Ы Э Ю Я
Книги: А Б В Г Д Е Ж З И Й К Л М Н О П Р С Т У Ф Х Ц Ч Ш Щ Ы Э Ю Я
Бесплатная онлайн библиотека LoveRead.in

Онлайн книга «Золотое побережье»

📃 Cтраница 43

Подчиненные Дэна прекрасно знают обстановку и сразу чувствуют, как изменилось настроение шефа. Кроме того, здесь планировалась приватная беседа двух руководителей; поболтав еще немного, Арт и Джерри откланиваются, оставляя Дэна и Денниса один на один.

– Так, значит, – все так же невесело улыбается Дэн, – Лемон навесил-таки на тебя нашу «Шаровую молнию»?

– Навесил.

– Тем хуже для тебя. – Дэн подзывает пробегающую мимо официантку и просит принести еще один кувшин. – Он же ополоумел от страха, это я точно знаю. Херефорд названивает из Нью-Йорка, давит изо всех сил, а Лемон дрожит – ведь ему хорошо известно, в какой мы дыре. – Хьюстон потерянно качает головой. – Глубже некуда.

– Расскажи мне поподробнее.

Дэн вынимает ручку и рисует на желтой бумажной скатерти круг.

– Главная проблема, – он опять печально улыбается, – в том, что на первый слой возложена непосильная задача. Командование стратегической обороны требует, чтобы семьдесят процентов всех советских межконтинентальных ракет, запущенных при полномасштабном ударе, было уничтожено на стадии ускорения. Мы получили контракт на разработку системы, согласившись с такой предпосылкой. Но это невозможно.

– Невозможно, говоришь? – У Макферсона есть подозрение, что Дэн попросту придумывает отговорки, пытается объяснить провал программы объективными обстоятельствами. – А почему?

Хьюстон морщится:

– Слишком велико необходимое время облучения, слишком оно, Мак, велико. – Он вздыхает. – Это всегда было самым слабым местом архитектуры системы. Русские уменьшили время работы двигателей до шестидесяти секунд; так что большая часть их МБР будет находиться в стадии ускорения одну-единственную минуту, и половину этого времени они проведут в атмосфере, где от лазеров толку мало. Так что нам остается окно в тридцать секунд.

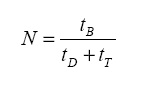
Разговаривая, он царапает на скатерти цифры – нервно, даже не глядя на ручку, словно эти цифры – то ли его подпись, то ли какой-то иной, еще более глубоко засевший в сознании знак, tB =30.

– Так вот, первым делом мы должны обнаружить запуск, отследить ракеты и сориентировать все зеркала нужным образом – чтобы они направляли лучи лазеров куда следует, то есть осуществить наведение. Бригада Арта довела потребное на это время до десяти секунд – невероятное, кстати, техническое достижение. – Он кивает, словно соглашаясь с правотой собственных слов, и пишет: tT = 10.

– Ну а затем остается время облучения, время, за которое пучок способен уничтожить ракету. – Он пишет tD =, медлит и оставляет правую часть равенства незаконченной.

– Вы сказали воякам, что сумеете обеспечить очень энергичный импульс, так ведь? – спрашивает Макферсон. – Настолько энергичный, что возникающая ударная волна разрушит корпус ракеты.

– Да, – печально кивает Дэн.

– Тогда необходимое время облучения должно быть совсем малым.

– Верно, верно. Время облучения должно быть порядка двух секунд. И тогда каждый лазер сможет уничтожить N снарядов, где, – он снова пишет:

Иллюстрация к книге — Золотое побережье [i_003.jpg]

– Однако, – продолжает Дэн, глядя на простенькое уравнение, – в действительности необходимое время облучения зависит от прочности мишени, расстояния до нее, мощности лазерного луча и угла падения луча на мишень. – Он все так же рассеянно, почти не глядя на скатерть, пишет новое уравнение:

Иллюстрация к книге — Золотое побережье [i_004.jpg]

– Нам задают прочность порядка сорока килоджоулей на квадратный сантиметр. Наши лазеры посылают в десятиметровое зеркало двадцать пять мегаватт мощности при длине волны 2,7 нанометра, так что даже при наилучшем угле падения необходимое время облучения будет равно, – он аккуратно выписывает цифры, – пятидесяти трем секундам [19].

– Как это? – недоумевает Макферсон. – А куда же девалась ваша любимая ударная волна?

– Ничего не выходит, – обреченно качает головой Дэн. – Слишком уж они крепкие, эти ракеты. Их нужно попросту сжигать, как я и говорил с самого начала – до того как мы получили контракт на разработку. Зеркала уже подняты, и вырасти они не могут, энергетический импульс и так невероятно велик, особенно если учесть, что нужно запитывать полтораста лазерных установок одновременно, а менять длину волны – значит полностью менять всю систему. Такие вот пироги.

– Но ведь тогда получается, что необходимое время превышает время ускорения.

– Вот именно. Каждый лазер может сбить примерно восемьдесят процентов одной ракеты. А ракет этих – десять тысяч, при полутора сотнях лазеров.

Макферсон совершенно ошарашен, он отбирает у Хьюстона ручку, что-то подсчитывает на скатерти, недоверчиво перепроверяет результат, откладывает ручку и берется за стакан.

– А каким же тогда, спрашивается, образом мы получили этот контракт?

Дэн отрешенно качает головой. Теперь он смотрит не на стол, а в окно, на море.

– Мы получили контракт на основе наземных испытаний. Доказали, что можем разрушить ударной волной достаточно прочную неподвижную мишень. Одновременно тот же самый контракт был заключен с «Боингом» на соревновательной основе. По истечении трех лет каждая фирма должна показать, что способна уничтожить ракету на старте, показать в натурных испытаниях. И эти испытания уже на носу. Победитель получит двадцатимиллиардный заказ – и это еще только для затравки, – а проигравший потеряет несколько сотен миллионов, истраченных на предварительные разработки. Возможно – получит субподряд от победителя, крошки с барского стола.

– Что-то я не все понимаю, – нетерпеливо прерывает его Макферсон. – Наземные испытания прошли удачно, в чем же тогда дело?

Дэн приканчивает очередной стакан.

– Возьмем еще кувшин?

– Нет.

Дэн на секунду задумывается, а потом вытряхивает себе в стакан последние капли «Маргариты» вместе с ледяной крошкой.

– Дело тут в том, – неохотно говорит он, – что испытание было не совсем настоящее. «Проволочная хлопушка».

– Что?! – пораженно вскидывается Макферсон; его колени задевают крышку стола, и стаканы с грохотом подскакивают. – Как это?

Вопрос бессмысленный, он отлично понимает – как это. Испытания не дали результата, заявленного ЛСР.

– Зачем вы это сделали?

– Со временем было туго, – пожимает плечами Дэн. – А нам казалось, что проблема фактически решена. Мы были уверены, что сумеем послать пучок такой плотности, что он создаст ударную волну, достаточную для разрушения самой прочной оболочки. По расчетам выходило: добавить еще немного мощности, и дело будет в шляпе. Поэтому мы смоделировали то, что получится в конечном итоге, намереваясь подтвердить результат постфактум, после получения контракта. Но все настоящие испытания провалились.

Вход
Поиск по сайту
Ищем:
Календарь