Онлайн книга «Удивительные истории о веществах самых разных. Тайны тех, что составляют землю, воду, воздух... и поэзию»
|
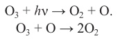
Он, невнимательный к природе, Вдруг вспомнил летние дожди, Когда все было на исходе, Когда все было позади. Тогда в Москве палило лето, И долго не было дождя, Лишь погромыхивало где‐то, Грозою город обходя. Но словно по его заказу Блеснул изломанный разряд, Ударил гром. И сразу, сразу На город рухнул дождепад. Со всех сторон хлестало, перло, Блистало, грохало. И он Вдохнул в истерзанное горло Благоухающий озон. От этих запаха и влаги Легчало у него в груди, Когда ложилось на бумаге Про эти летние дожди. Поэтам дозволяется многое, но справедливости ради отметим, что озон, эта аллотропная модификация кислорода, чрезвычайно агрессивен, поскольку легко распадается на обычную молекулу О2 и атомарный кислород, способный окислить едва ли не любое вещество. Органику он разрушает напрочь, металлы (за исключением золота, платины и иридия) превращает в окиси, сульфиды – в сульфаты, серу – в серную кислоту, и так далее. Озон образуется во многих процессах, сопровождающихся выделением атомарного кислорода, например при разложении перекисей, окислении фосфора и т. п. В промышленности его получают из воздуха или кислорода в озонаторах действием электрического разряда. Сжижается O3 легче, чем O2, и потому их несложно разделить. Полезен ли озон для человека? Прямо скажем, что компот или свиная отбивная действуют на наш организм гораздо благотворнее. Высокая окисляющая способность озона и образование во многих реакциях с его участием свободных радикалов кислорода делают его крайне ядовитым. Говорят даже, что при долгом нахождении в среде с повышенной концентрацией этого газа он может стать причиной мужского бесплодия. В России озон относится к вредным веществам первого, самого высокого класса опасности. Впрочем, человечество ухитрилось и ему найти применение. В качестве окислителя он используется для стерилизации медицинских инструментов, в химическом синтезе, для отбеливания бумаги и очистки масел. В качестве непревзойденного обеззараживающего средства – для очистки воздуха, помещений и одежды, а главное – водопроводной воды, представляя собой прекрасную замену хлору (от озона в воде не остается неприятного привкуса). В Европе подобную обработку проходит 95 процентов водопроводной воды; есть станции озонирования и в России, например в Москве и Нижнем Новгороде. Кроме того, озоном обрабатываются многие марки родниковой воды в бутылках (что, пожалуй, и лишнее, поскольку в такой воде микробов быть не должно с самого начала). Да, несправедливо будет не упомянуть об озонотерапии, когда больных – в частности, онкологических – заставляют дышать озоном, вводят его в суставы и в подкожную клетчатку в чистом виде, а в кровеносное русло – смешивая с физиологическим раствором и/или кровью пациента. Думается, что толченый рог носорога и печень тигра все‐таки полезнее, а услуги хорошего шамана, которые, во всяком случае, вам не повредят, обойдутся значительно дешевле. А теперь перейдем к главной роли озона в качестве спасителя жизни на нашей планете. Дело в том, что в верхних слоях атмосферы под действием солнечного излучения образуется и поддерживается озоновый слой. Значительная часть ультрафиолета при этом поглощается, не достигает земли и, соответственно, не истребляет птиц, белочек, людей и прочих крокодилов, которые в противном случае вымерли бы еще пару миллиардов лет назад, а может быть, и вовсе бы не зародились. Все бы хорошо, но (как и в случае пресловутого глобального потепления) алчное человечество роет само себе могилу, способствуя разрушению этого волшебного слоя. Так, по крайней мере, думает большинство ученых (к которым авторы не относятся). В докладе Всемирной метеорологической организации (ВМО) за 2012 год отмечено, что озоновый слой над Арктическим регионом уменьшается почти каждую зиму, но в предыдущие годы слой становился тоньше не более чем на 30 процентов, а за зиму 2010 – 2011 годов снижение составило рекордные 40 процентов. Авторы доклада обвиняют в этом, во‐первых, используемые в быту химические соединения и, во‐вторых, необычайно низкие зимние температуры в стратосфере. Так называемая «озоновая дыра», то есть область с пониженной на 30 процентов и более концентрацией озона, регулярно образуется над Антарктидой именно из‐за ежегодно низких температур в стратосфере над этим континентом. При этом образуются облака из мелких кристаллов льда, на поверхности которых осаждаются химические вещества земного происхождения, которые и вступают в реакцию с озоном. В Арктике ситуация иная, здесь стратосферная температура может вообще не упасть до тех –80ºС, при которых образуется дыра. И в отдельные годы уменьшения озонового слоя над Арктикой вообще не происходит. Впервые образование «озоновой дыры» было зафиксировано над Антарктидой в 1985 году английской экспедицией. Вскоре нашли и «виновника» распада озона. Большинство образующихся в результате человеческой деятельности веществ не в состоянии добраться до стратосферы и разлагаются еще в нижних слоях атмосферы. И только чрезвычайно инертные соединения углерода с хлором и фтором – фреоны достигают озонового слоя и подвергаются воздействию этого высокоактивного окислителя. Фреонов нам не жалко, а вот озон в результате таких реакций превращается в обычный кислород О2, не задерживающий вредный ультрафиолет. Главными механизмами распада озона являются азотный, кислородный, водородный и галогеновый. Эти реакции представляют собой каталитические циклы, поэтому их также называют соответствующими циклами. Кислородный цикл (механизм Чэпмена): ![]() Азотный цикл (NOx): ![]() Водородный цикл (HOx): ![]() Хлорный цикл (ClOx): ![]() |
![Иллюстрация к книге — Удивительные истории о веществах самых разных. Тайны тех, что составляют землю, воду, воздух... и поэзию [imgbeca1099c8c643c0afb04b5b5506b19a.jpg] Иллюстрация к книге — Удивительные истории о веществах самых разных. Тайны тех, что составляют землю, воду, воздух... и поэзию [imgbeca1099c8c643c0afb04b5b5506b19a.jpg]](img/book_covers/076/76694/imgbeca1099c8c643c0afb04b5b5506b19a.jpg)
![Иллюстрация к книге — Удивительные истории о веществах самых разных. Тайны тех, что составляют землю, воду, воздух... и поэзию [imgd68544feb1d74bb79d0a7da9055e586f.jpg] Иллюстрация к книге — Удивительные истории о веществах самых разных. Тайны тех, что составляют землю, воду, воздух... и поэзию [imgd68544feb1d74bb79d0a7da9055e586f.jpg]](img/book_covers/076/76694/imgd68544feb1d74bb79d0a7da9055e586f.jpg)
![Иллюстрация к книге — Удивительные истории о веществах самых разных. Тайны тех, что составляют землю, воду, воздух... и поэзию [img585f2e3e5bfc4b60814084b0a14b8183.jpg] Иллюстрация к книге — Удивительные истории о веществах самых разных. Тайны тех, что составляют землю, воду, воздух... и поэзию [img585f2e3e5bfc4b60814084b0a14b8183.jpg]](img/book_covers/076/76694/img585f2e3e5bfc4b60814084b0a14b8183.jpg)
![Иллюстрация к книге — Удивительные истории о веществах самых разных. Тайны тех, что составляют землю, воду, воздух... и поэзию [img5d429eeb727f4fa8b6ceb36615e8cbd2.jpg] Иллюстрация к книге — Удивительные истории о веществах самых разных. Тайны тех, что составляют землю, воду, воздух... и поэзию [img5d429eeb727f4fa8b6ceb36615e8cbd2.jpg]](img/book_covers/076/76694/img5d429eeb727f4fa8b6ceb36615e8cbd2.jpg)