Книга На волне Вселенной. Шрёдингер. Квантовые парадоксы, страница 6 – Давид Бланко Ласерна

Авторы: А Б В Г Д Е Ж З И Й К Л М Н О П Р С Т У Ф Х Ч Ш Ы Э Ю Я
Книги: А Б В Г Д Е Ж З И Й К Л М Н О П Р С Т У Ф Х Ц Ч Ш Щ Ы Э Ю Я
Бесплатная онлайн библиотека LoveRead.in

Онлайн книга «На волне Вселенной. Шрёдингер. Квантовые парадоксы»

📃 Cтраница 6

Световые колебания

Для представления света как волны используются две характеристики: амплитуда (высота волны) и длина, или частота волны (степень растяжения или сжатия волны). Представим себе, например, пробку, плавающую на поверхности моря, волны которого перемещаются с одинаковой скоростью. Пробка не движется по горизонтали, она лишь поднимается и опускается в ритме волн. Самое высокое положение совпадает с гребнем волны, самое низкое — с ее подошвой. Вертикальная разница между этими двумя точками и есть амплитуда.

Иллюстрация к книге — На волне Вселенной. Шрёдингер. Квантовые парадоксы [img_4.jpg]

Степень колебания пробки можно рассматривать как интуитивную меру энергии, передаваемой волнами. Она зависит от частоты (v) или от длины волны (λ). Эти две переменные передают одну информацию, причем первая обратна второй: длинной волне соответствует небольшая частота, и наоборот. В случае света, скорость распространения которого в вакууме постоянна (с), имеем: с = λ • ν. Так как с остается константой, то увеличение одной переменной неизбежно приводит к уменьшению другой.

На следующем рисунке λ соответствует расстоянию между двумя соседними гребнями волны. Это расстояние также соответствует расстоянию между любыми другими последовательными парами точек волны, расположенными на одной и той же высоте.

Иллюстрация к книге — На волне Вселенной. Шрёдингер. Квантовые парадоксы [img_5.jpg]

А теперь распространим по направлению к пробке две волны, движущиеся с одинаковой скоростью, но одна из них будет иметь более короткую λ(Α), а вторая — более длинную λ(Β). Первая волна поднимет и опустит пробку несколько раз за определенное время, а прохождение второй волны более гладкое.

Иллюстрация к книге — На волне Вселенной. Шрёдингер. Квантовые парадоксы [img_6.jpg]

Высота расположения пробки соответствует высоте волны в той точке, где она находится. Если волна начинает цикл подъемов и спадов, пробка повторяет их. Вот почему короткая, энергичная λ соответствует повышенной ν (пробка часто проходит одни и те же позиции), а длинная, спокойная λ соответствует низкой ν (пробка проходит эти позиции с меньшей частотой). Очевидно, что волны с короткой λ вызывают более значительное волнение, но потребляют при этом больше энергии, чем волны с длинной λ.


Так же как распределение веса у населения может быть проиллюстрировано графиком, можно графически представить распределение плотности энергии для каждой длины волны при заданной температуре. Такой тип представления называется энергетическим спектром.

Для изучения взаимосвязей материи и света нужно было создать экспериментальную ситуацию, свободную от взаимодействий с другими явлениями, которые могут усложнить анализ. Физики приступили к поискам экспериментального поля, в котором атомы и электромагнитные волны могли бы свободно взаимодействовать. Решение дали печи. Когда печь, изолированная от окружения, нагревается и достигает равновесного состояния, она испускает универсальный спектр излучения, зависящий исключительно от температуры. Каким бы ни были материал стенок печи, ее форма и размеры, все печи при одинаковой температуре излучают один и тот же спектр. Этот универсальный спектр выражает глубокое и прямое взаимодействие между материей и излучением.

В лаборатории при открытии печи измеряется спектр, показанный на рисунке 2. Видно, как энергия концентрируется вокруг самой высокой точки каждой кривой и как λ, в соответствии с этим экстремумом, смещается к более короткой длине волны (более энергетичной) по мере возрастания температуры (7). Это смещение было продемонстрировано в 1893 году немецким физиком Вильгельмом Вином и показано на графике пунктирной линией: максимальная λ обратно пропорциональна Т. С увеличением температуры максимальная λ уменьшается. Речь идет о прогнозируемой тенденции: короткие длины волн соответствуют большому количеству энергии и высокой температуре.

Иллюстрация к книге — На волне Вселенной. Шрёдингер. Квантовые парадоксы [img_7.jpg]

РИС. 2

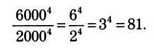
При наблюдаемых температурах большая часть света находится за пределами видимого спектра; ситуация меняется, когда Т растет, а λ уменьшается (рисунок 3). Мы можем вывести из этих кривых другой важный результат, связанный с эмиссией излучения из твердых тел: полная плотность энергии, излучаемой печью (все, что находится ниже кривой), прямо пропорциональна четвертой степени температуры тела, выраженной в градусах Кельвина. Это закон Стефана — Больцмана, открытый эмпирически в лаборатории австрийского физика Йозефа Стефана и продемонстрированный пять лет спустя с помощью аргументов термодинамики его учеником Людвигом Больцманом.

На рисунке 4 зона под кривой, соответствующая 6000 К, в 81 раз больше, чем та, что ограничена спектром излучения до 2000 К:

Иллюстрация к книге — На волне Вселенной. Шрёдингер. Квантовые парадоксы [img_8.jpg]

Спектр излучения печи определяет границы поля, на котором будет рассмотрено, насколько эффективно классическая физика может теоретически обосновать эти кривые при моделировании поведения газа и света. Этот вызов согласился принять Макс Планк — прусский ученый, от которого, после 40 лет спокойной работы, никто не ожидал великих свершений.

Иллюстрация к книге — На волне Вселенной. Шрёдингер. Квантовые парадоксы [img_9.jpg]

РИС. 3

Иллюстрация к книге — На волне Вселенной. Шрёдингер. Квантовые парадоксы [img_10.jpg]

РИС. 4


Революция поневоле

Хотя отдельные предпосылки можно найти и в более ранних работах, авторство квантовой механики связывают с именем Макса Планка, который 14 декабря 1900 года представил Немецкому физическому обществу результаты своих исследований в статье под названием «К теории распределения энергии излучения нормального спектра». Это исследование, появившееся в последний месяц последнего года XIX века, поставило радостную фермату над целым веком развития науки, хотя описанное в нем открытие вскоре обрушило все основы научного знания.

До этих пор Планк в своей научной карьере не занимался изучением и применением второго закона термодинамики. Его любопытство было направлено на поиски абсолютных законов, таких принципов, которые сохраняются во все времена. Именно поэтому универсальное излучение печи привлекло внимание ученого, которого часто называют революционером поневоле — и определение не отдает должного упорству исследователя. Из всех ученых, содействовавших рождению квантовой теории, Планк, без сомнений, следовал наиболее консервативным принципам. Так, в течение многих лет он отрицал существование атомов и защищал непрерывность материи, и эта позиция была понятна, ведь специальность Планка — классическая термодинамика — не углублялась в недра изучаемых систем. И учитывая это, выглядит настоящей иронией судьбы тот факт, что именно Планку приписывают ответственность за нанесение последнего удара по классической непрерывности.

Вход
Поиск по сайту
Ищем:
Календарь